18 задание
18.1 - 18.8 Дробь = 0. Условие без корней, модулей и т. д.
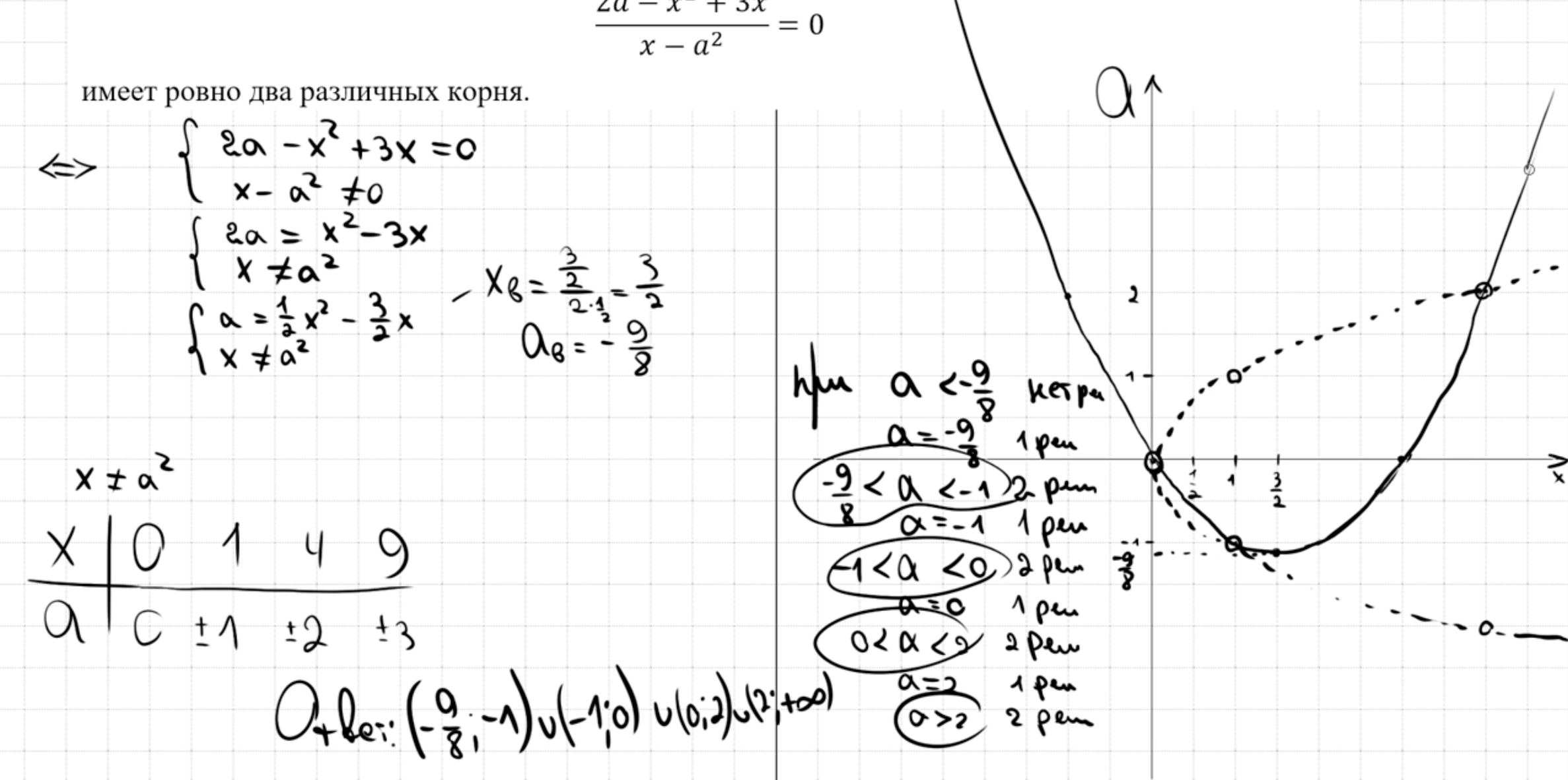
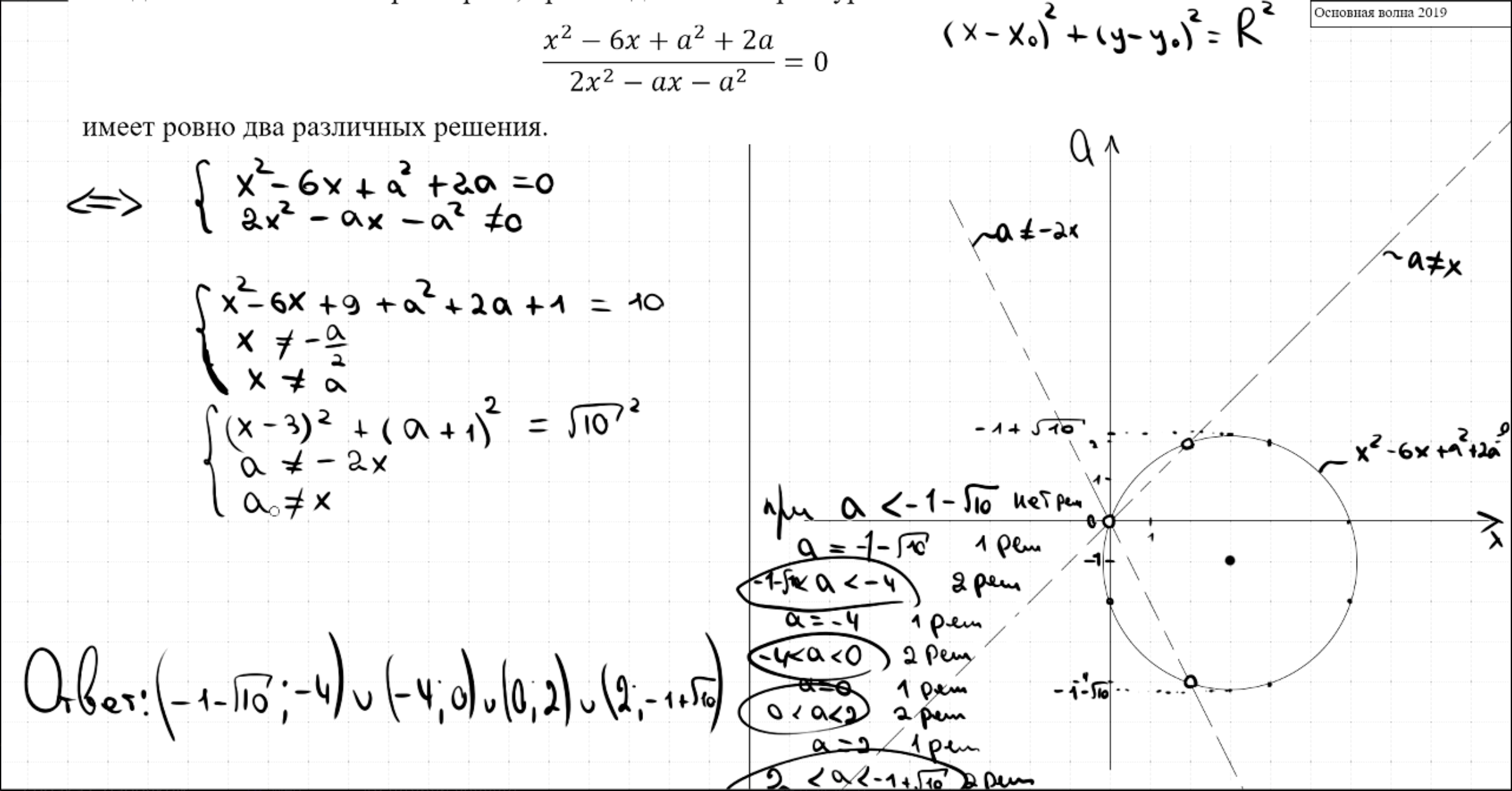
18.1

Первый способ решения:


Второй способ решения:

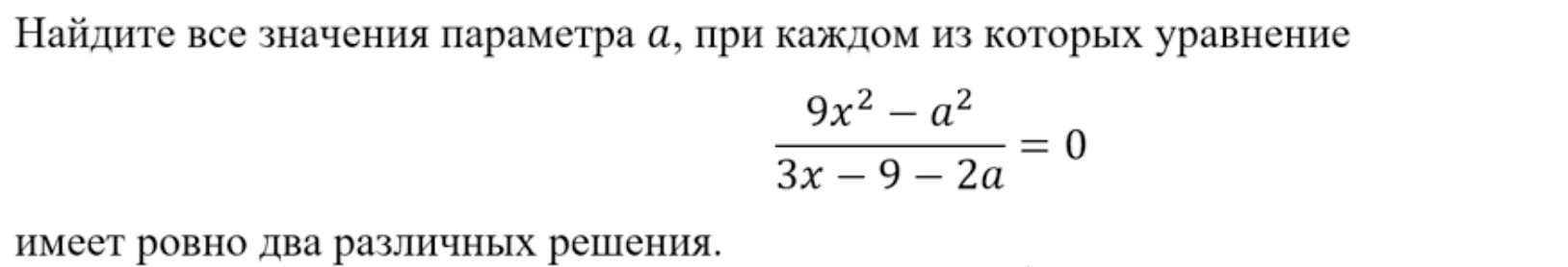
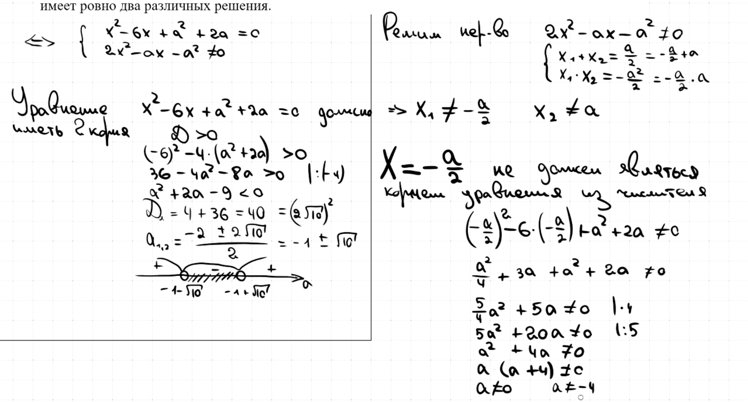
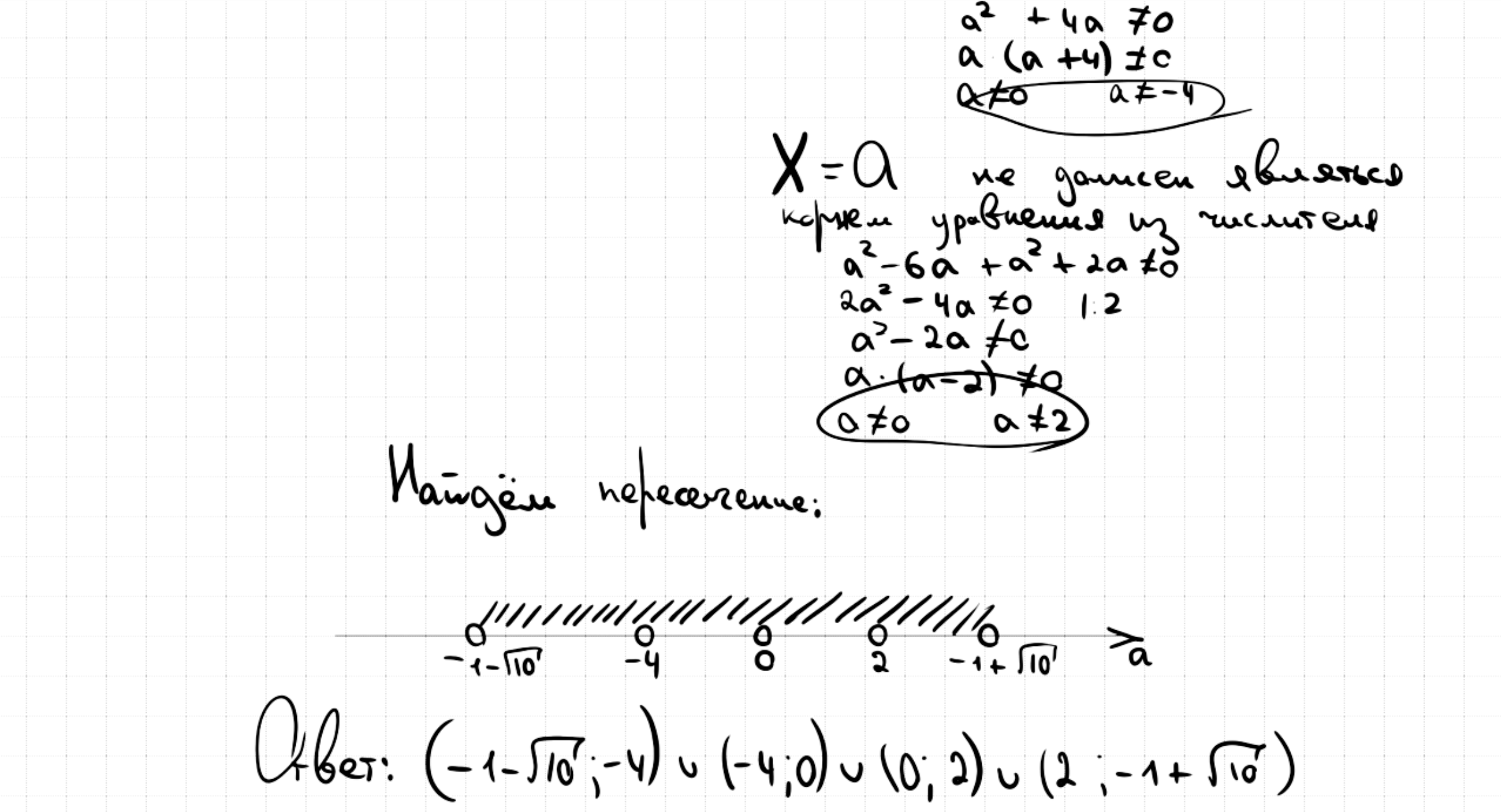
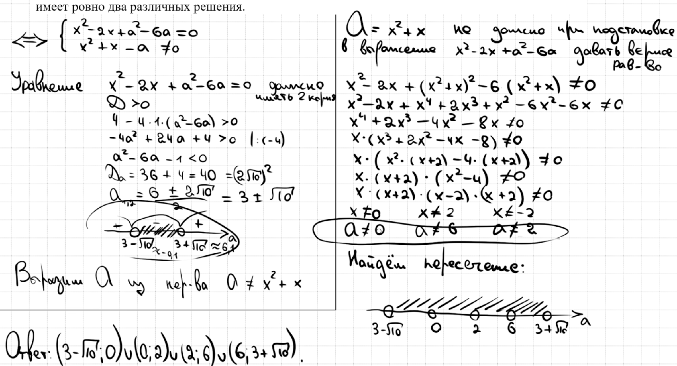
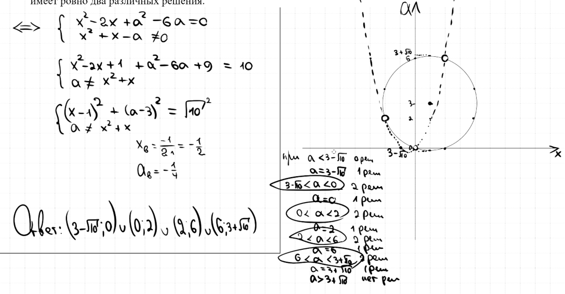
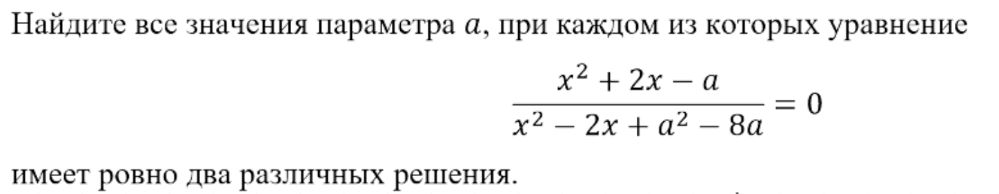
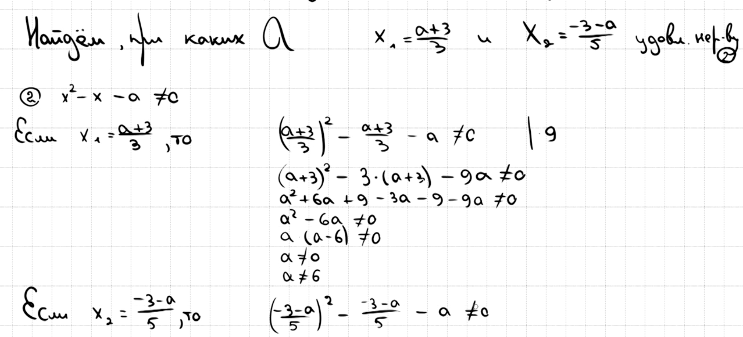
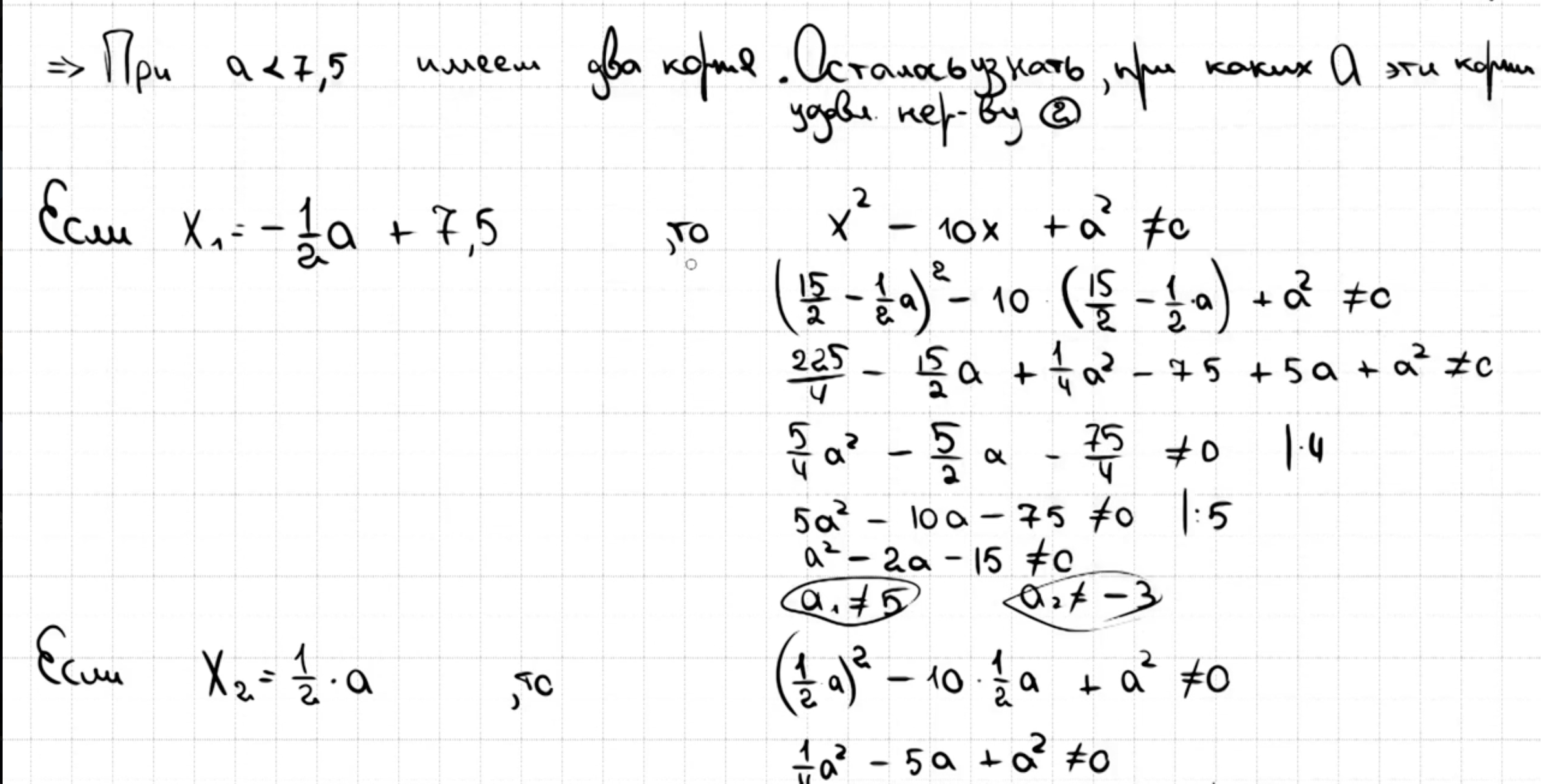
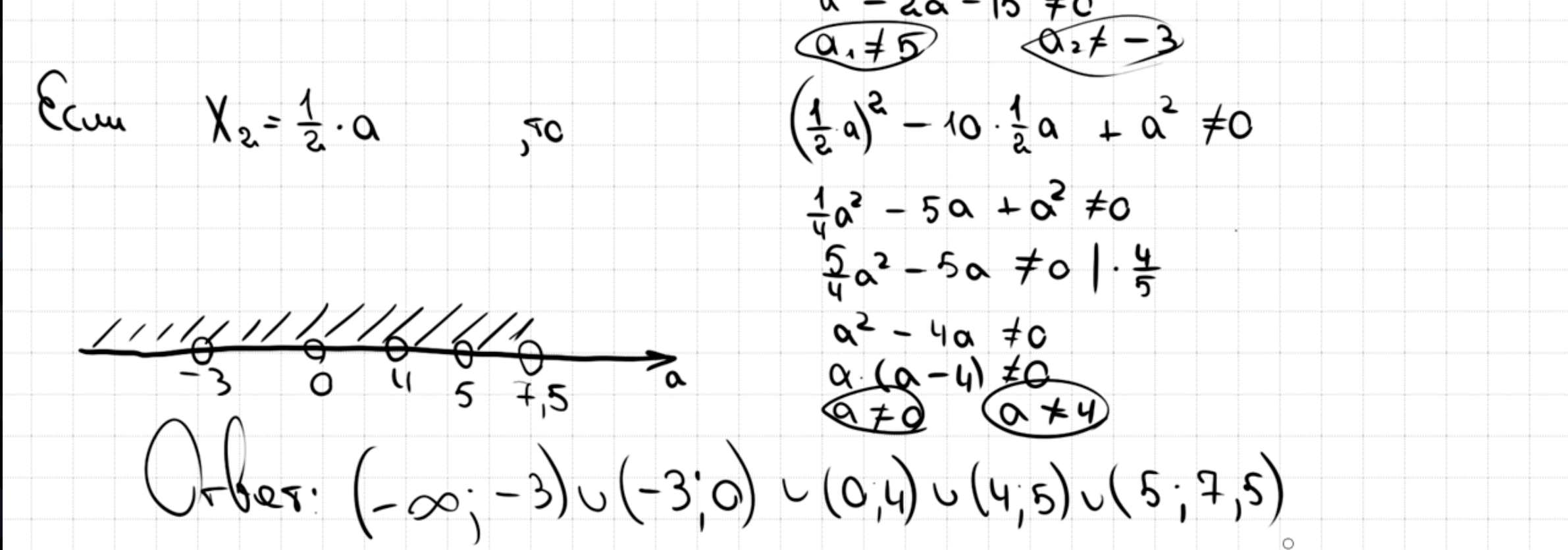
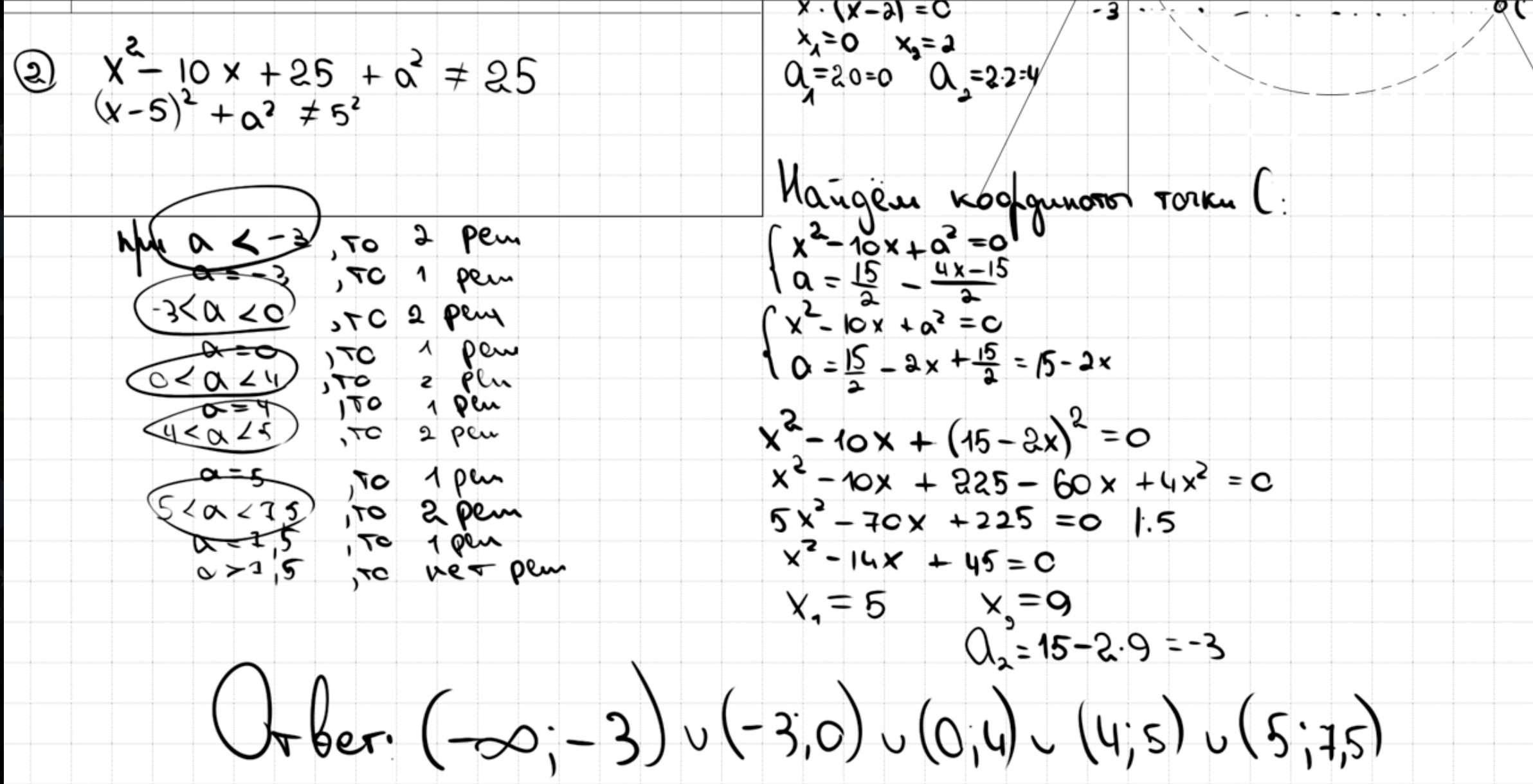
18.2

Первый способ решения:


Второй способ решения:

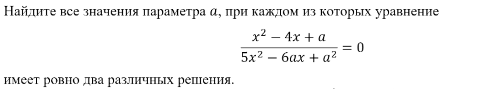
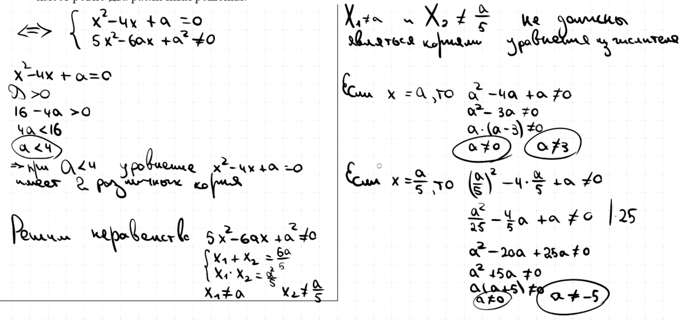
18.3

Первый способ решения:


Второй способ решения:

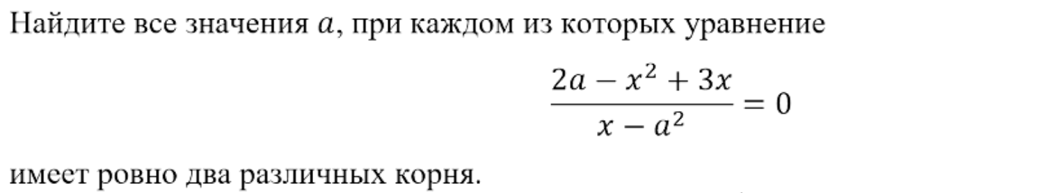
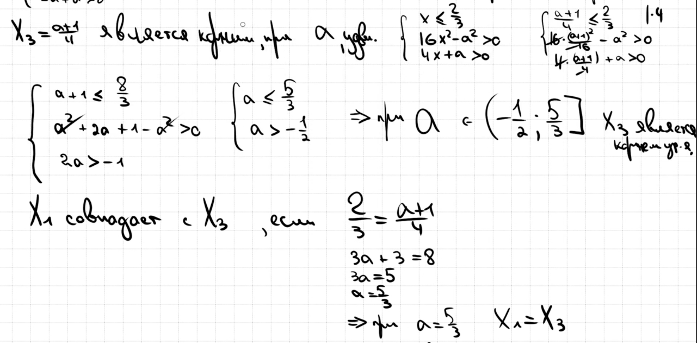
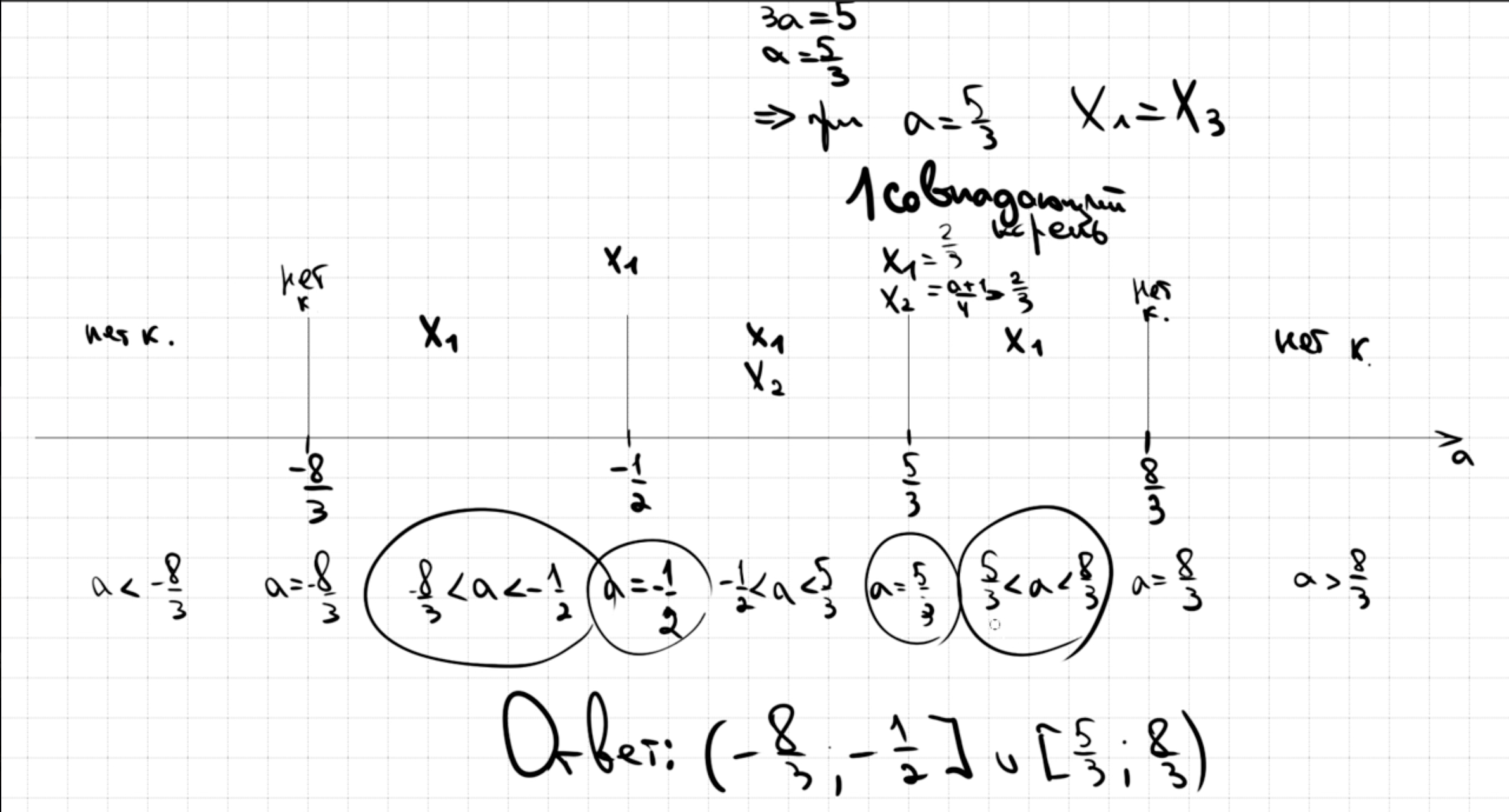
18.4

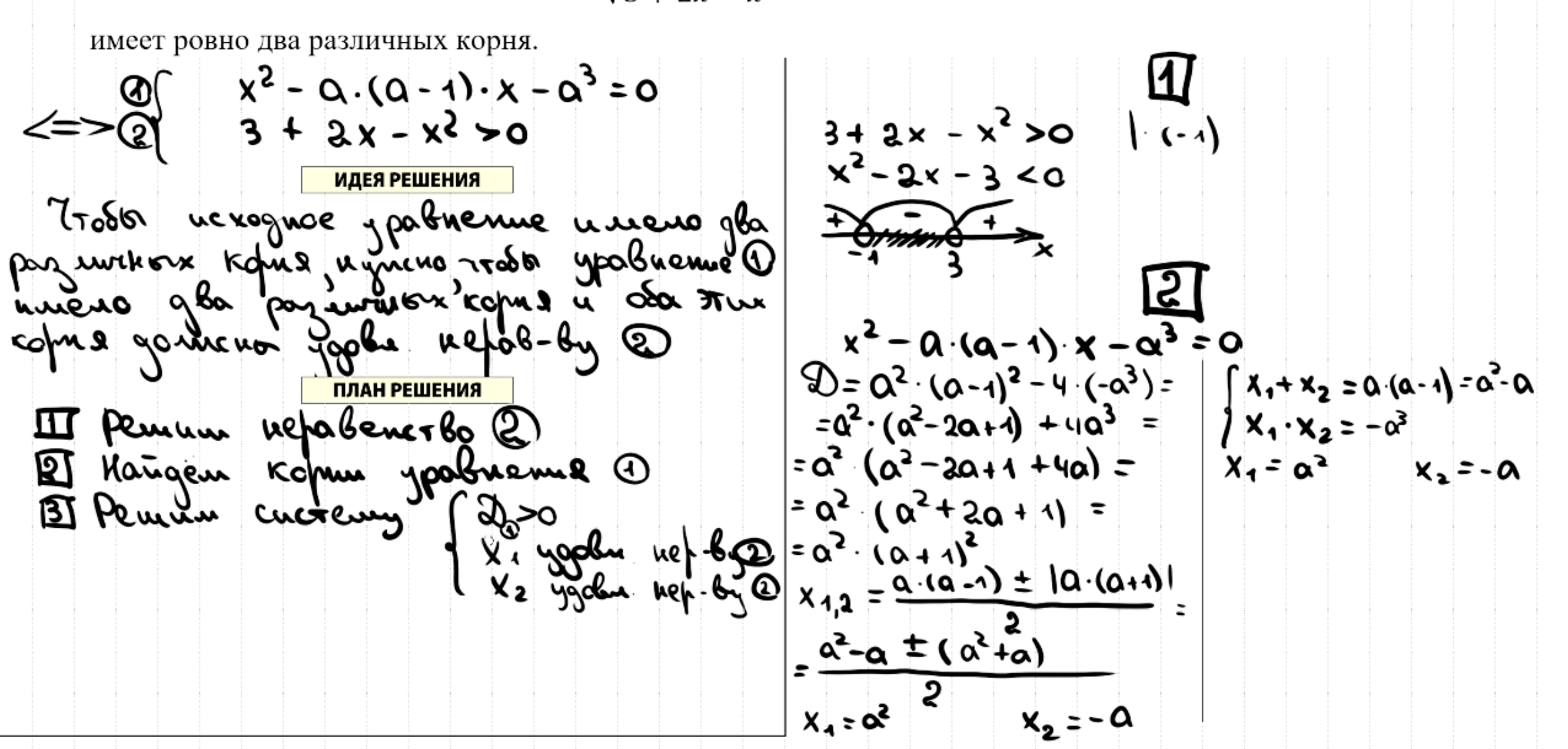
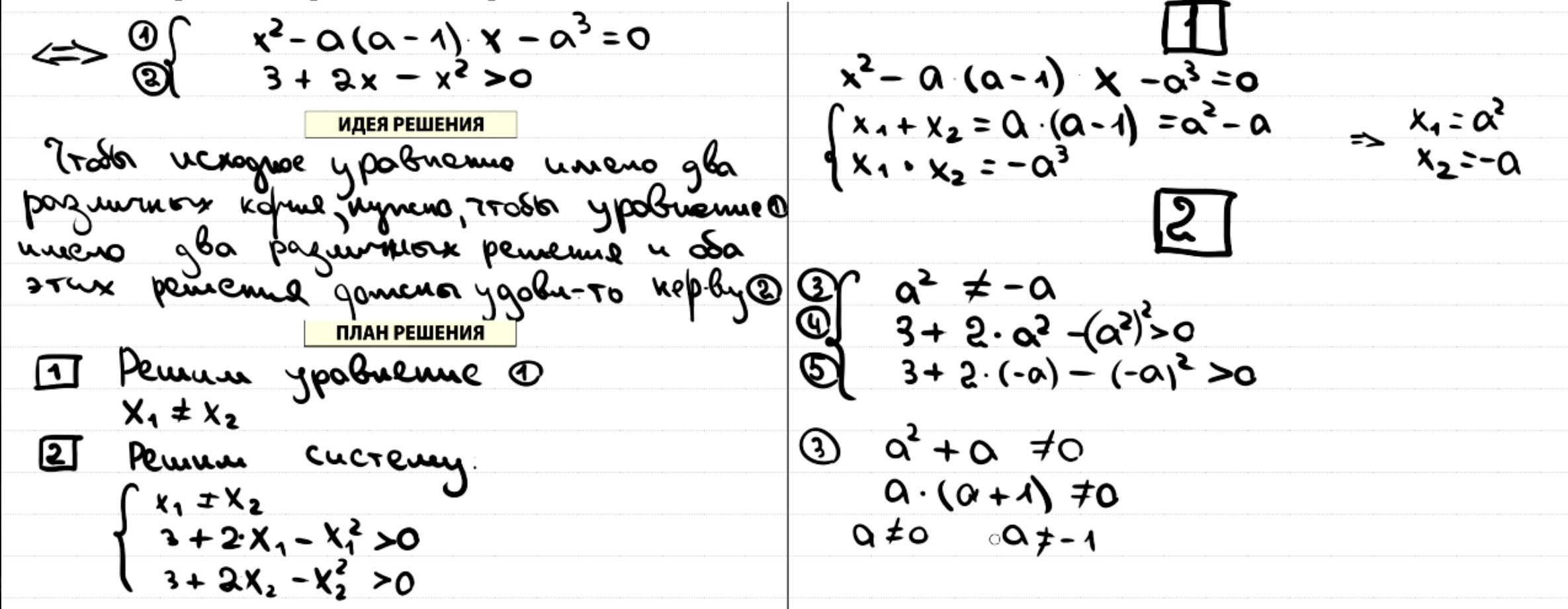
Первый способ решения:


Второй способ решения:

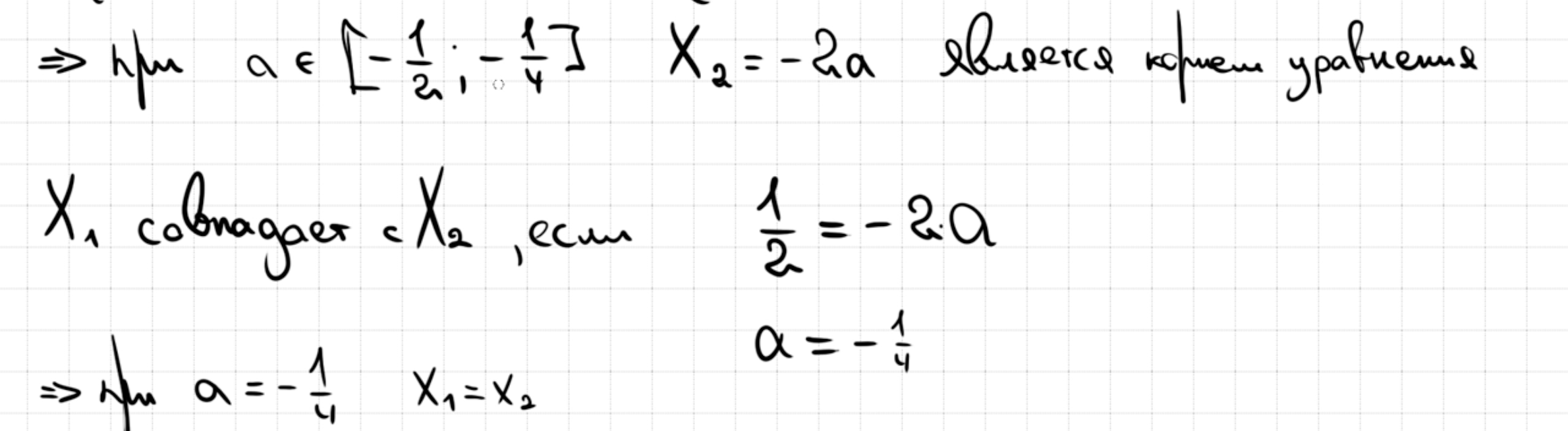
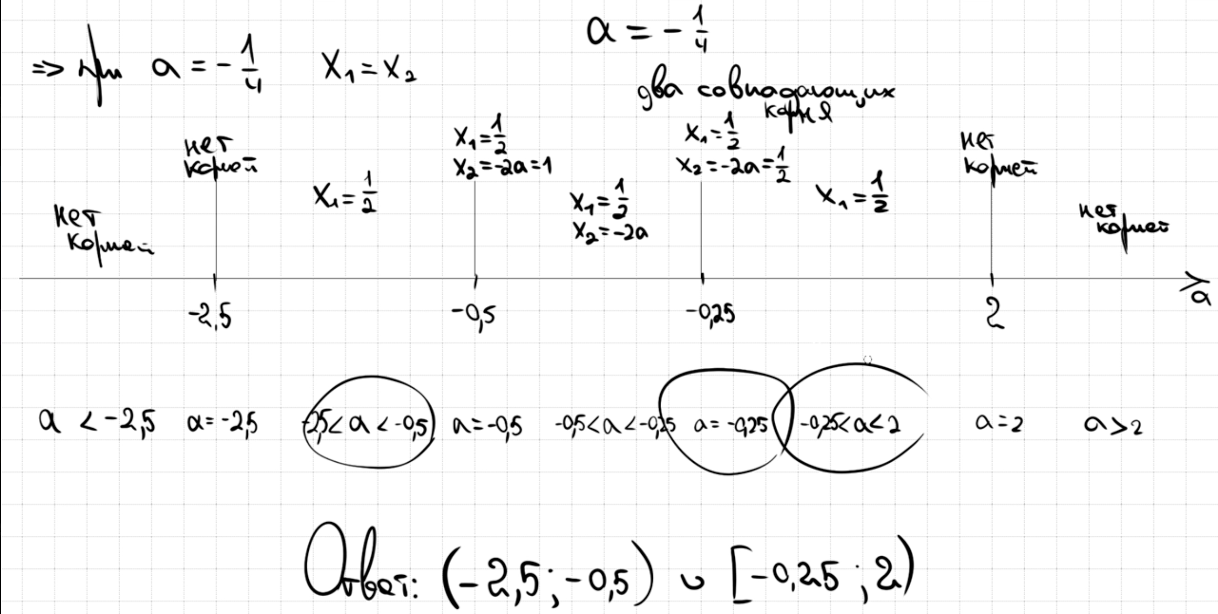
18.5

Первый способ решения:


Второй способ решения:

18.6

Первый способ решения:

Второй способ решения:

18.7

Первый способ решения:


Второй способ решения:

18.8

Первый способ решения:



Второй способ решения:

18.9 - 18.10 Дробь = 0. Модули
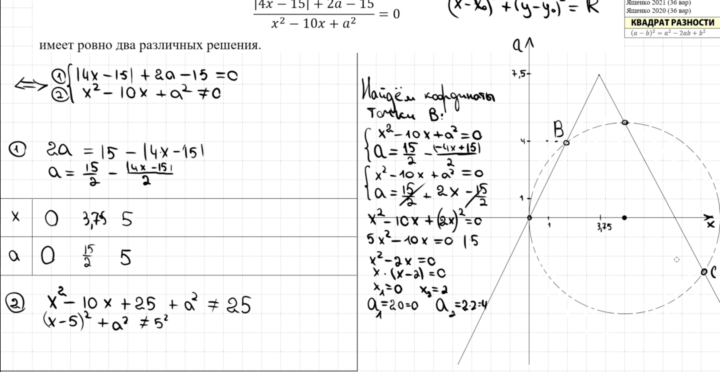
18.9

Первый способ решения:




Второй способ решения:


Третий способ решения:


18.10

Первый способ решения:



Второй способ решения:


18.11 - 18.12 Дробь = 0. Корни
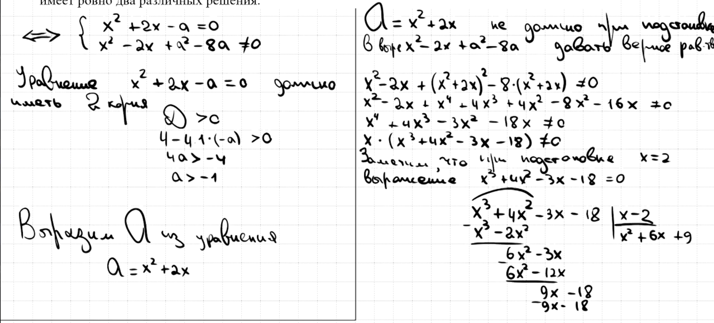
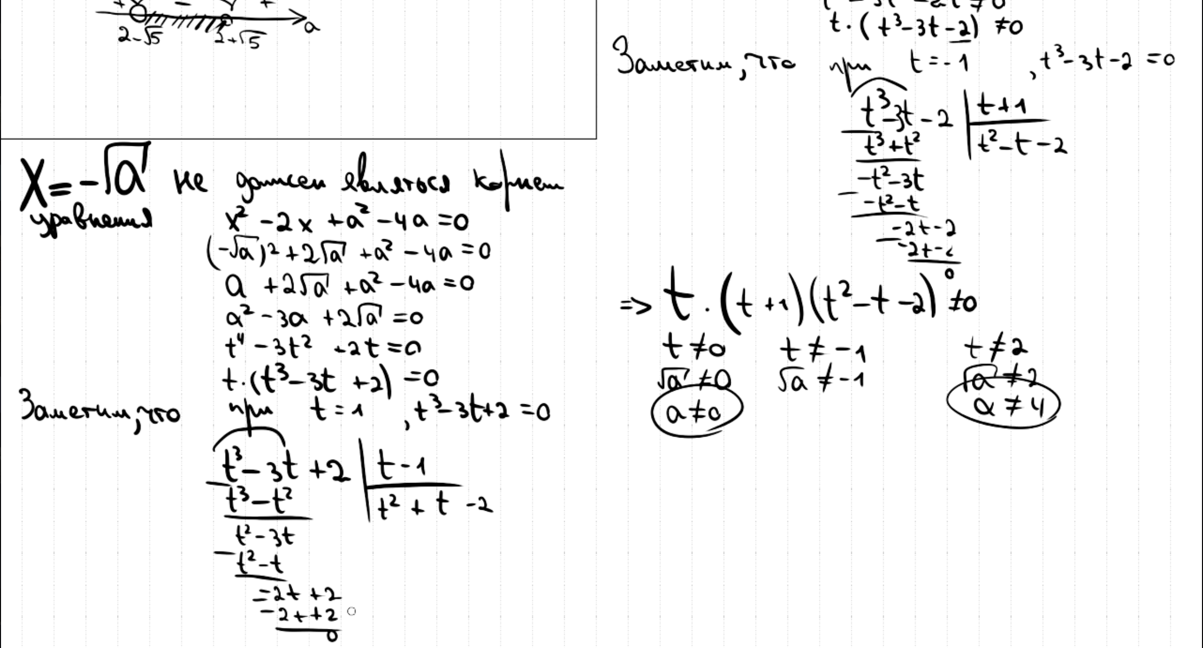
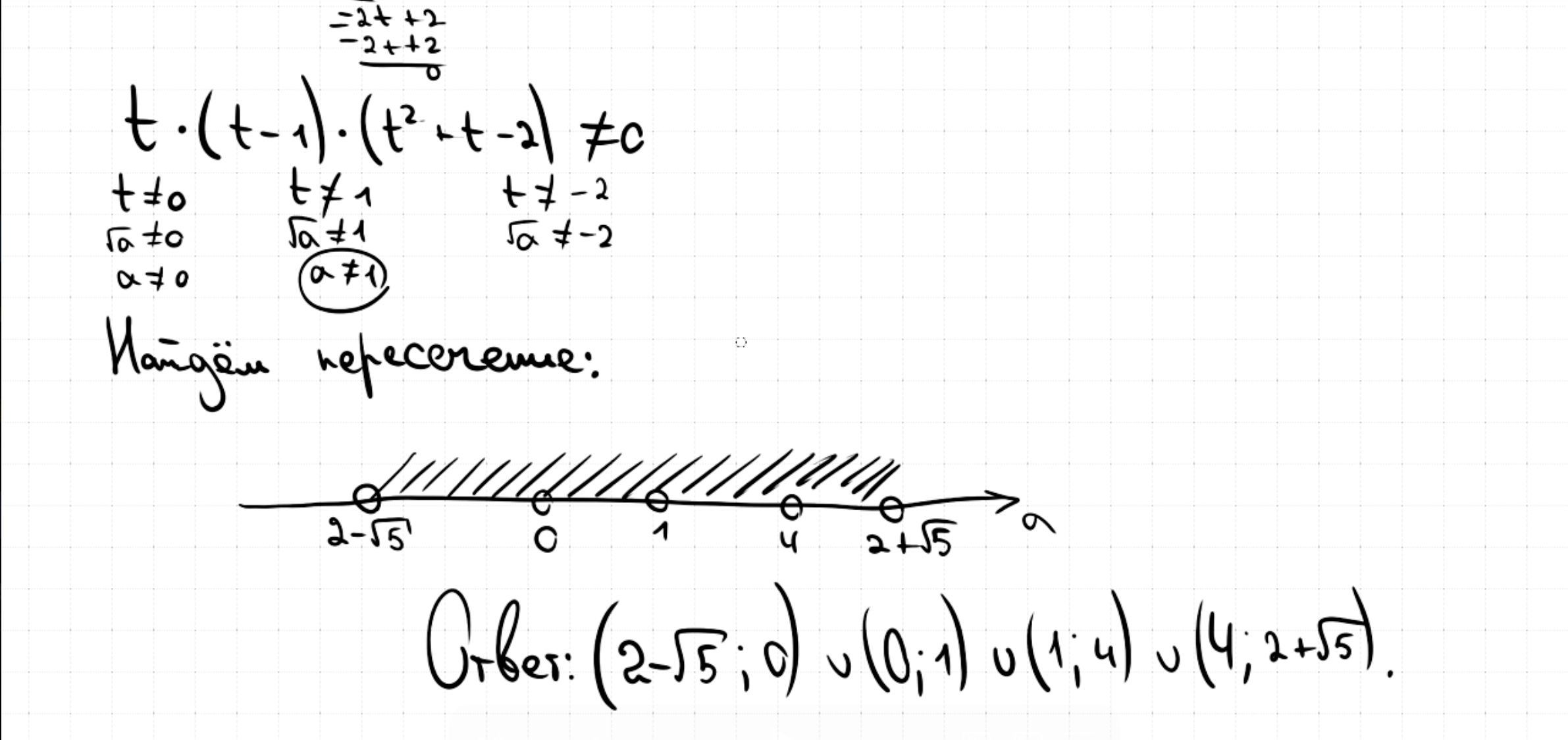
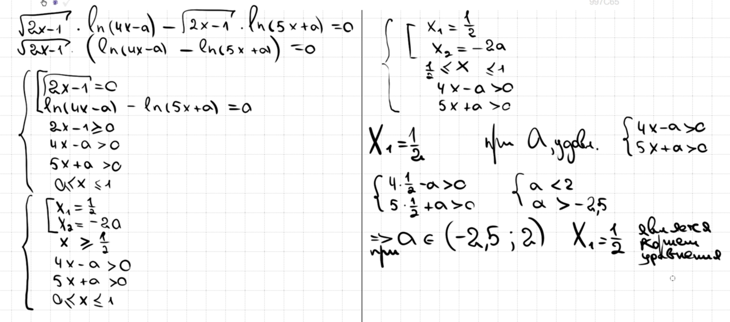
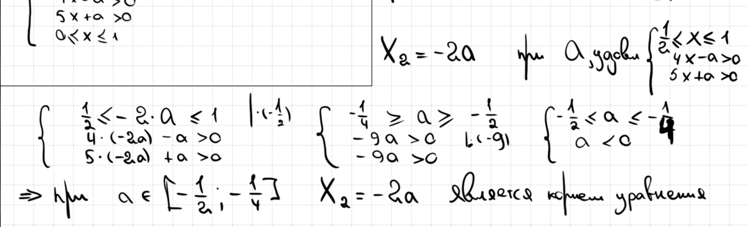
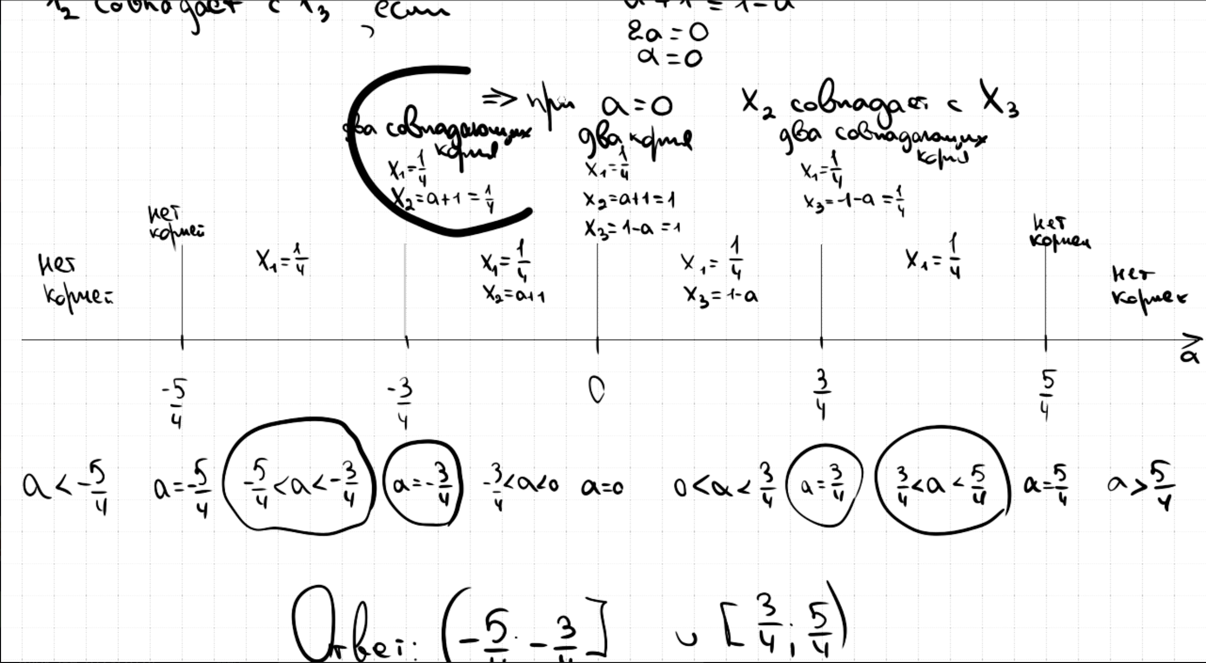
18.11

Первый способ решения:



Второй способ решения:



Третий способ решения:






Четвёртый способ решения:



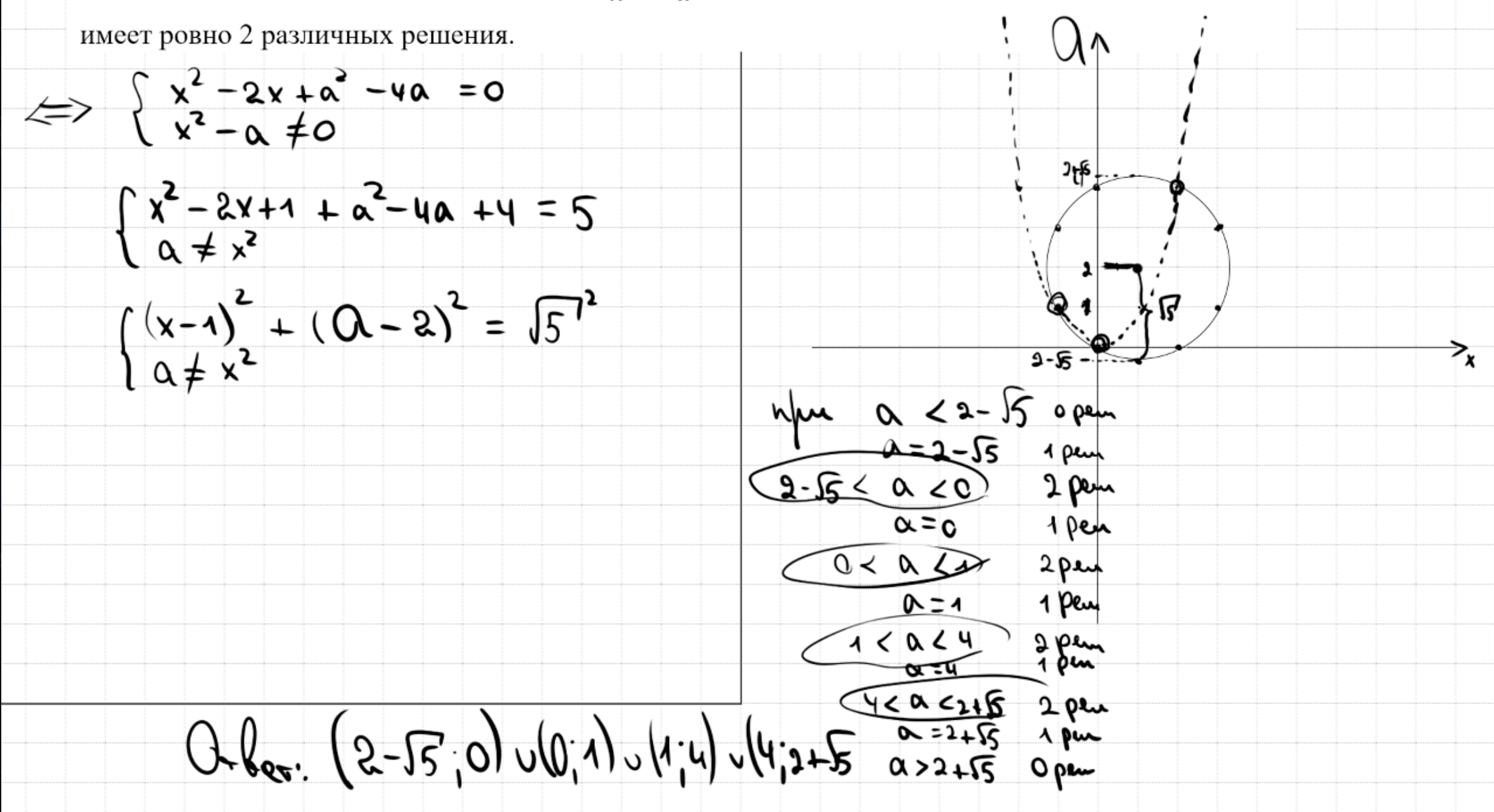
18.12



18.13 - 18.13 Один корень на отрезке. Условие без корней, модулей и тд
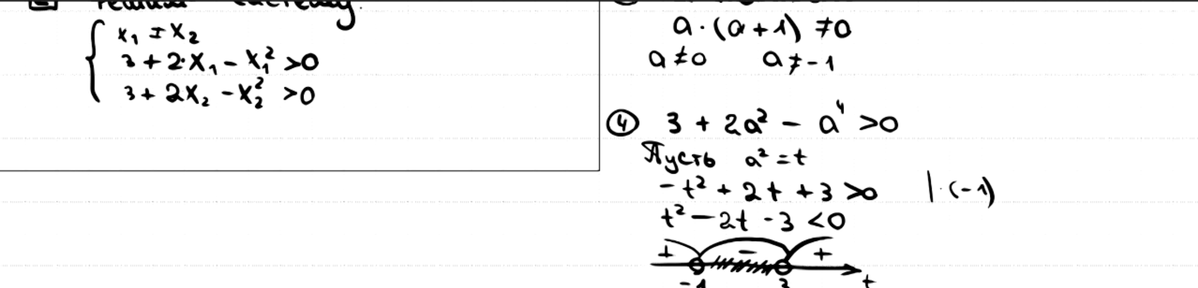
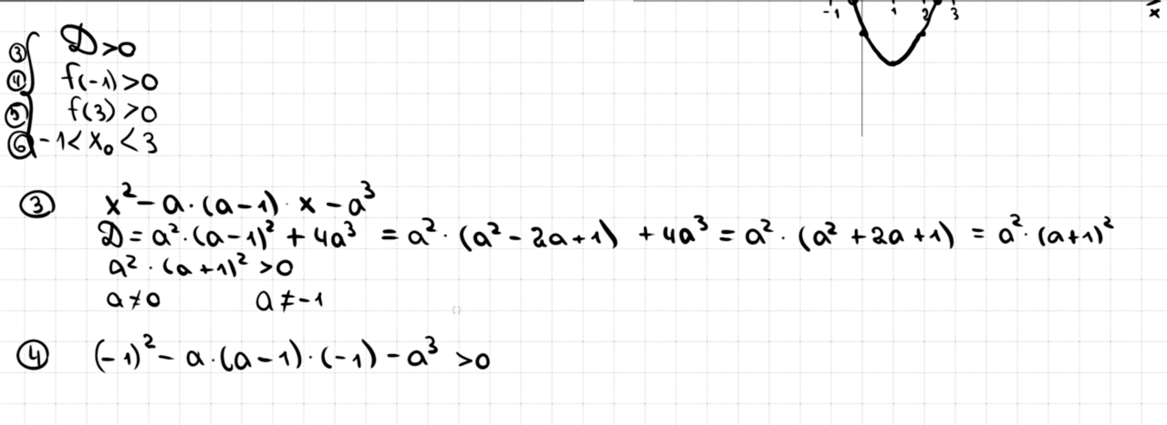
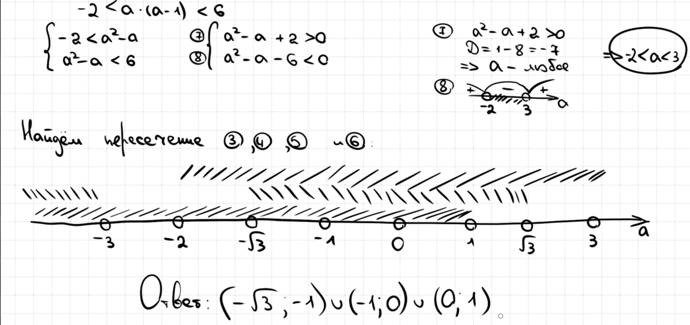
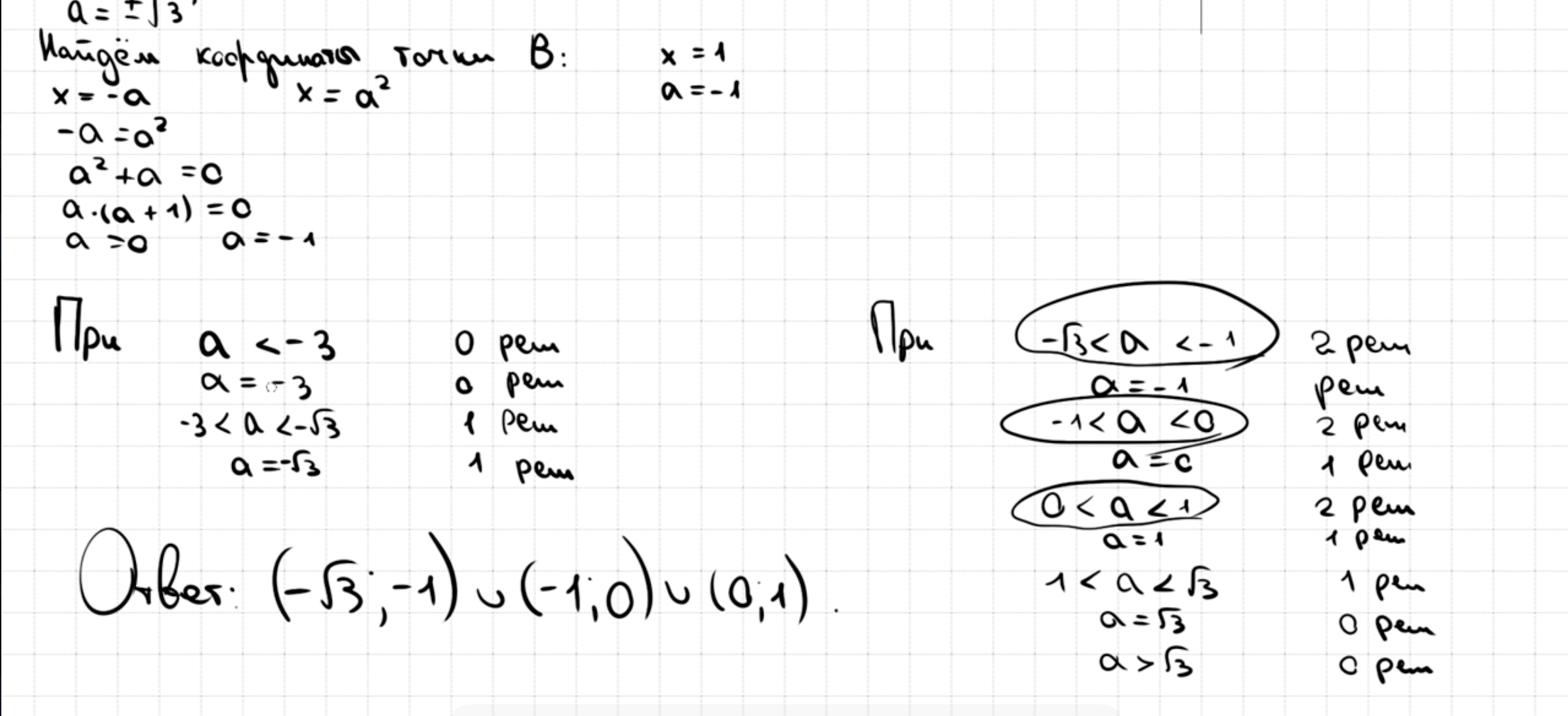
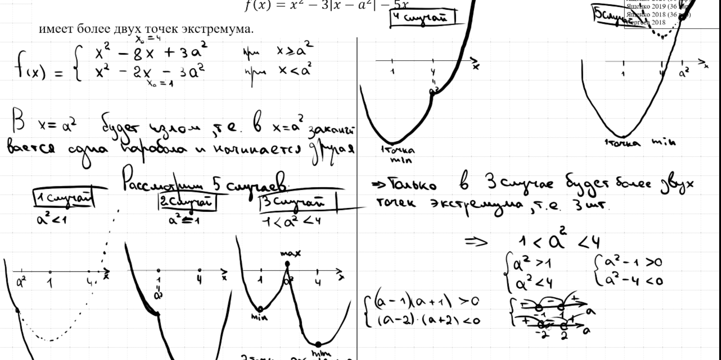
18.13




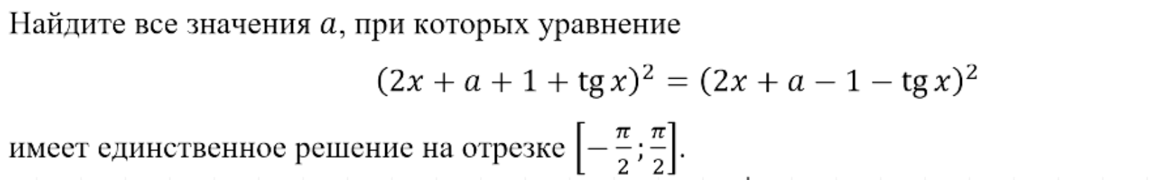
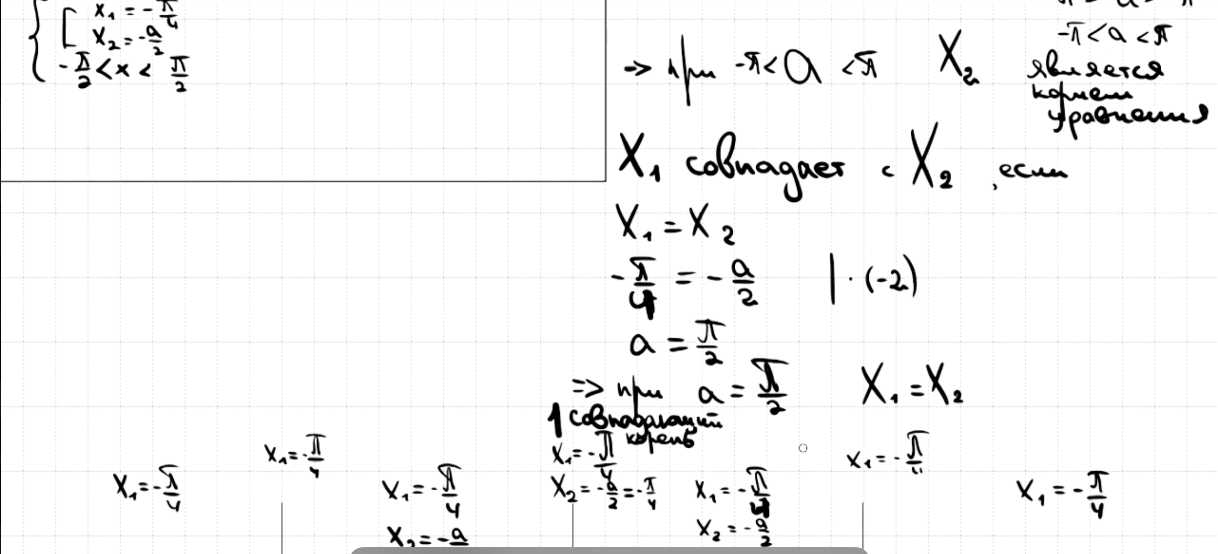
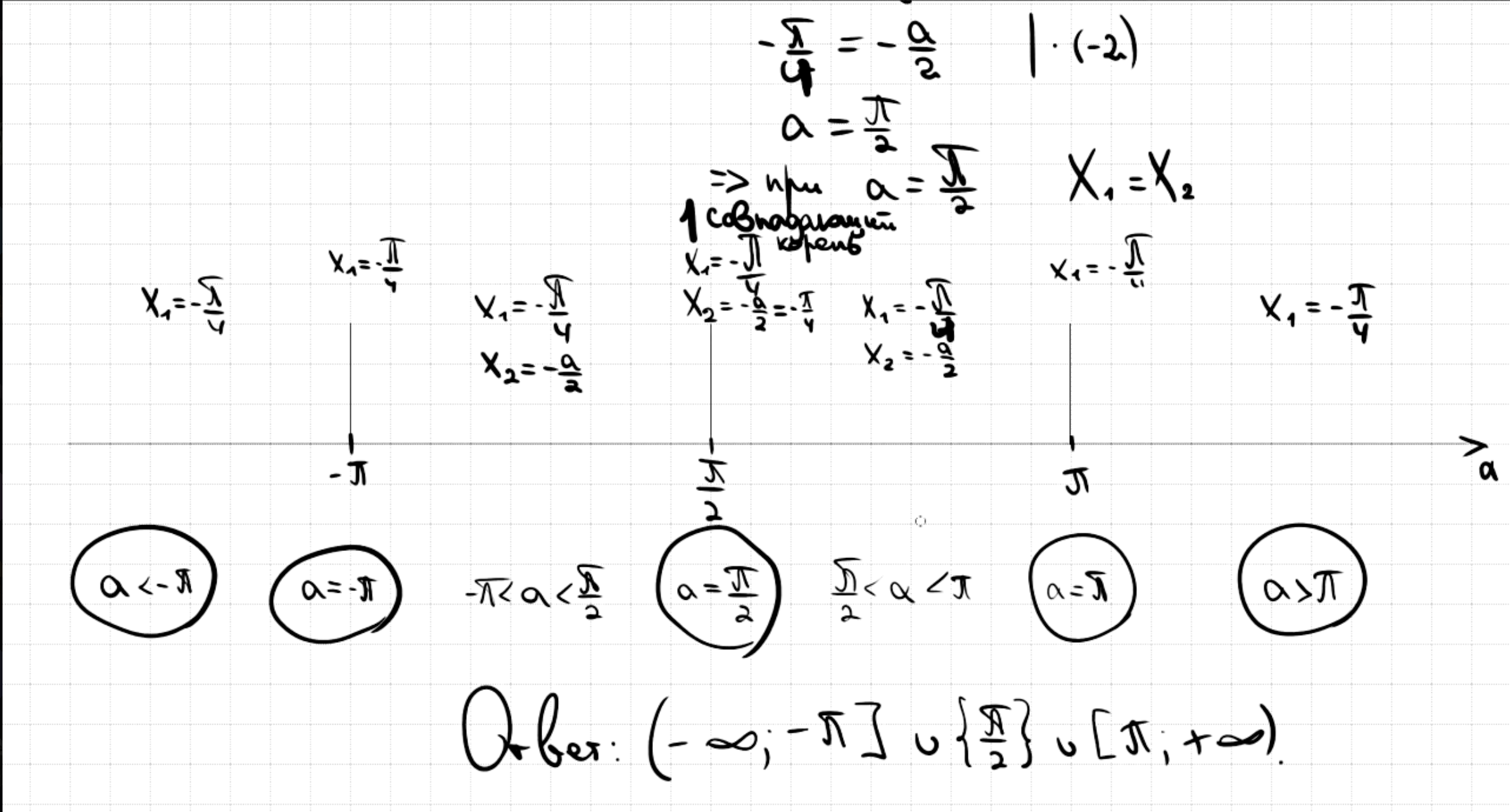
18.14 - 18.14 Один корень на отрезке. Тригонометрия
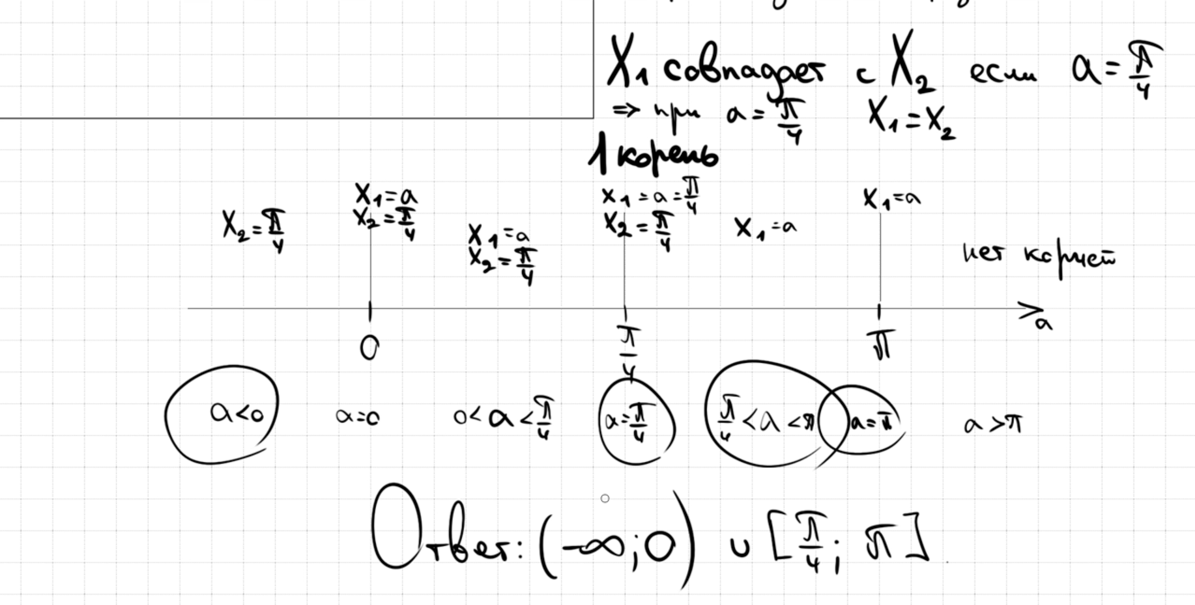
18.14




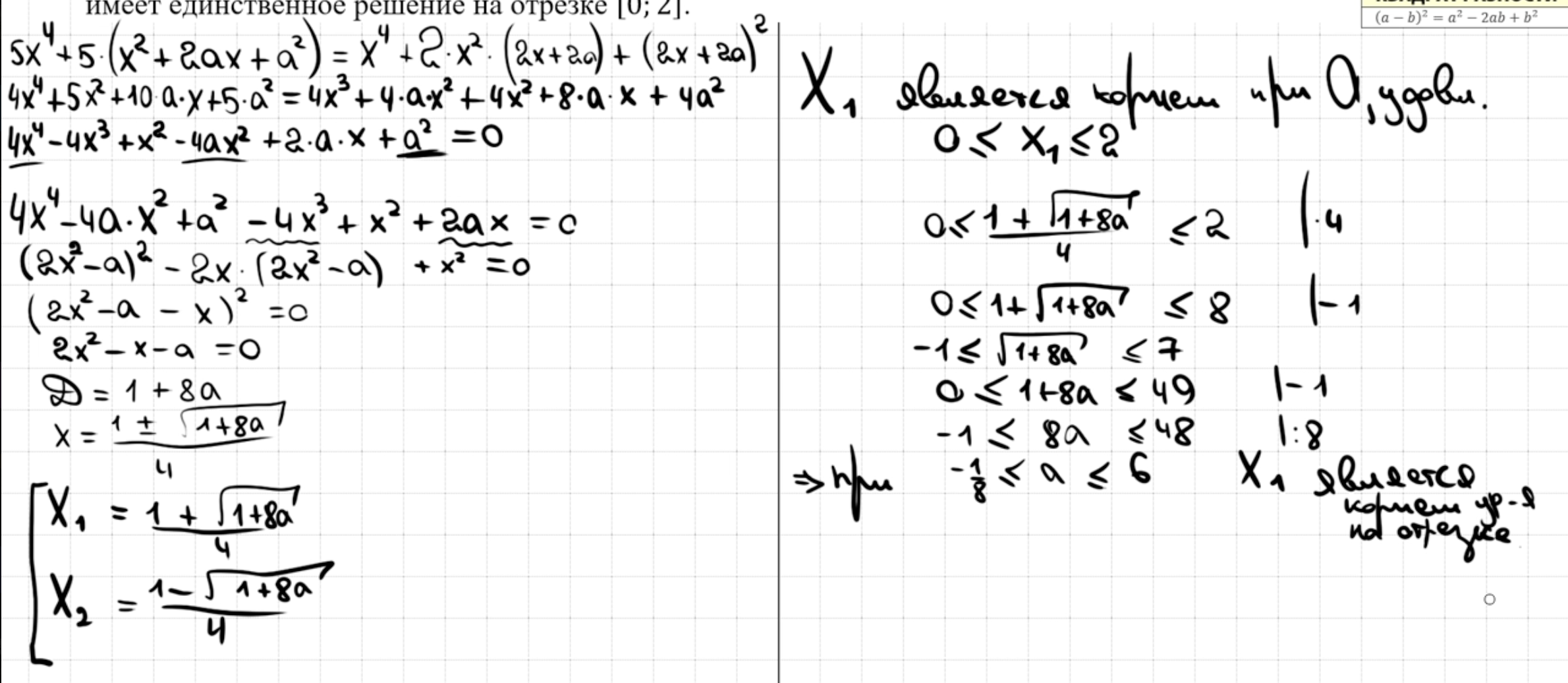
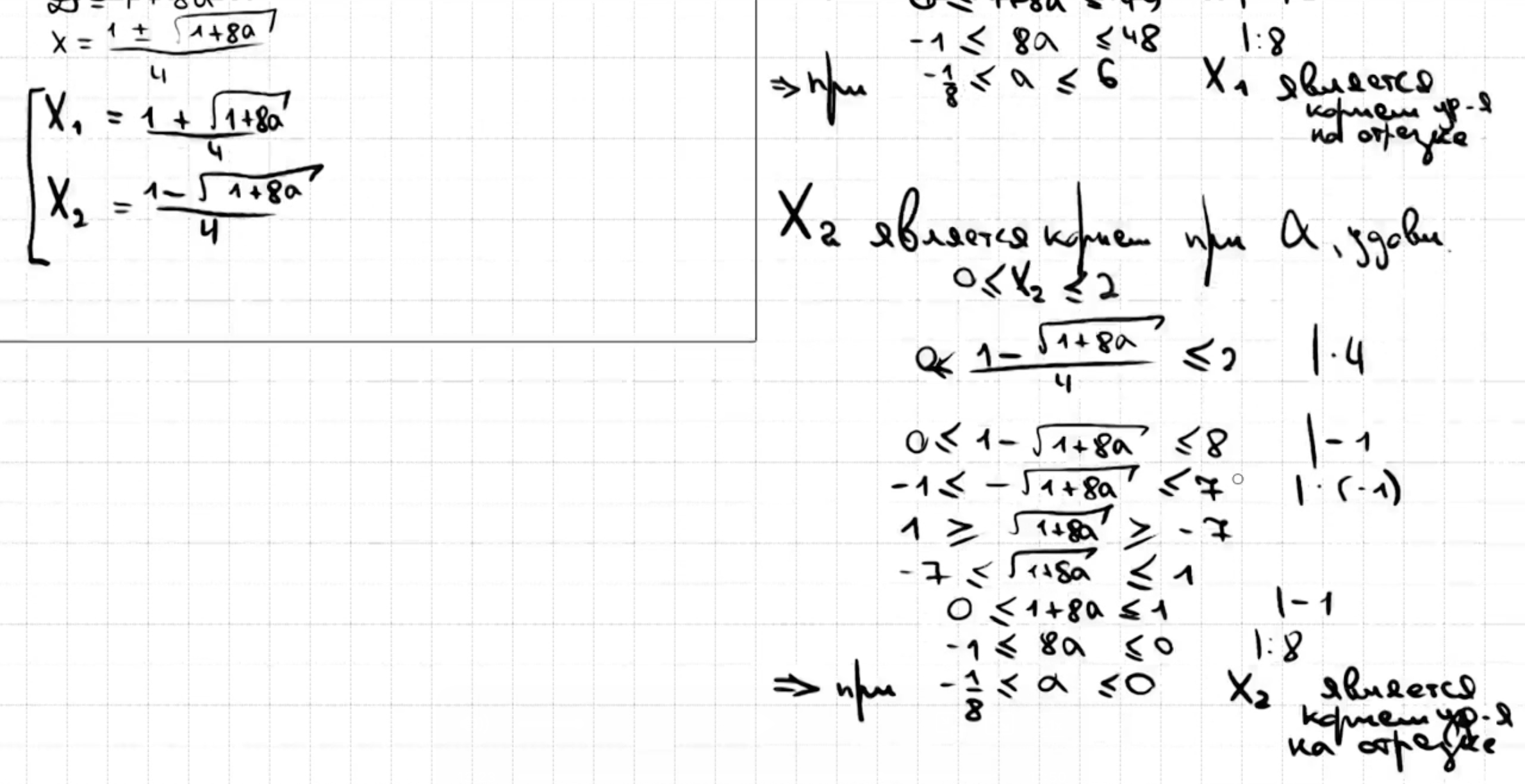
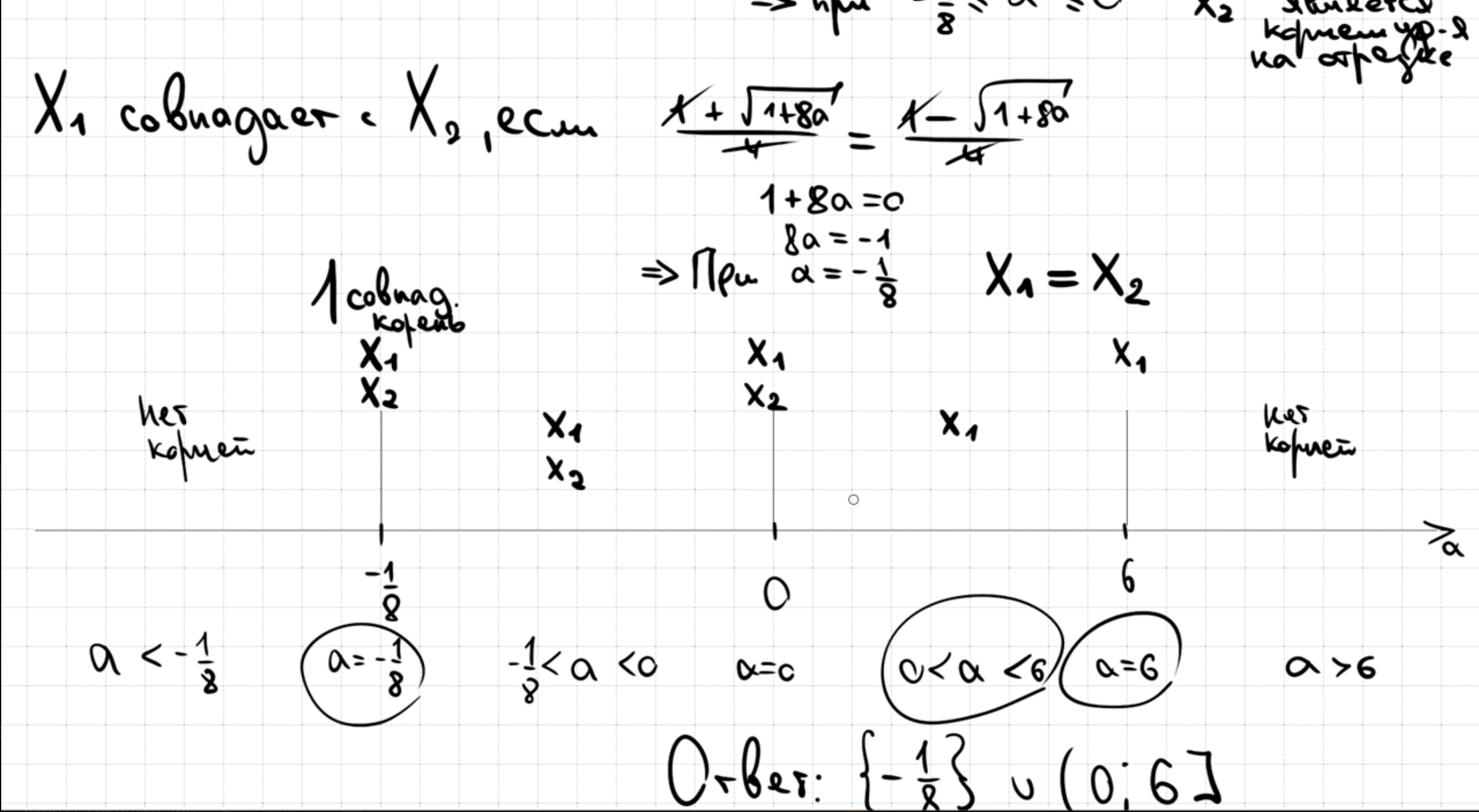
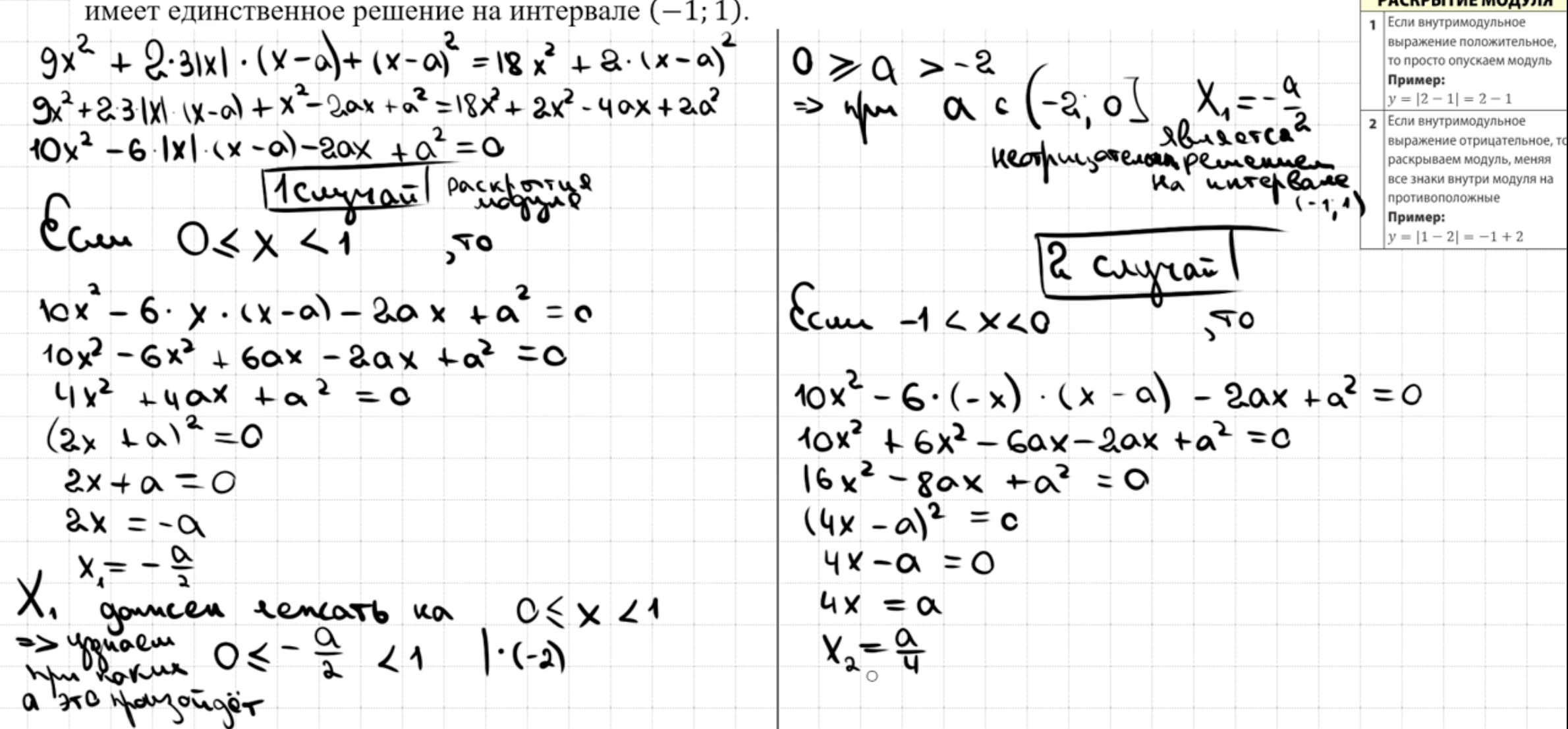
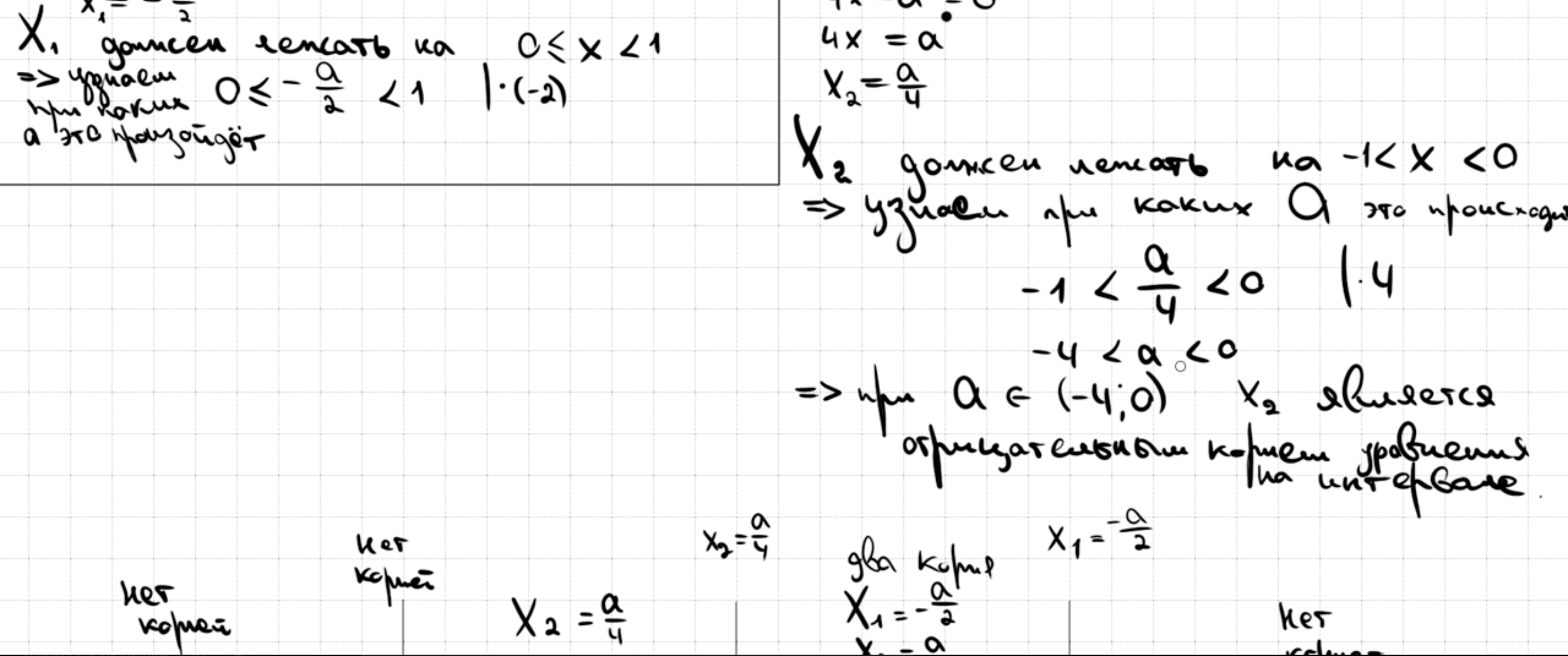
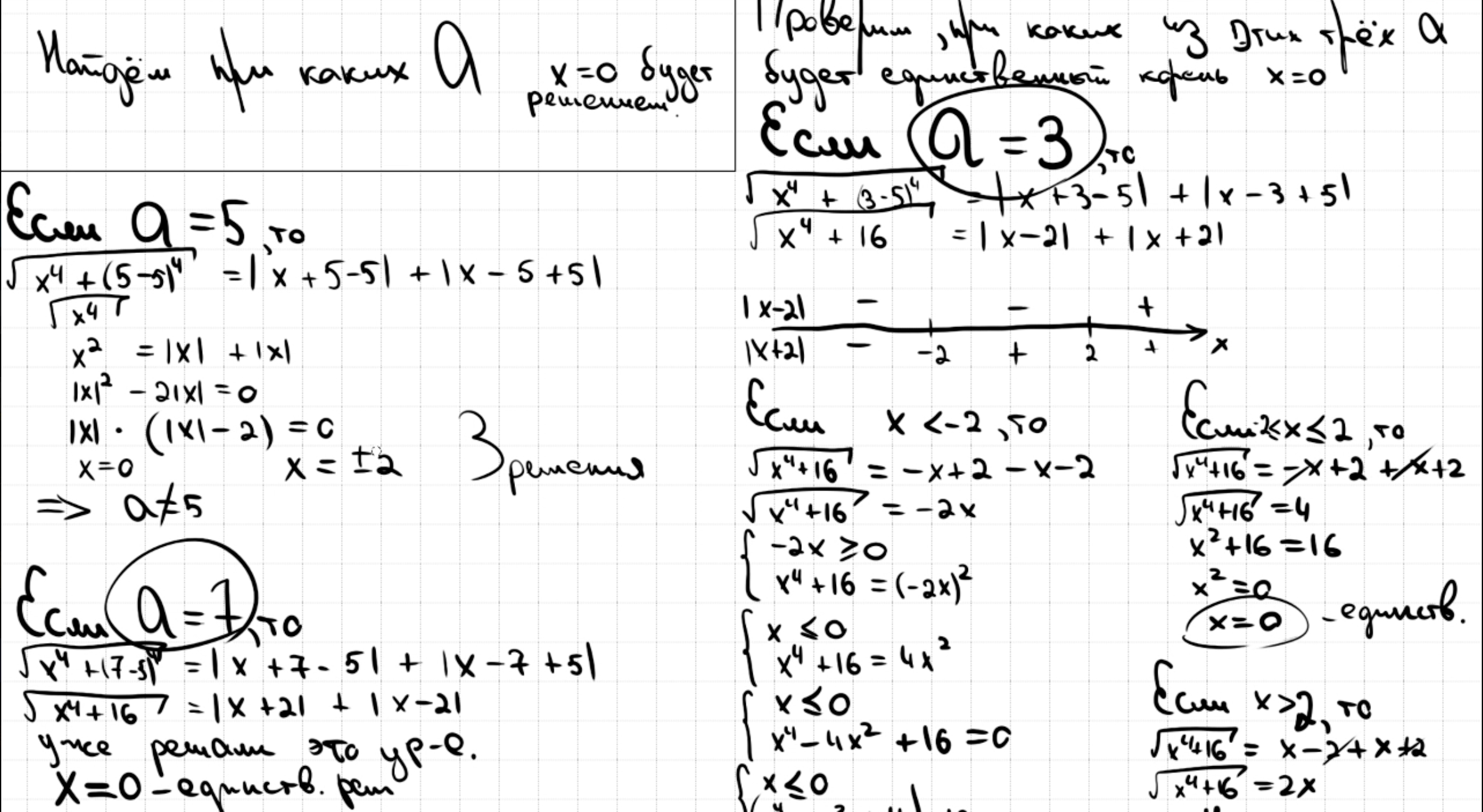
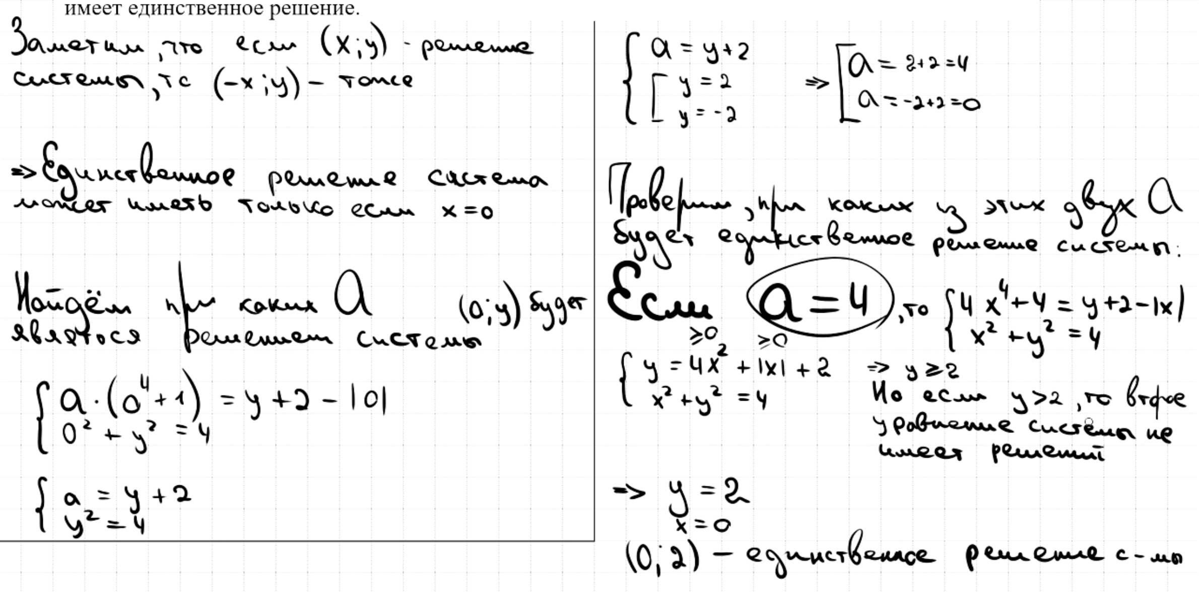
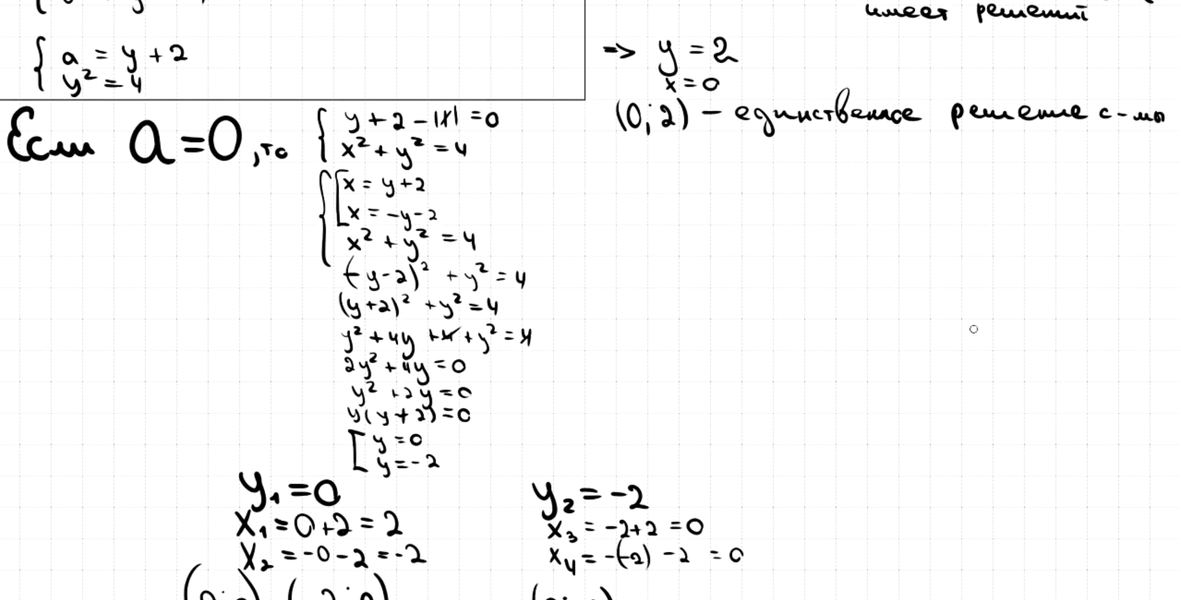
18.15 - 18.15 Один корень на отрезке. Модули
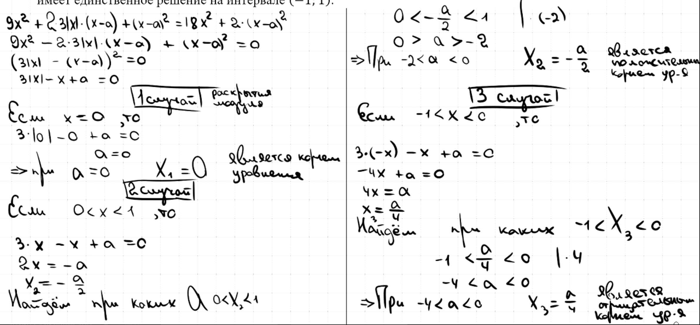
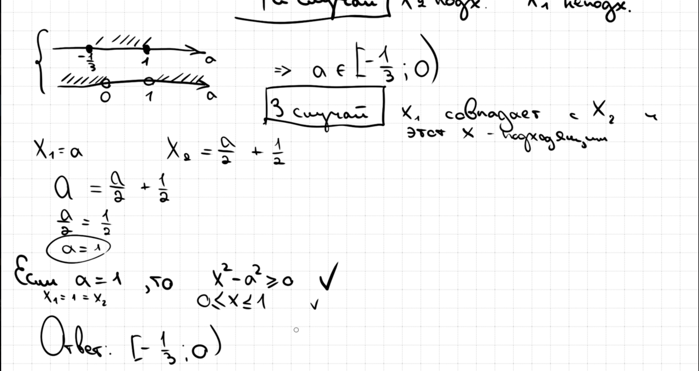
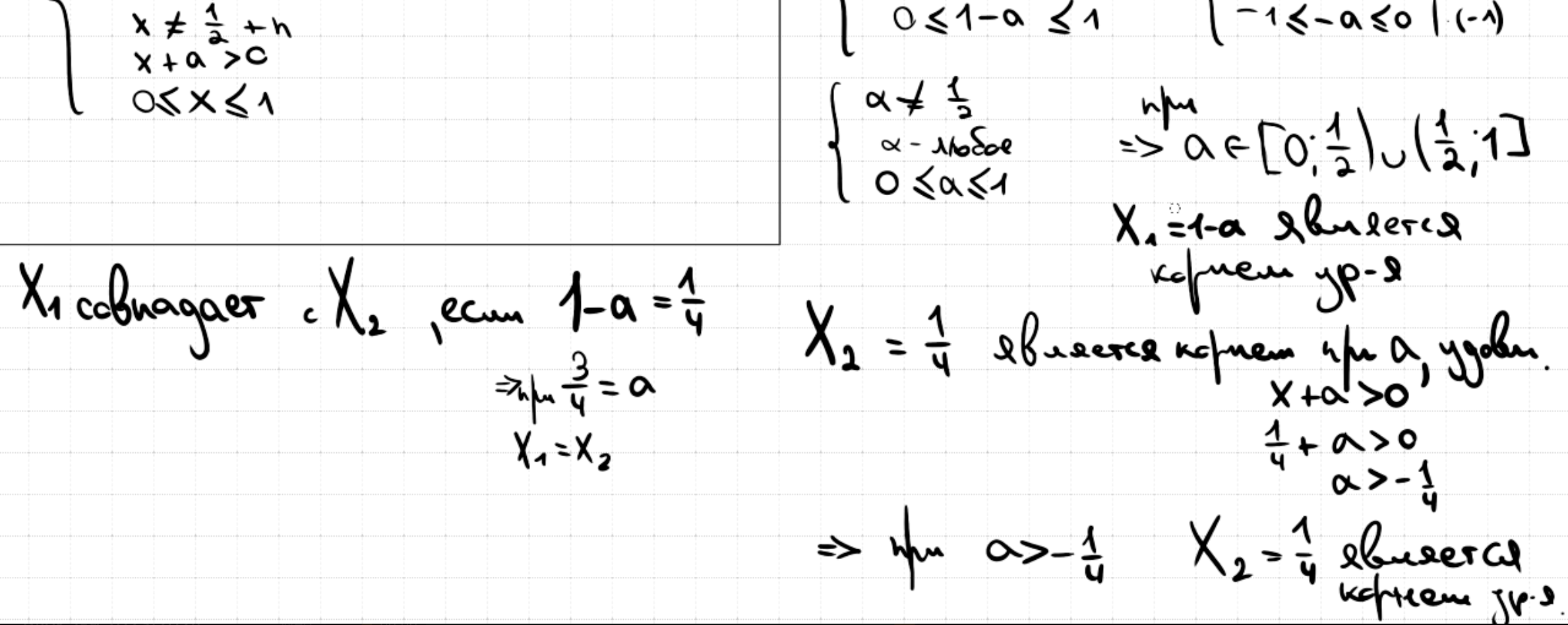
18.15

Первый способ решения:



Второй способ решения:


Третий способ решениях:

Четвёртый способ решения:

18.16 - 18.15 Один корень на отрезке. Логарифмы
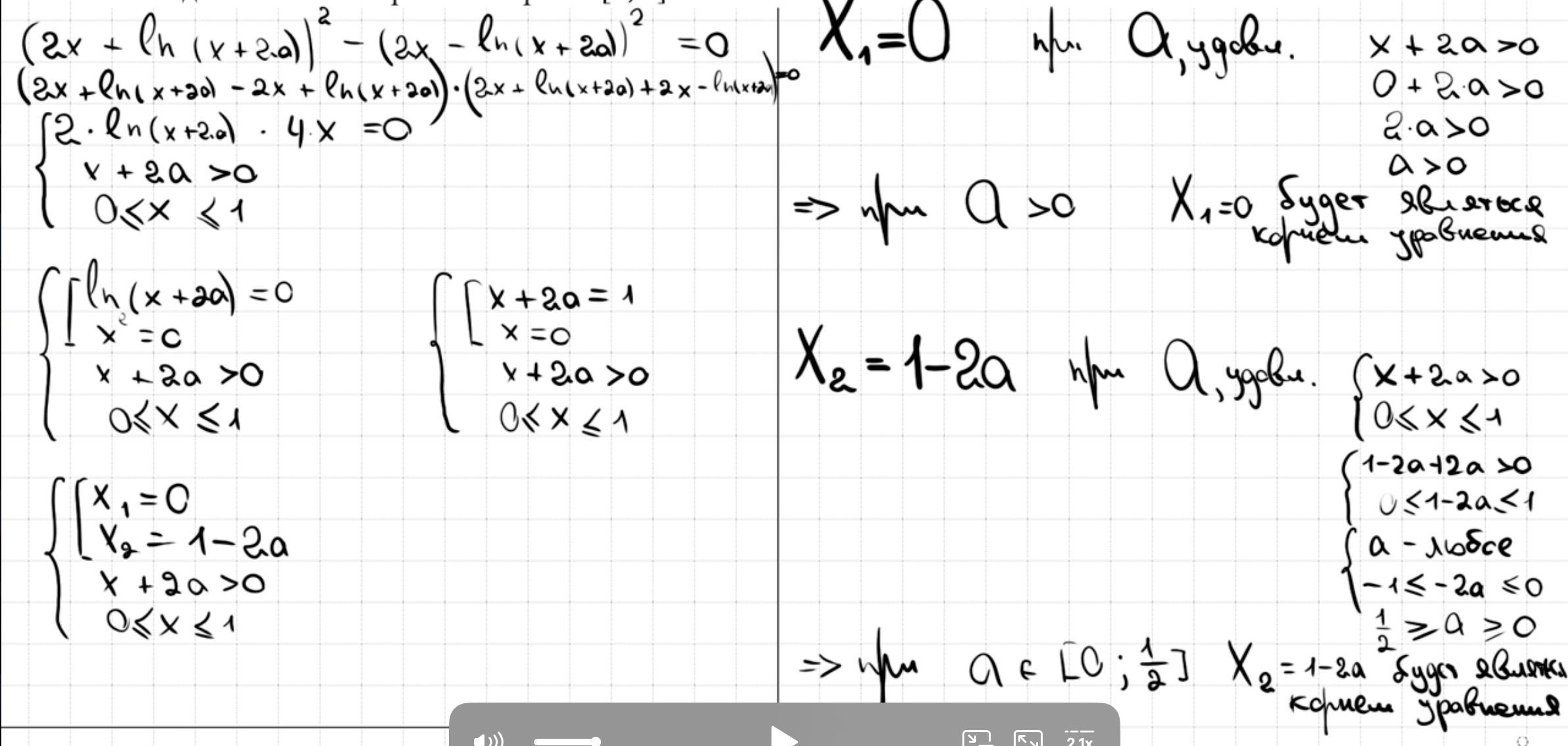
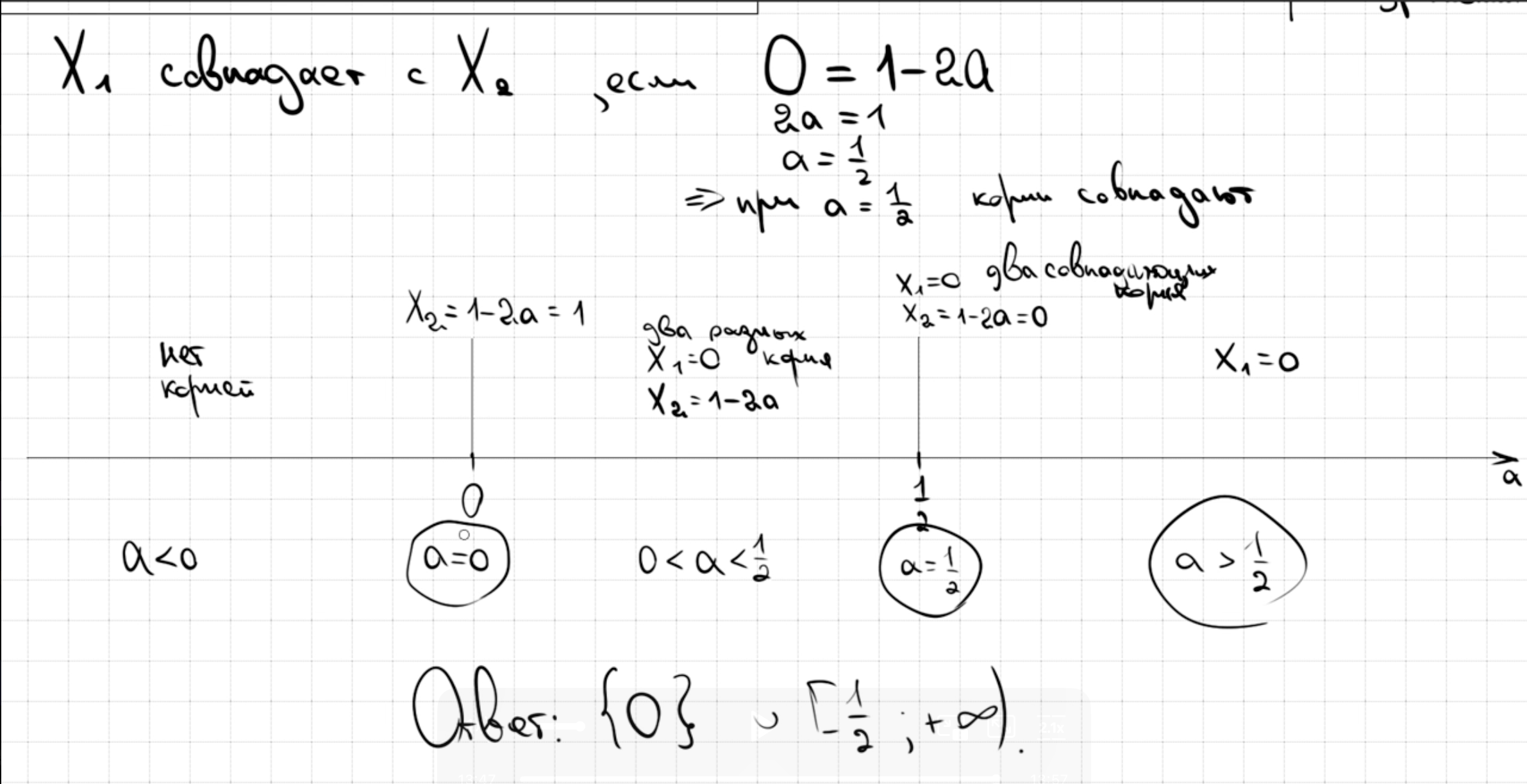
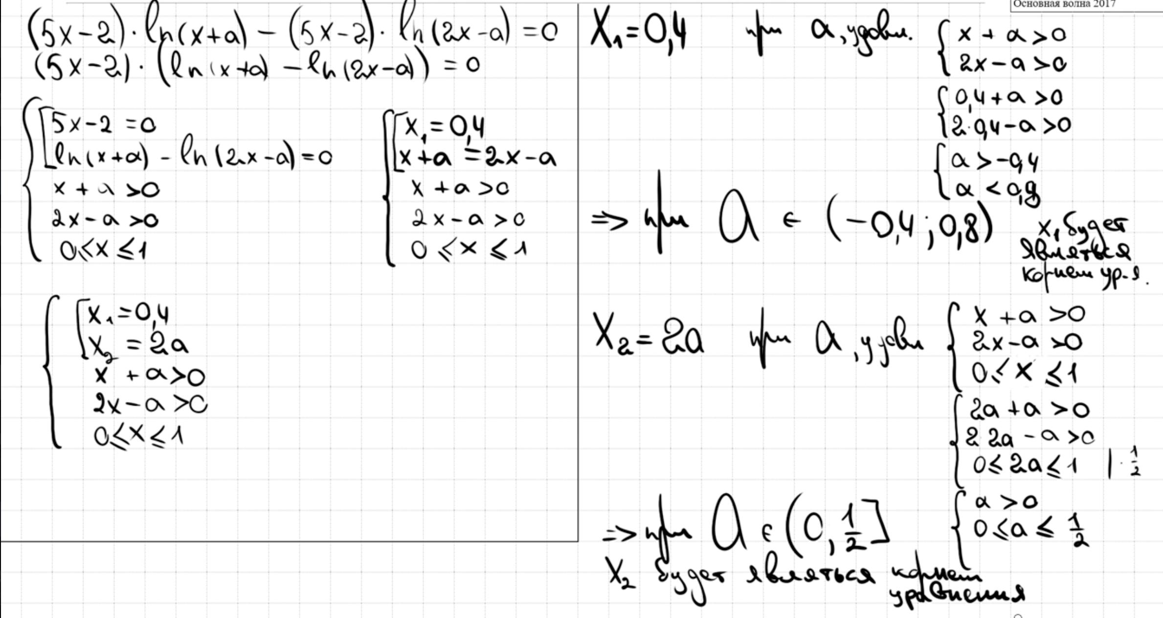
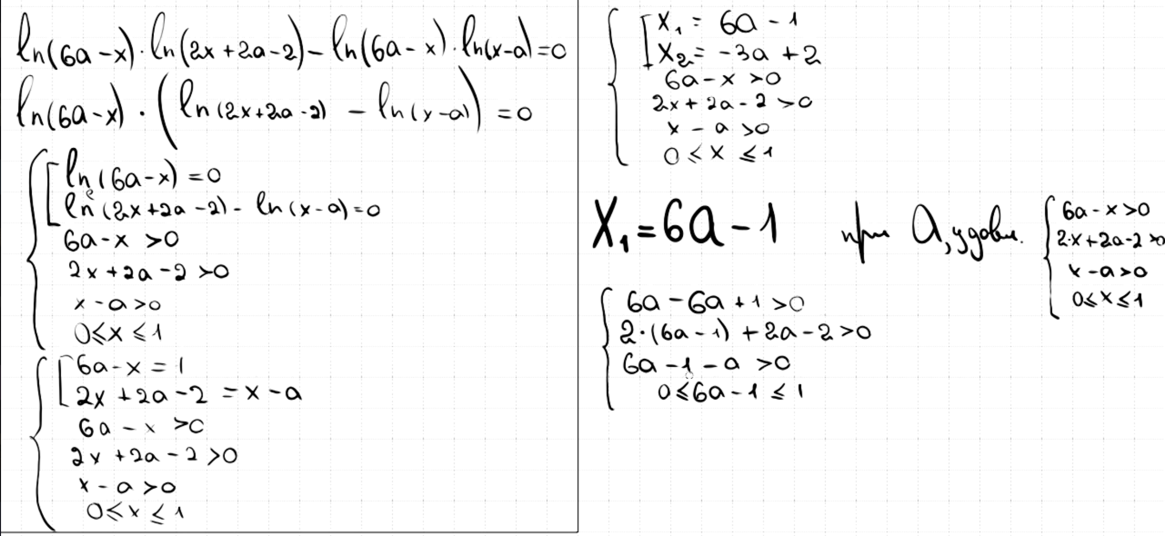
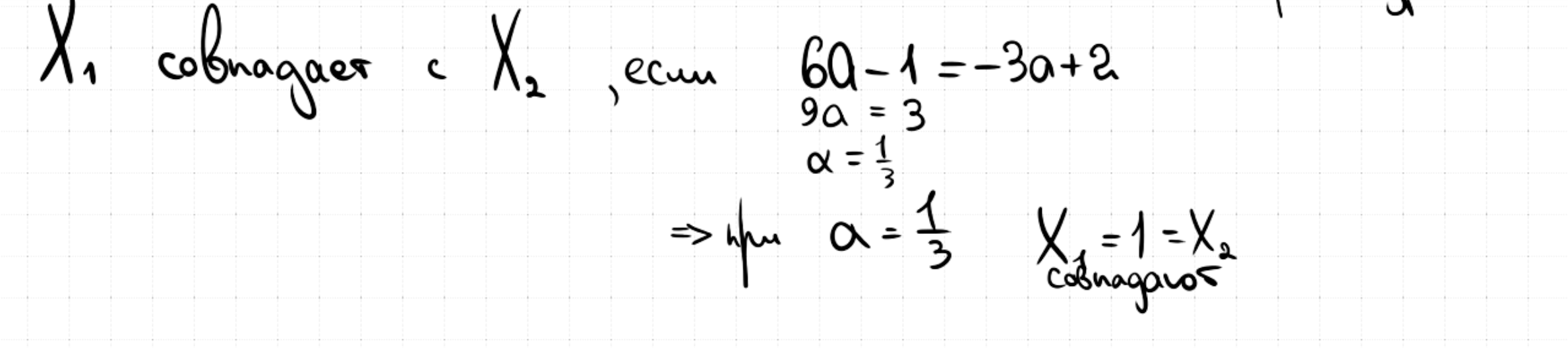
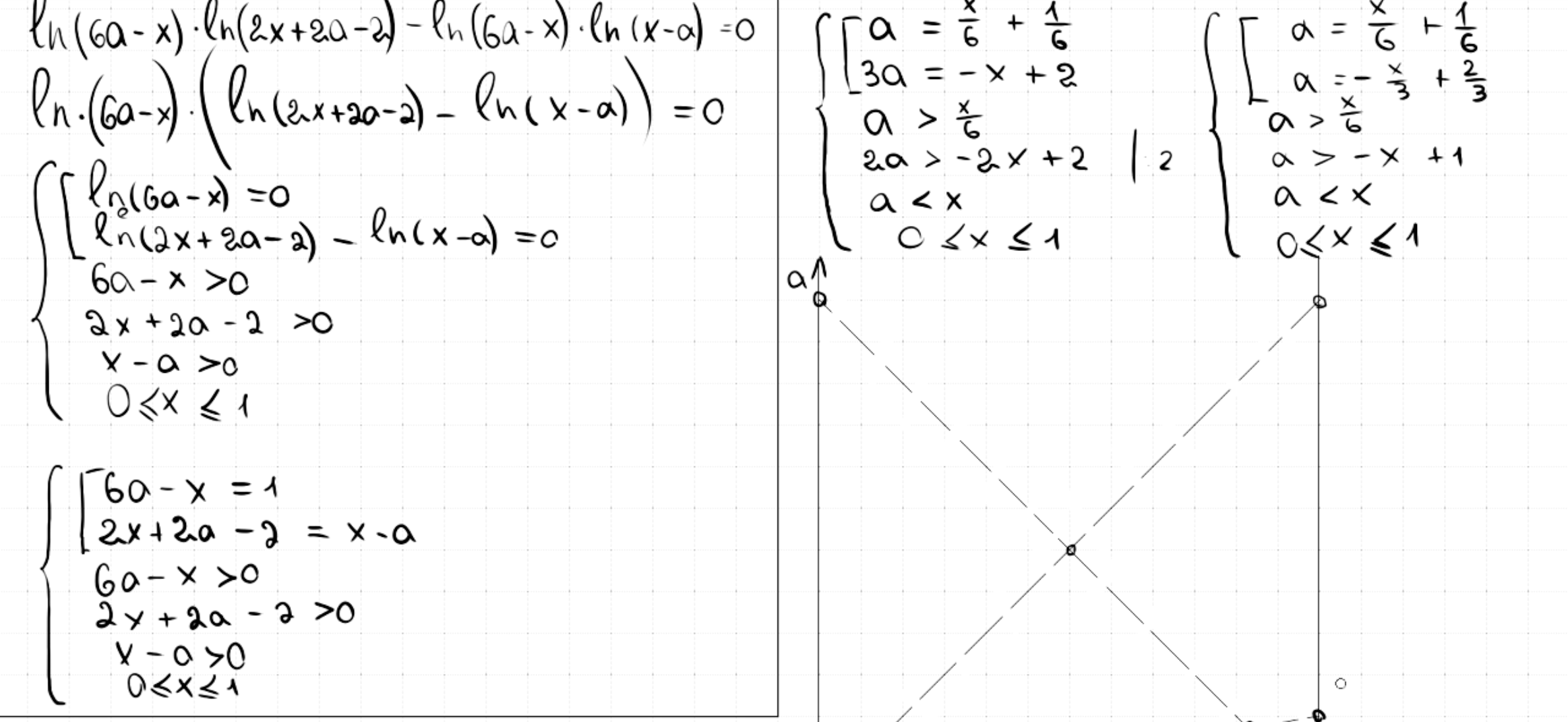
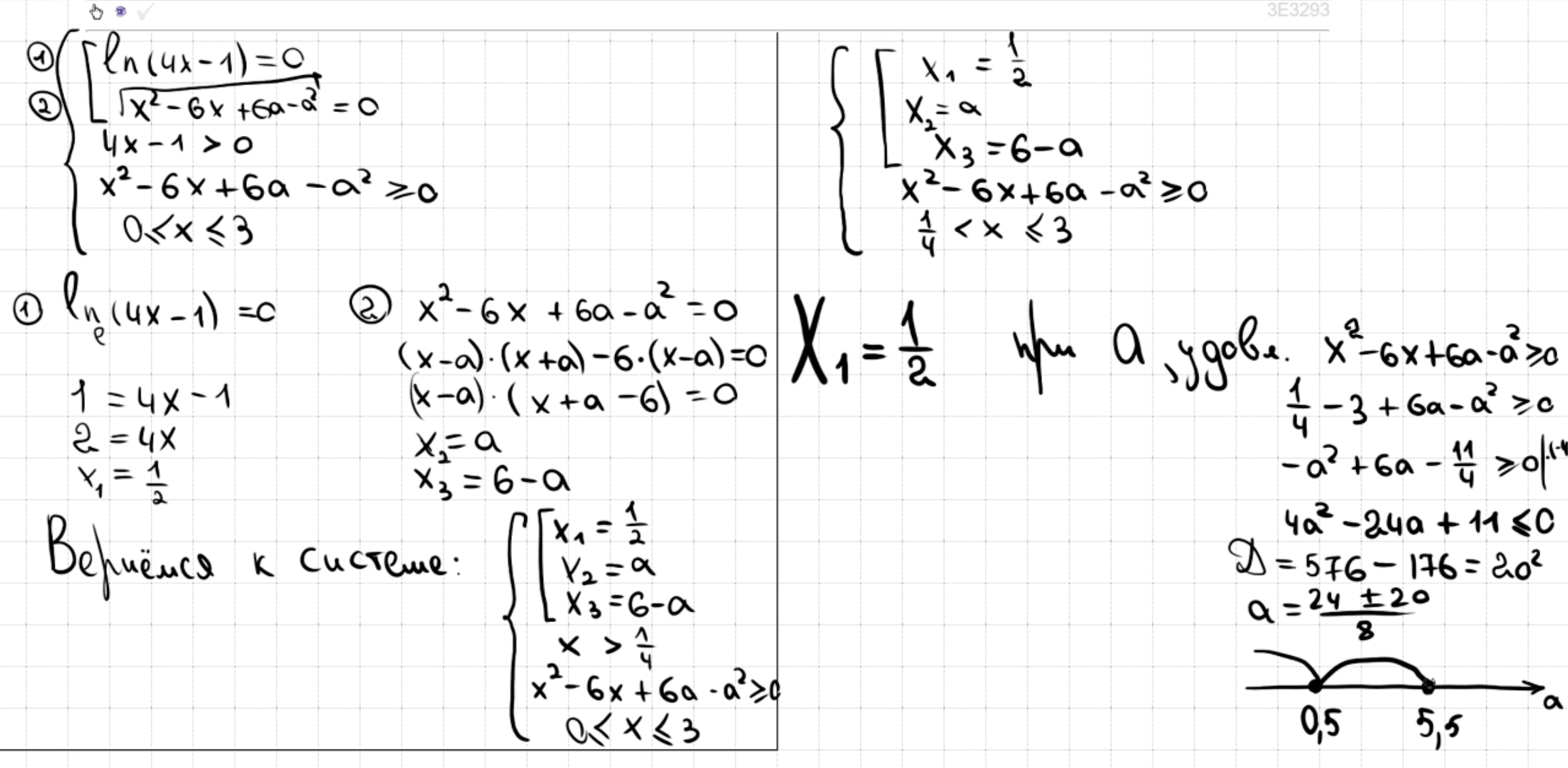
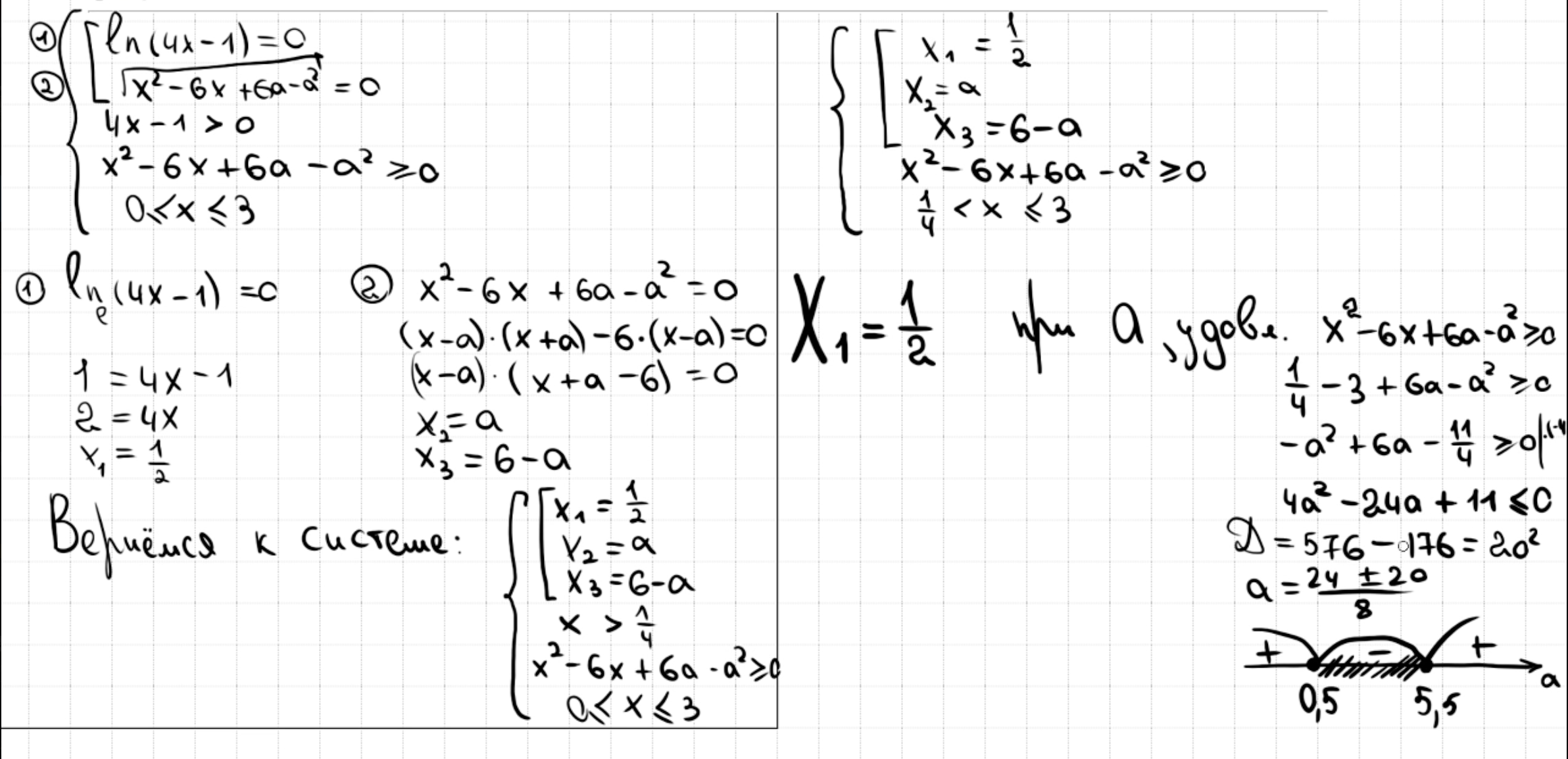
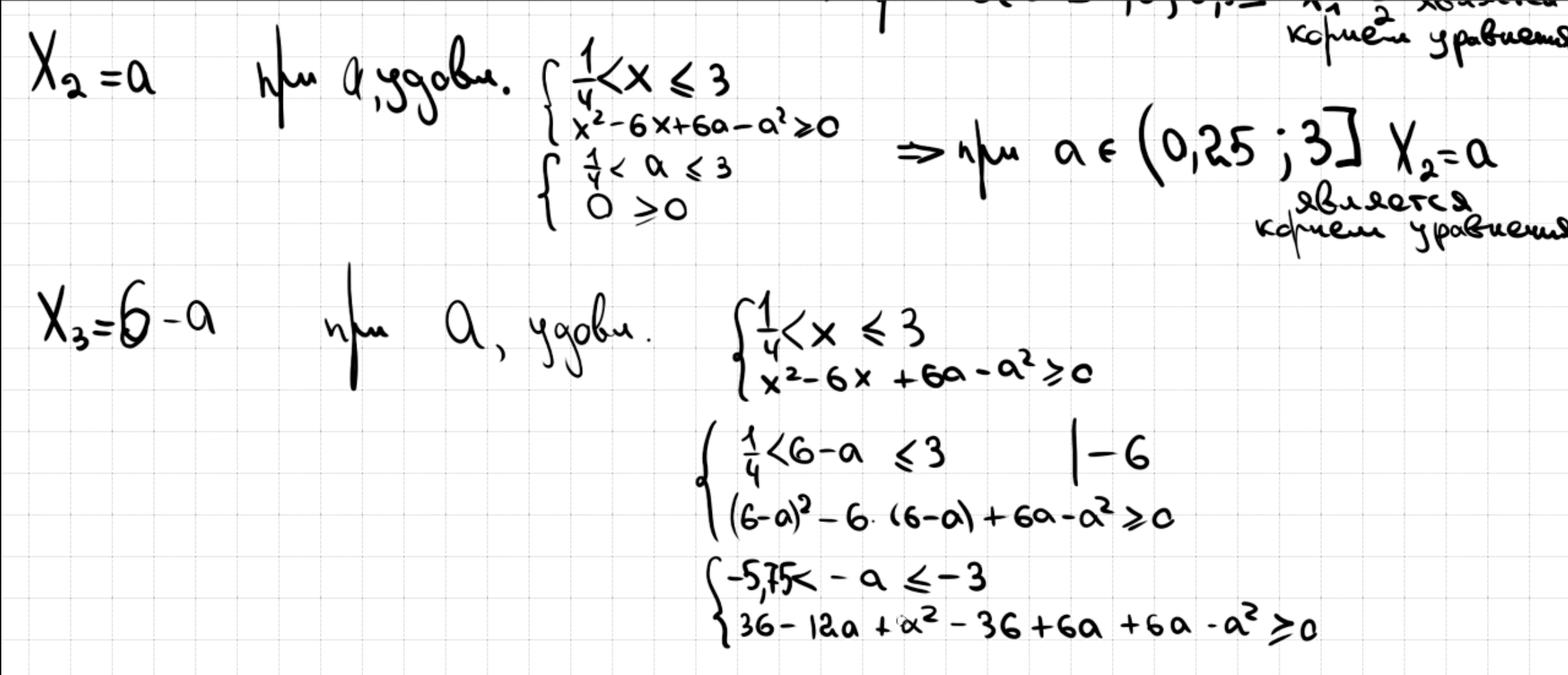
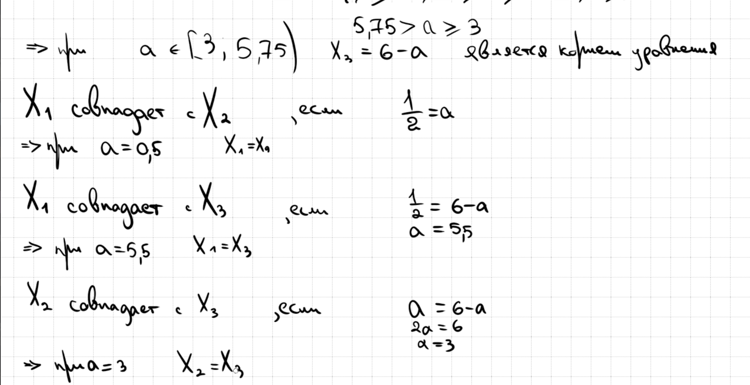
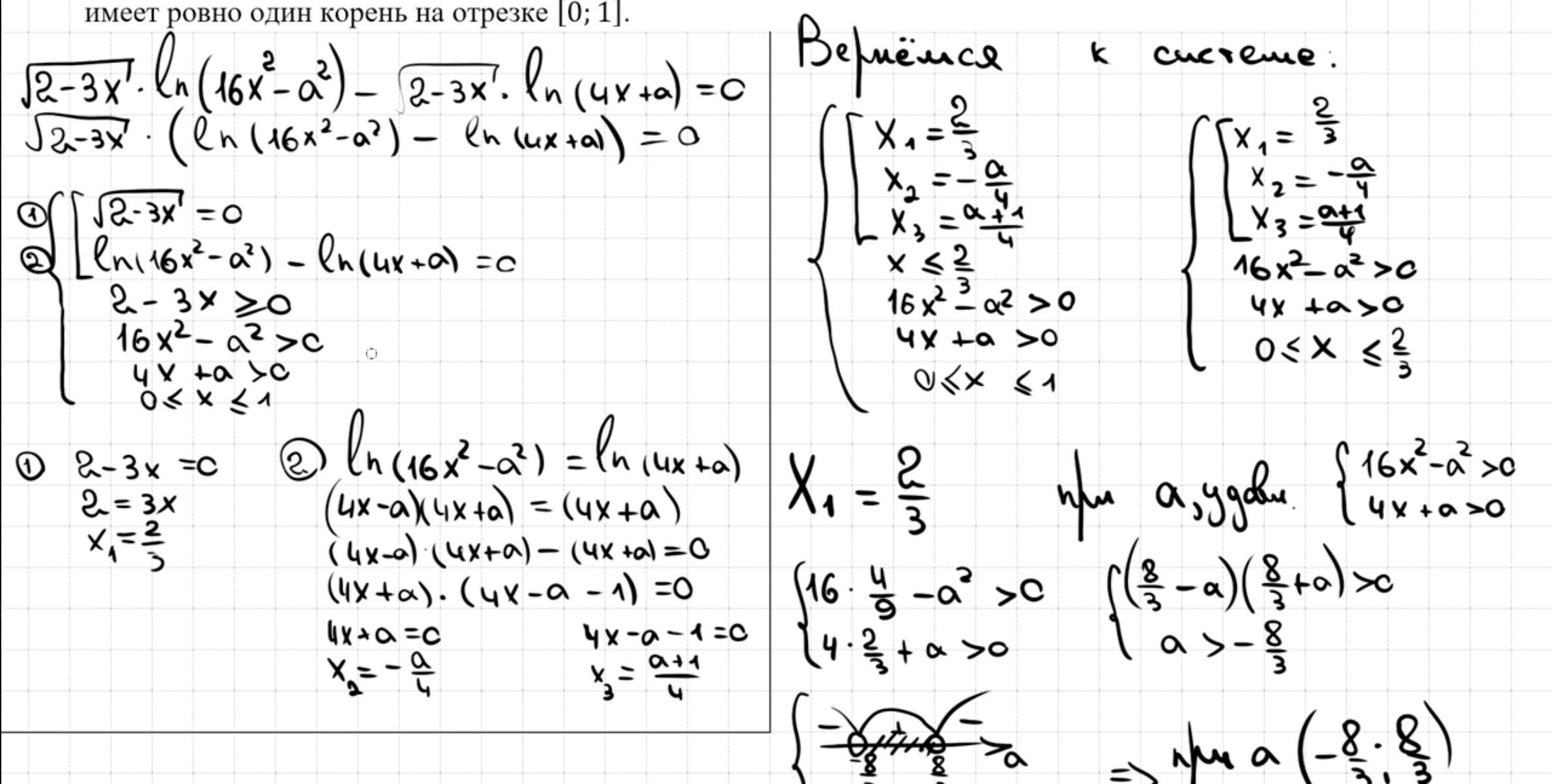
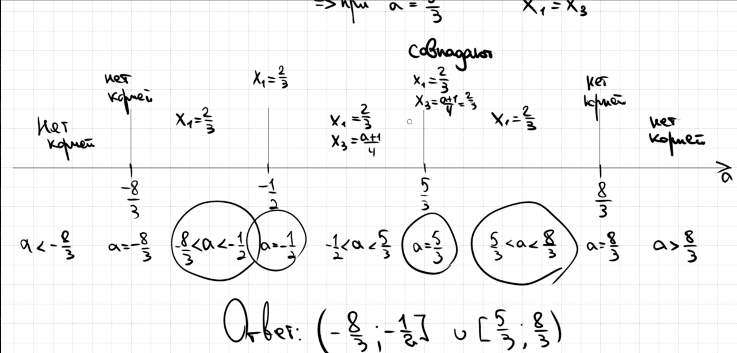
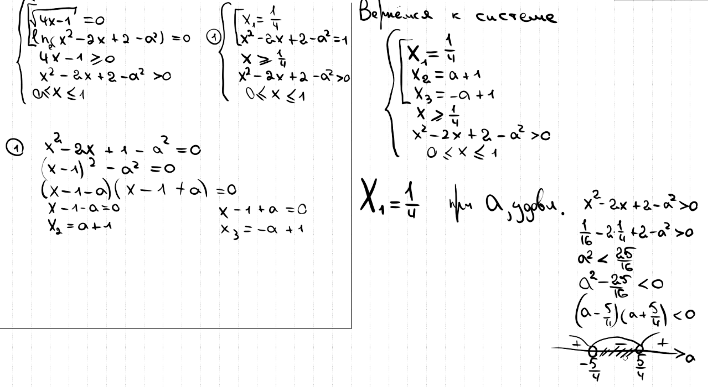
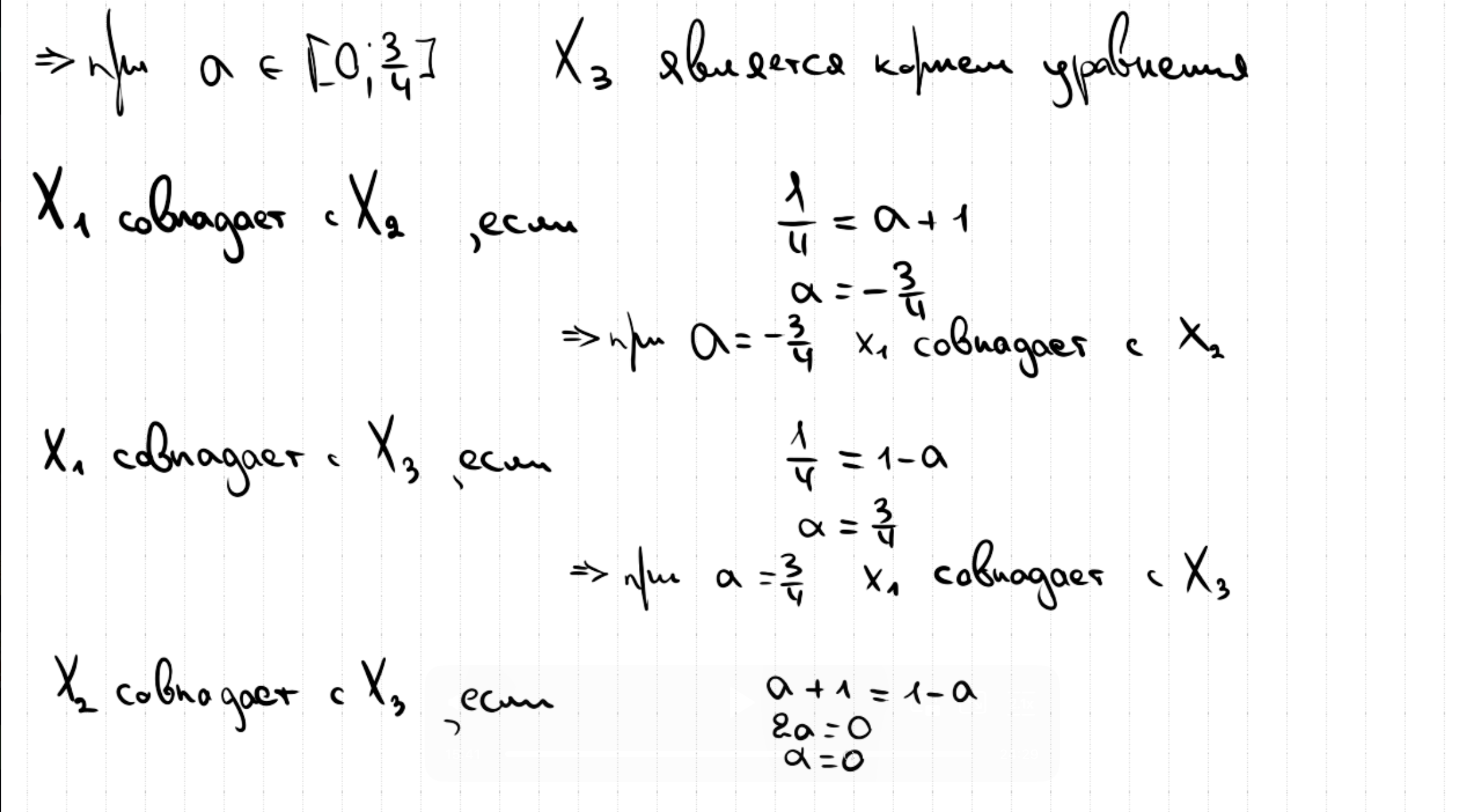
18.16



18.17

Первый способ решения:


Второй способ решения:

18.18

Первый способ решения:





Второй способ решения:


18.19 - 18.24 Один корень на отрезке. Корни
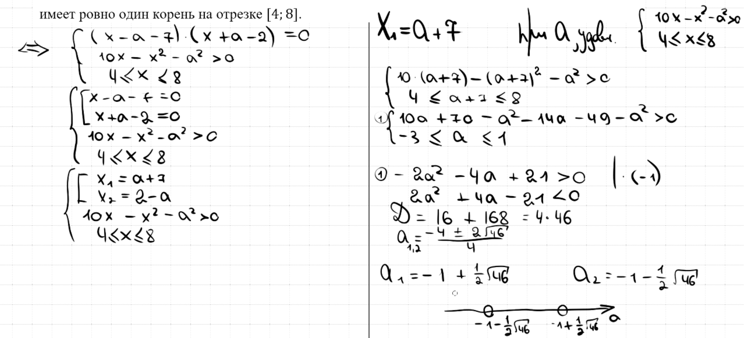
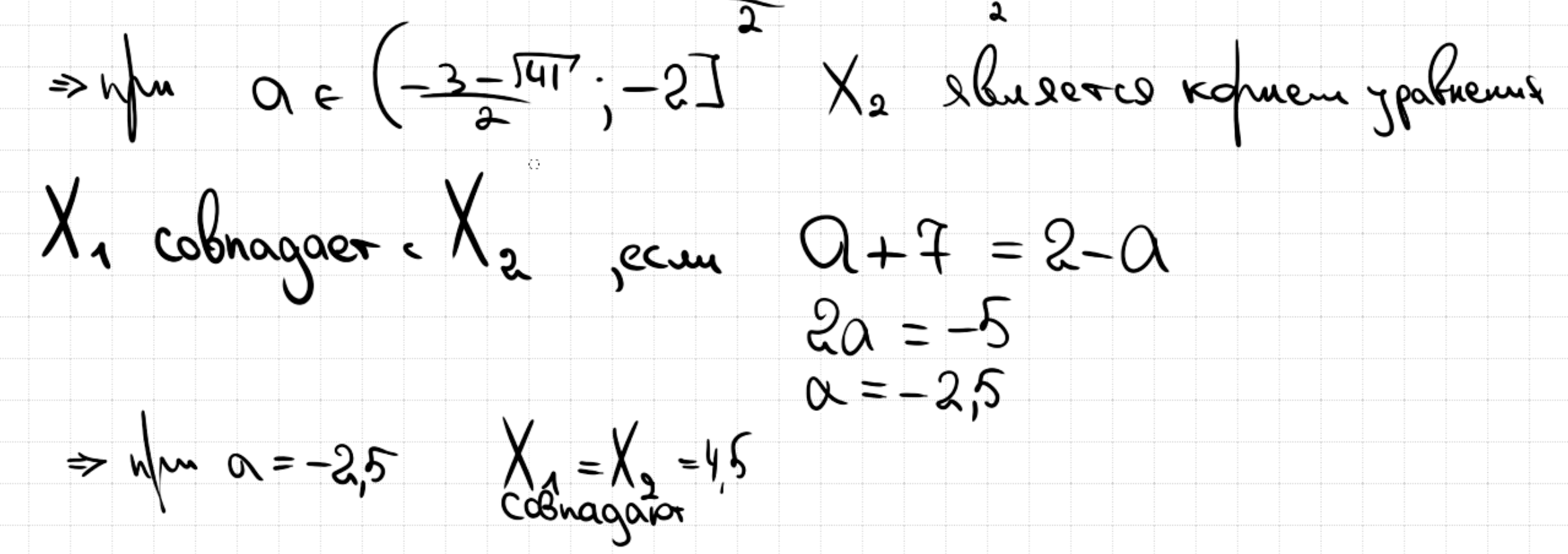
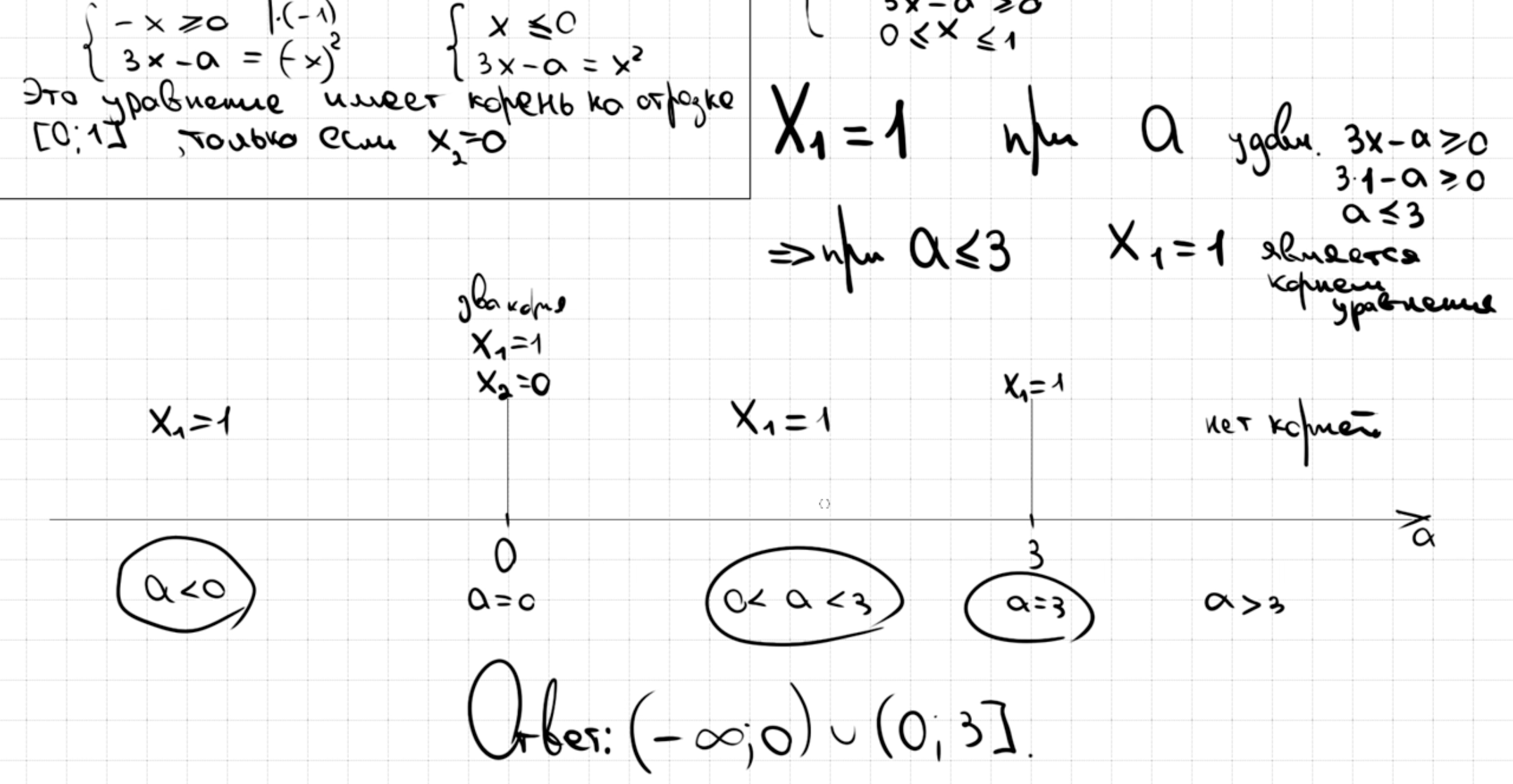
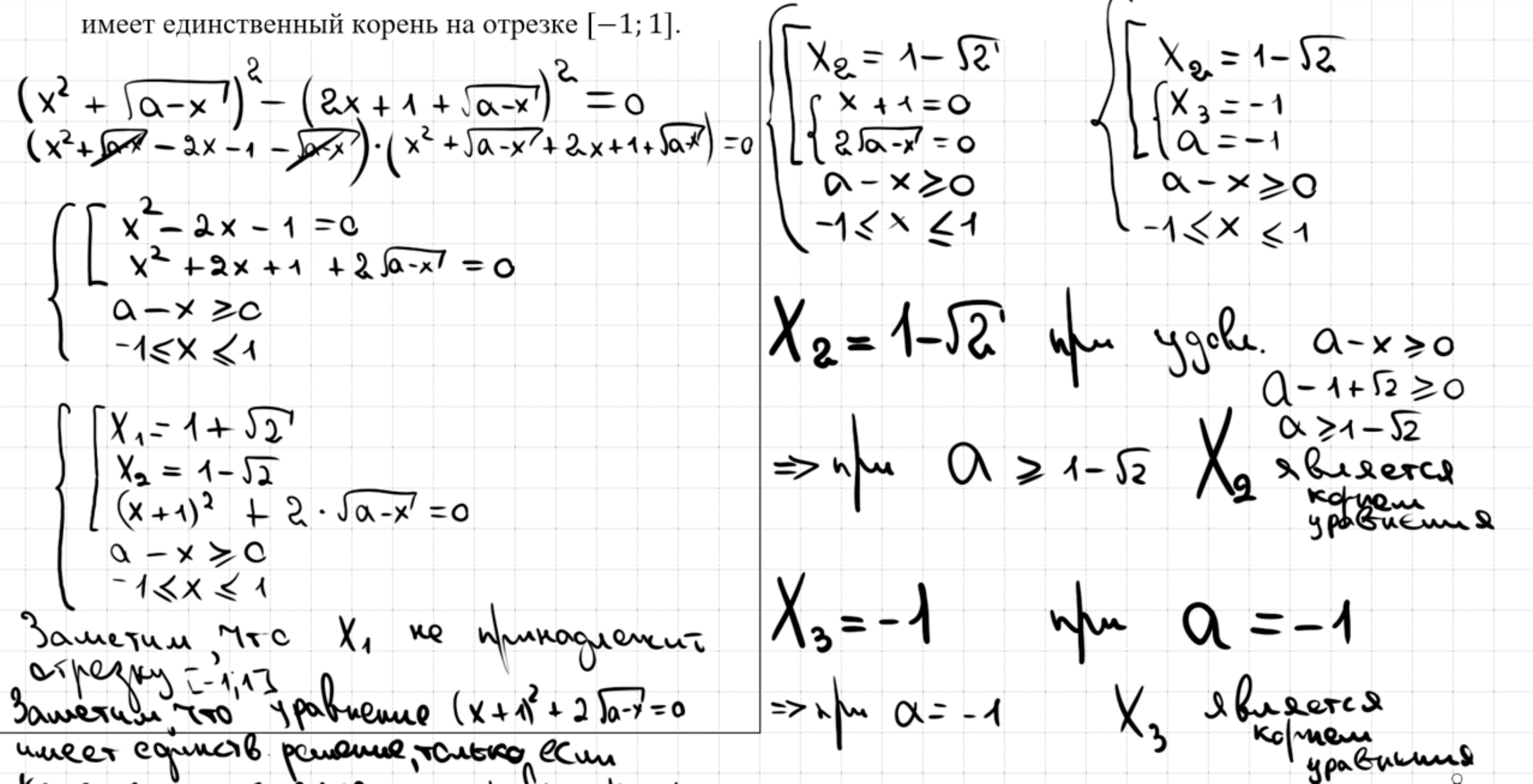
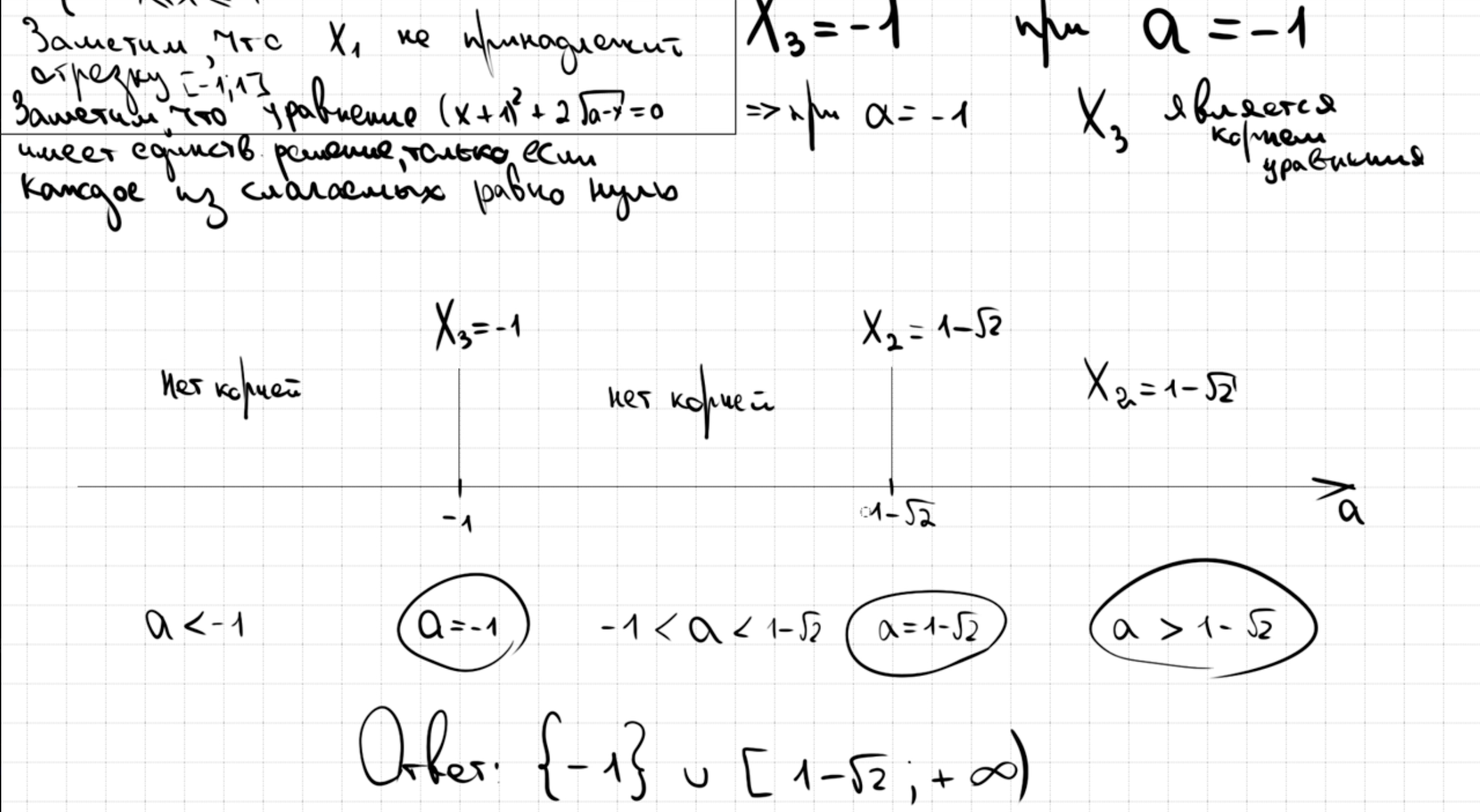
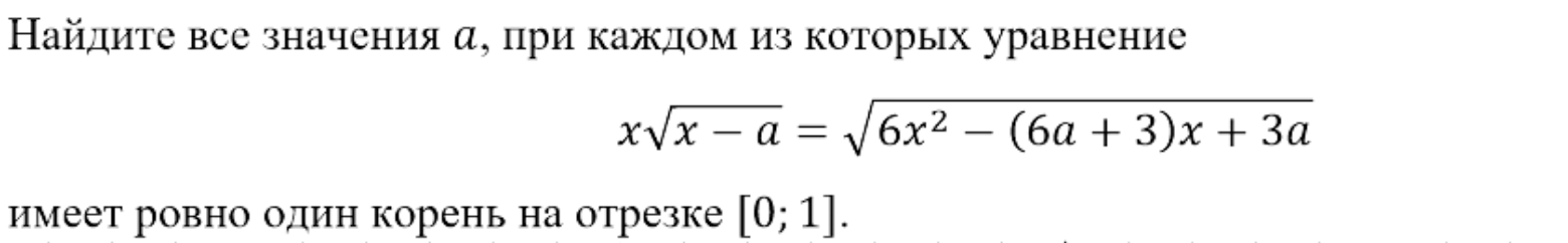
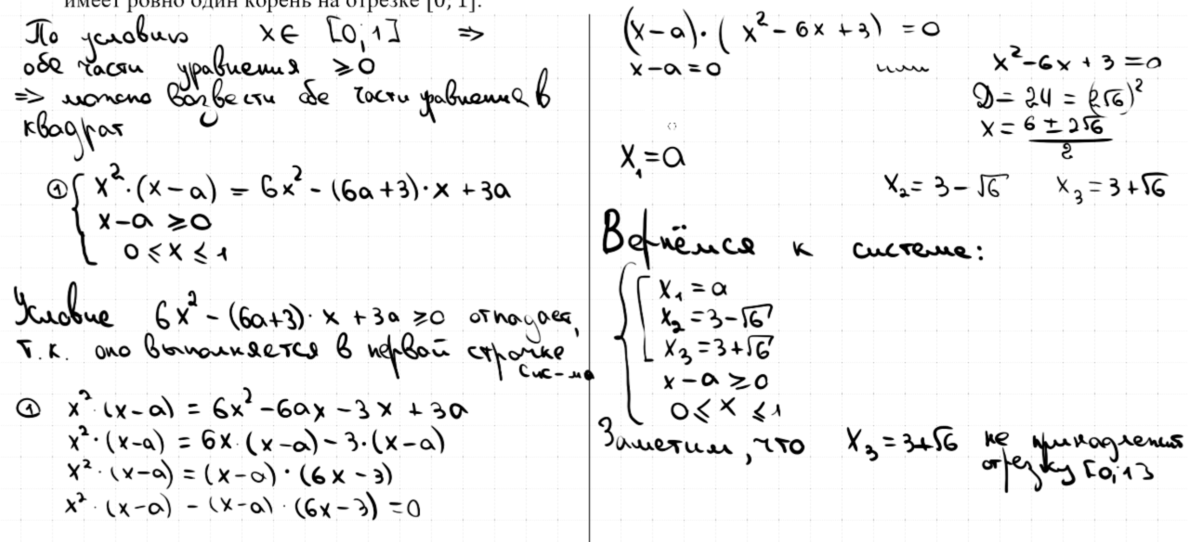
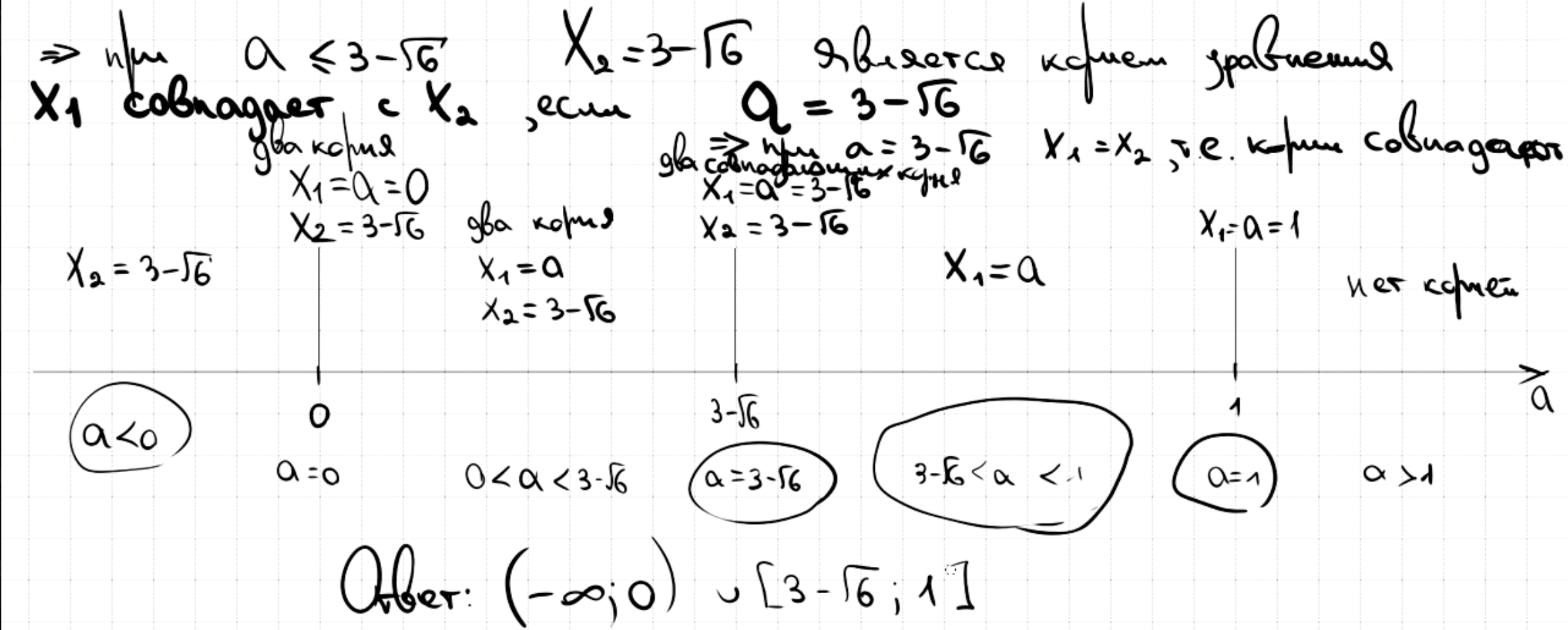
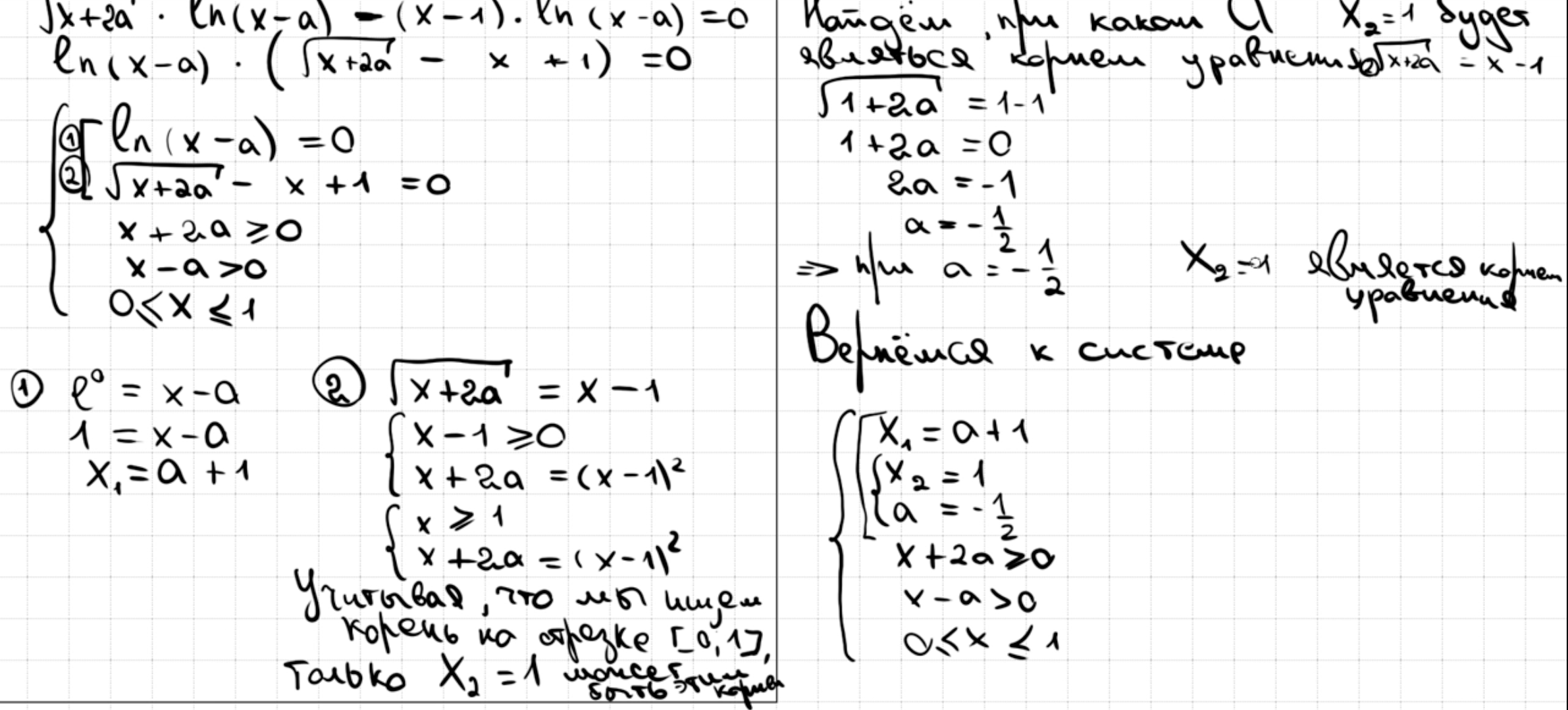
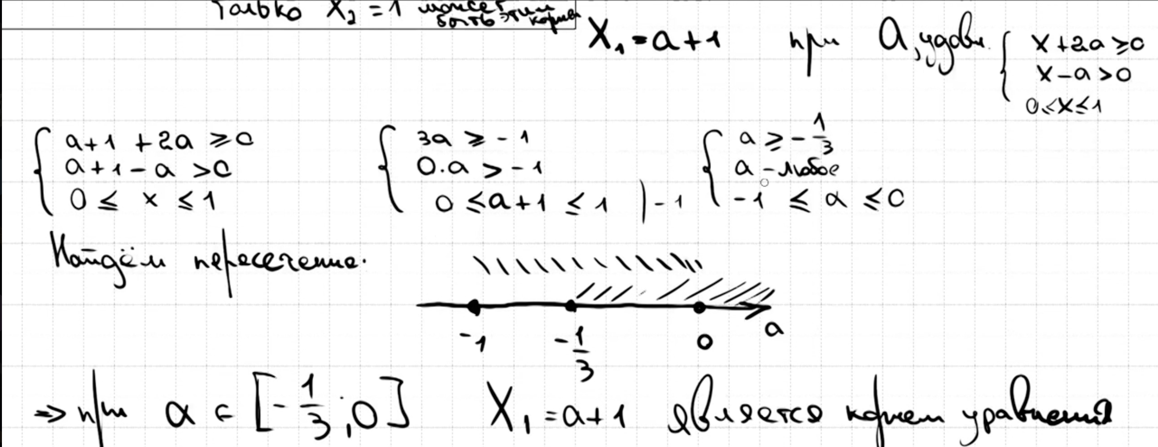
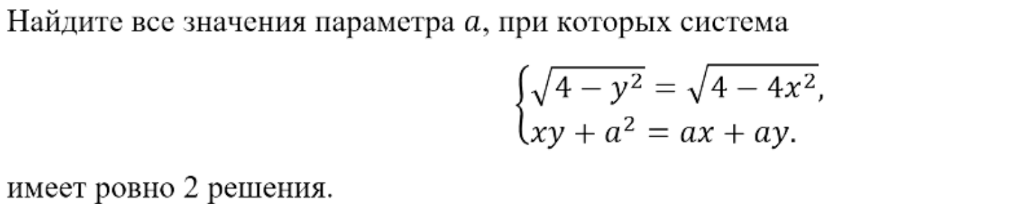
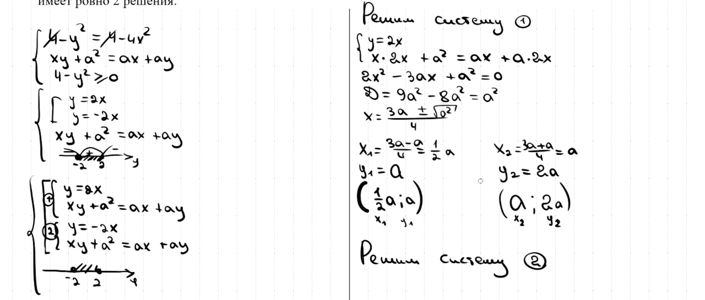
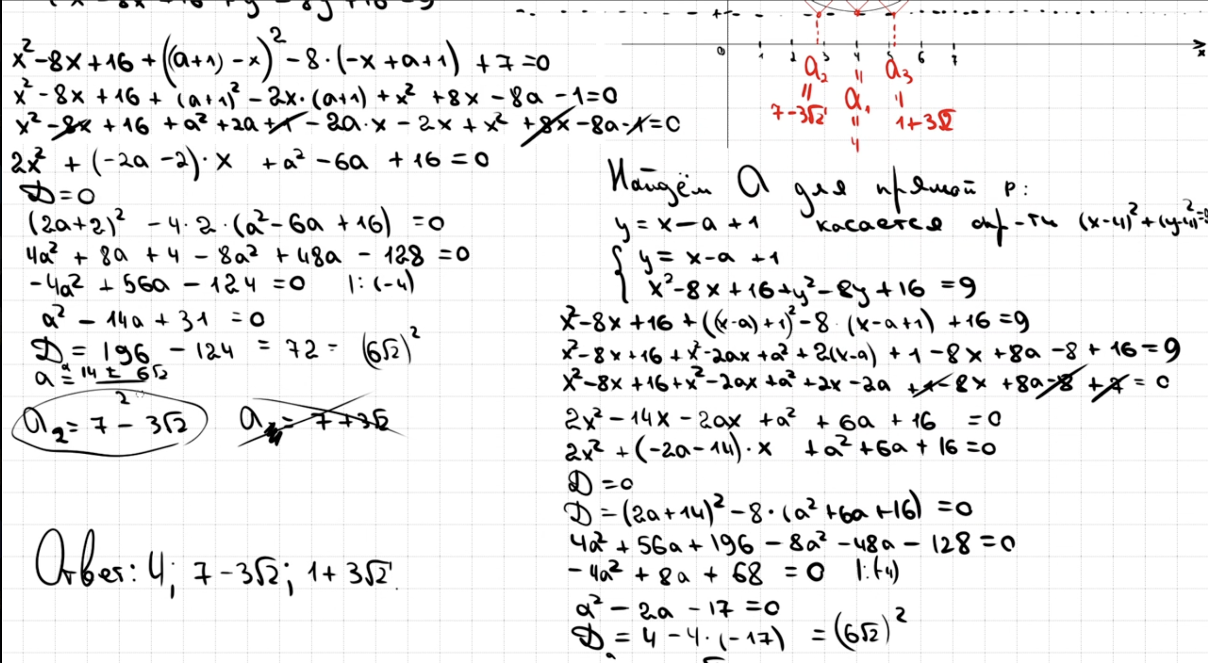
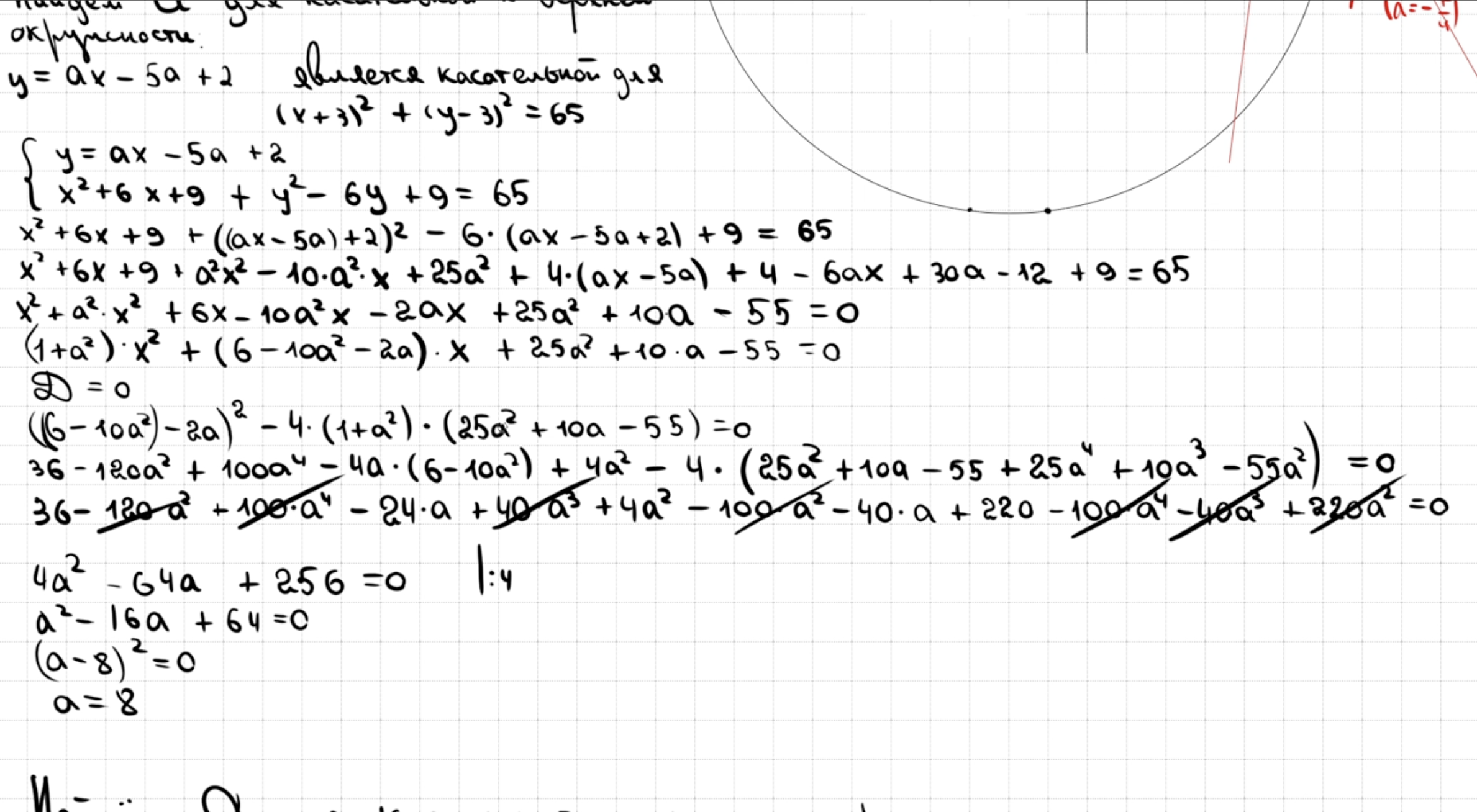
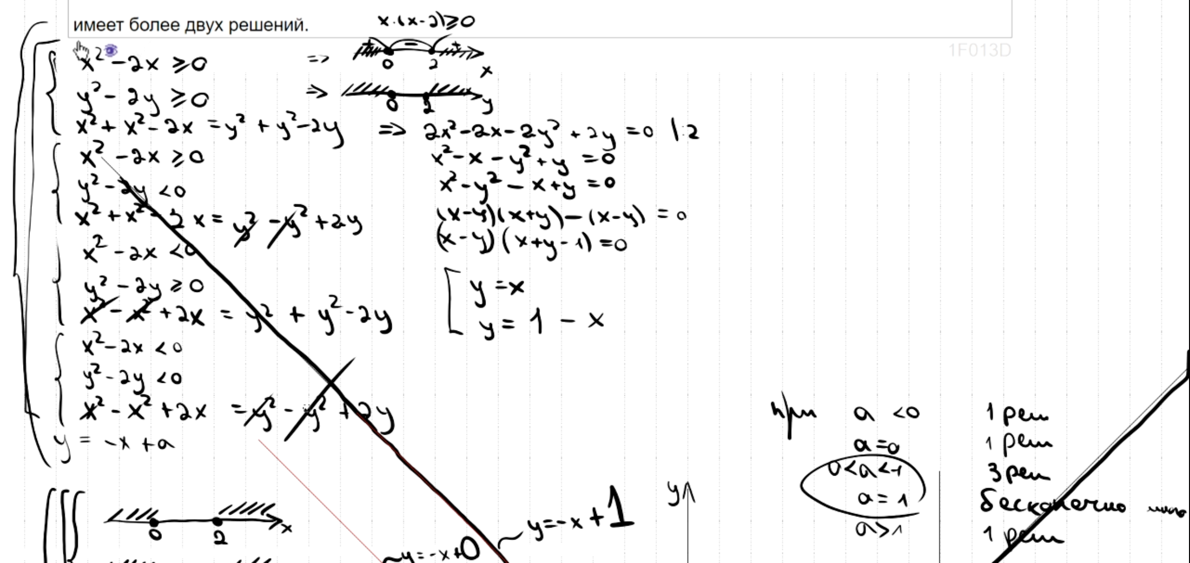
18.19

Первый способ решения:


Второй способ решения:



Третий способ решения:


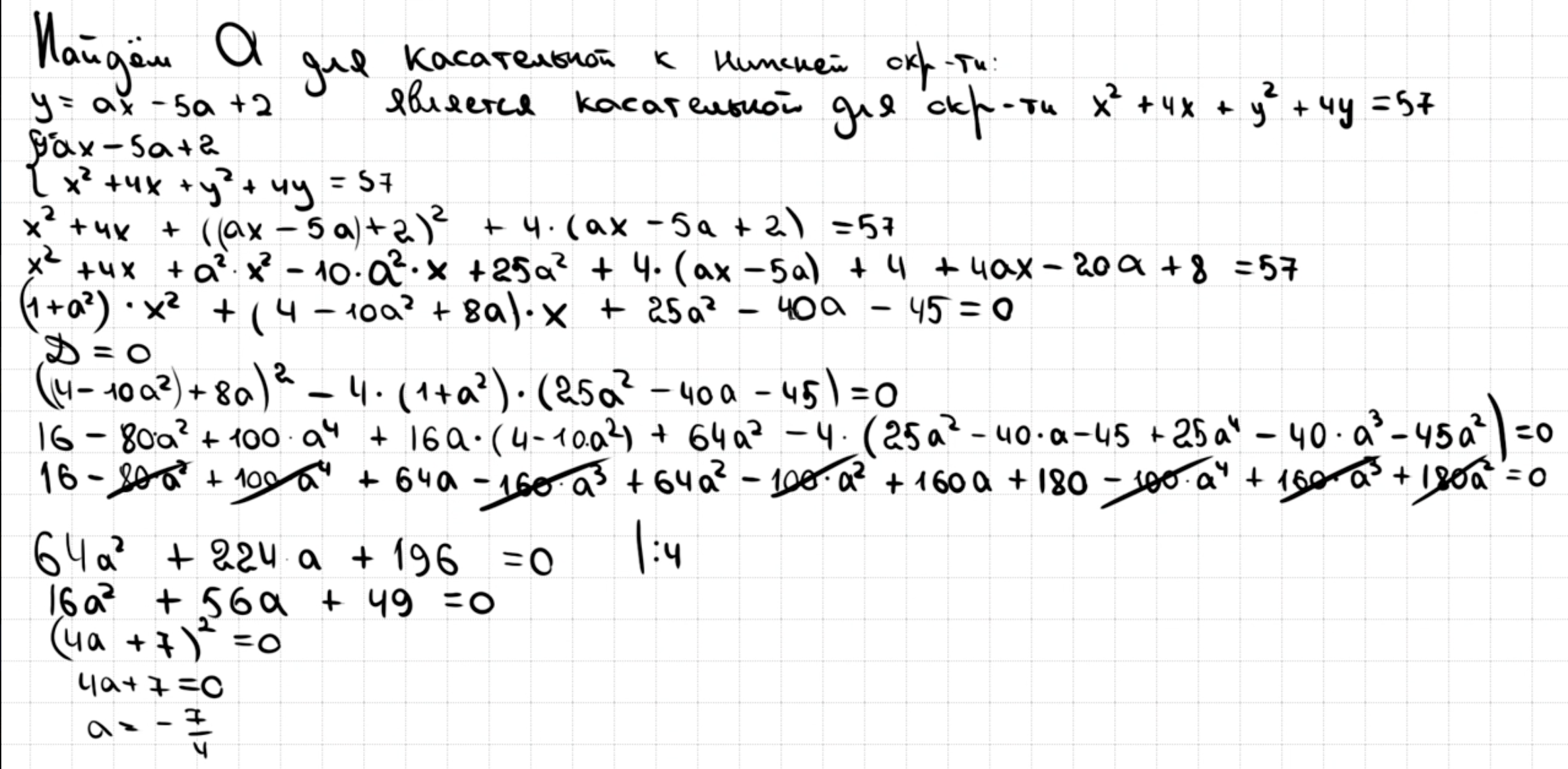
18.20

Первый способ решения:





Второй способ решения:


Третий способ решения:







18.21

Первый способ решения:





Второй способ решения:





18.22

Первый способ решения:


Второй способ решения:

18.23



18.24




18.25 - 18.30 Один корень на отрезке. Логарифмы и корни
18.25





18.26





18.27




18.28






18.29






18.30





18.31 - 18.31 Один корень на отрезке. Тригонометрия и корни
18.31



18.32 - 18.32 Один корень на отрезке. Тригонометрия и логарифмы
18.32




18.33 - 18.34 Один корень на отрезке. Система с логарифмами
18.33




18.34







18.35 - 18.38 Один корень на отрезке. Система с корнями
18.35




18.36





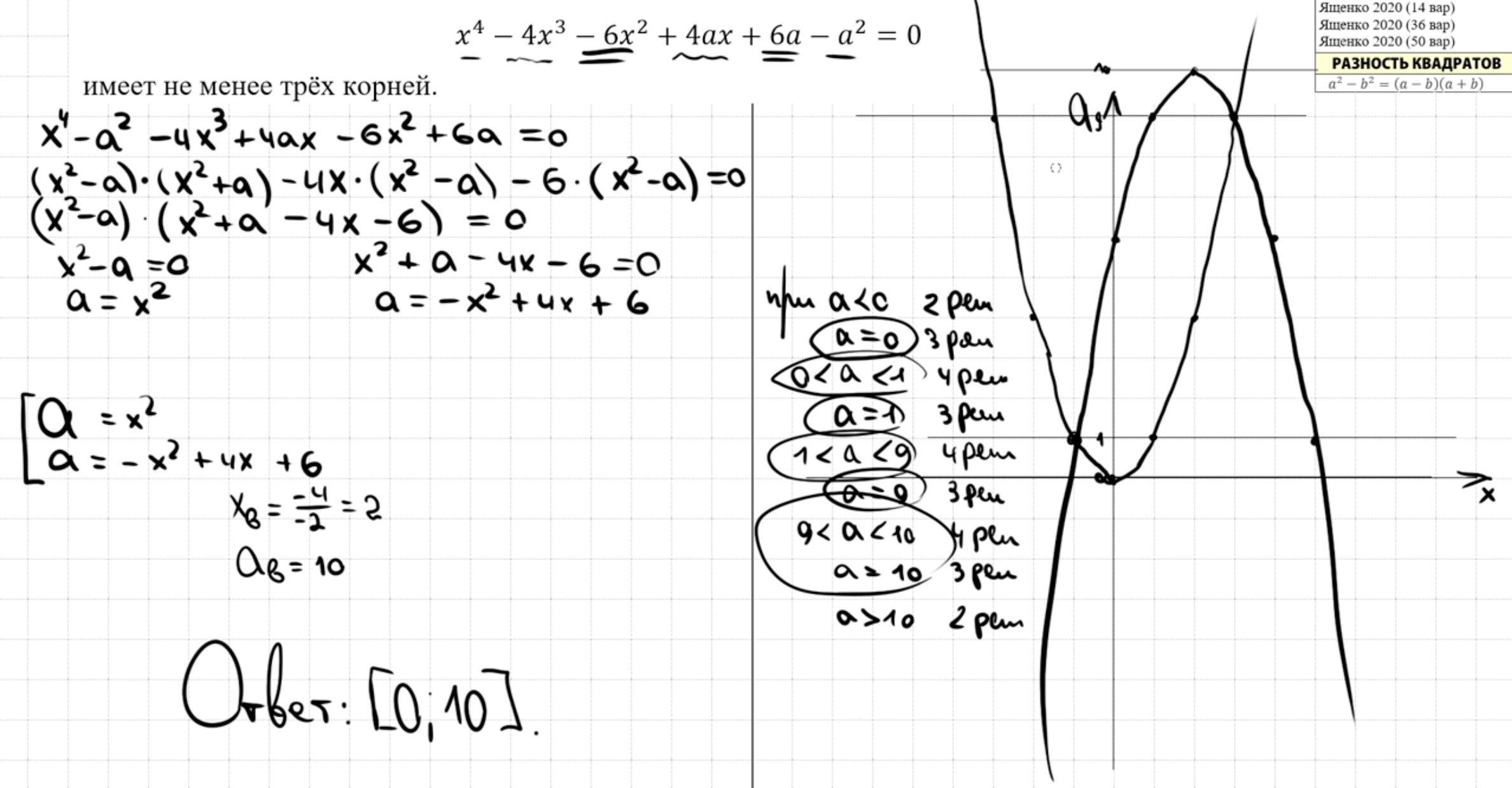
18.37







18.38






18.39 - 18.40 Легко решить графически. Условие без корней, модулей и т. д.
18.39




18.40


18.41 - 18.41 Легко решить графически. Логарифмы
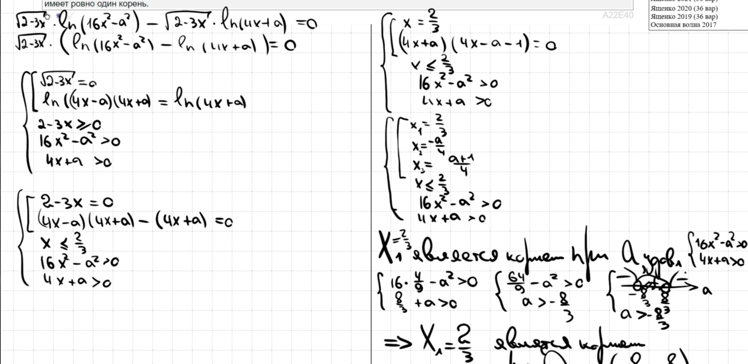
18.41

Первый способ решения:


Второй способ решения:


18.42 - 18.47 Легко решить графически. Модули
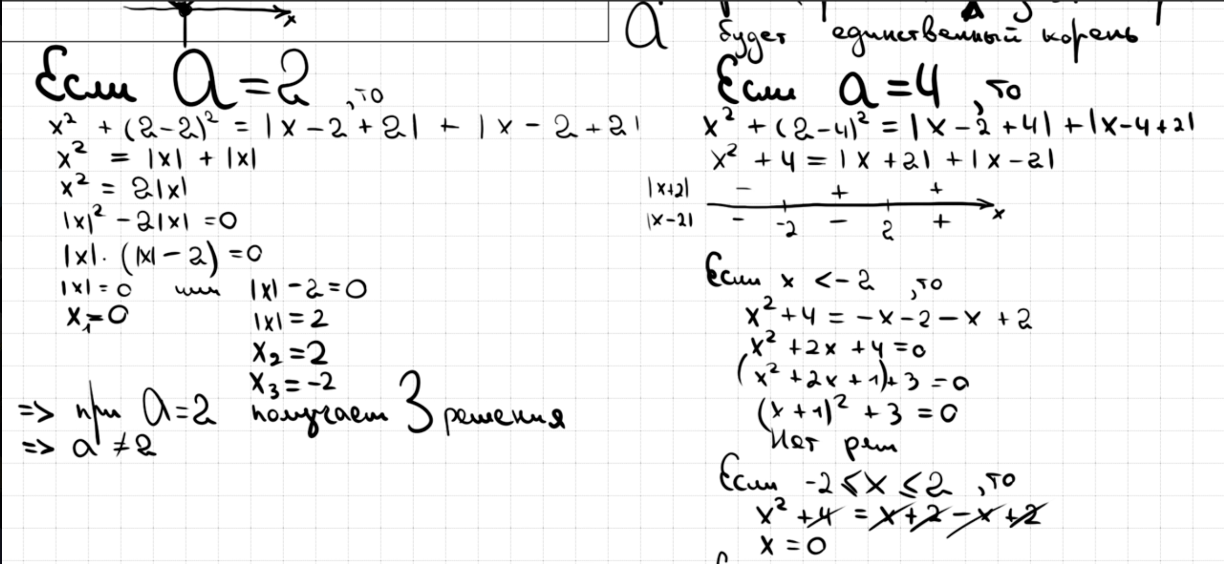
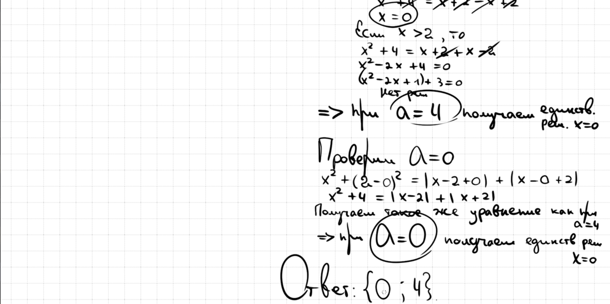
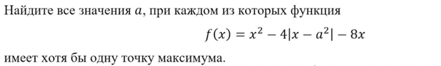
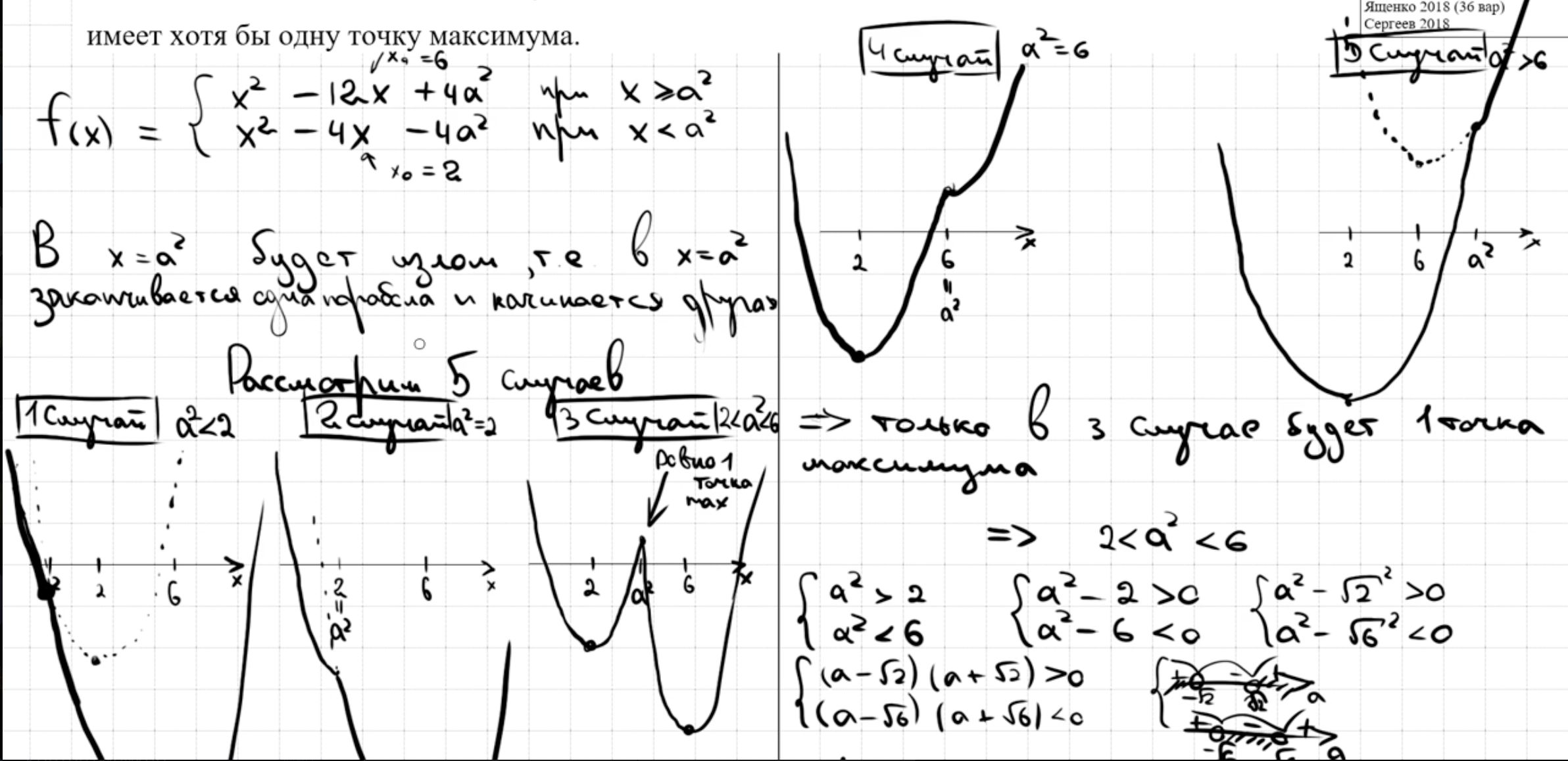
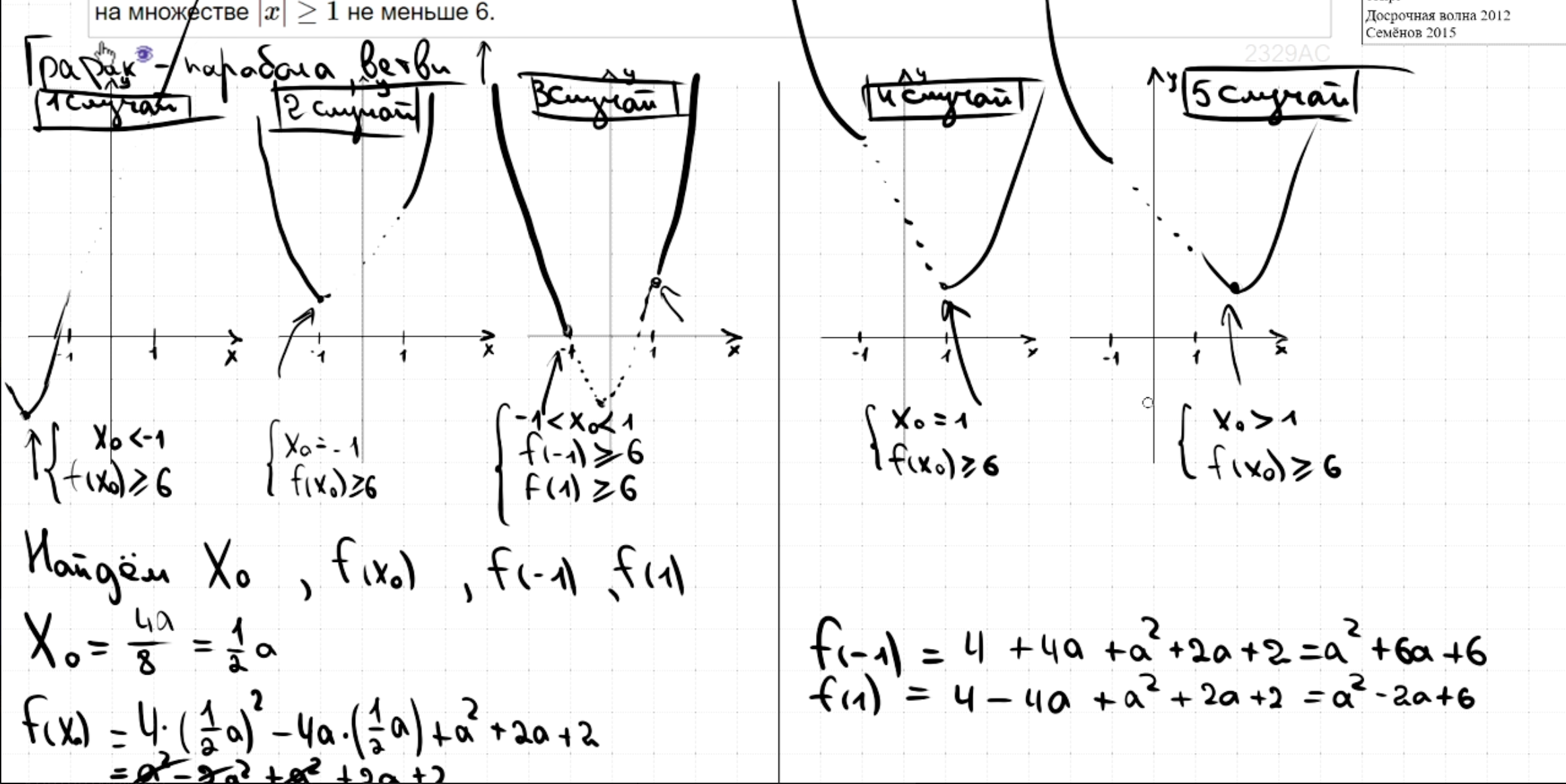
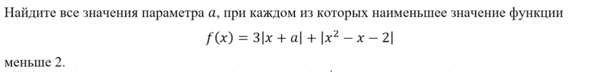
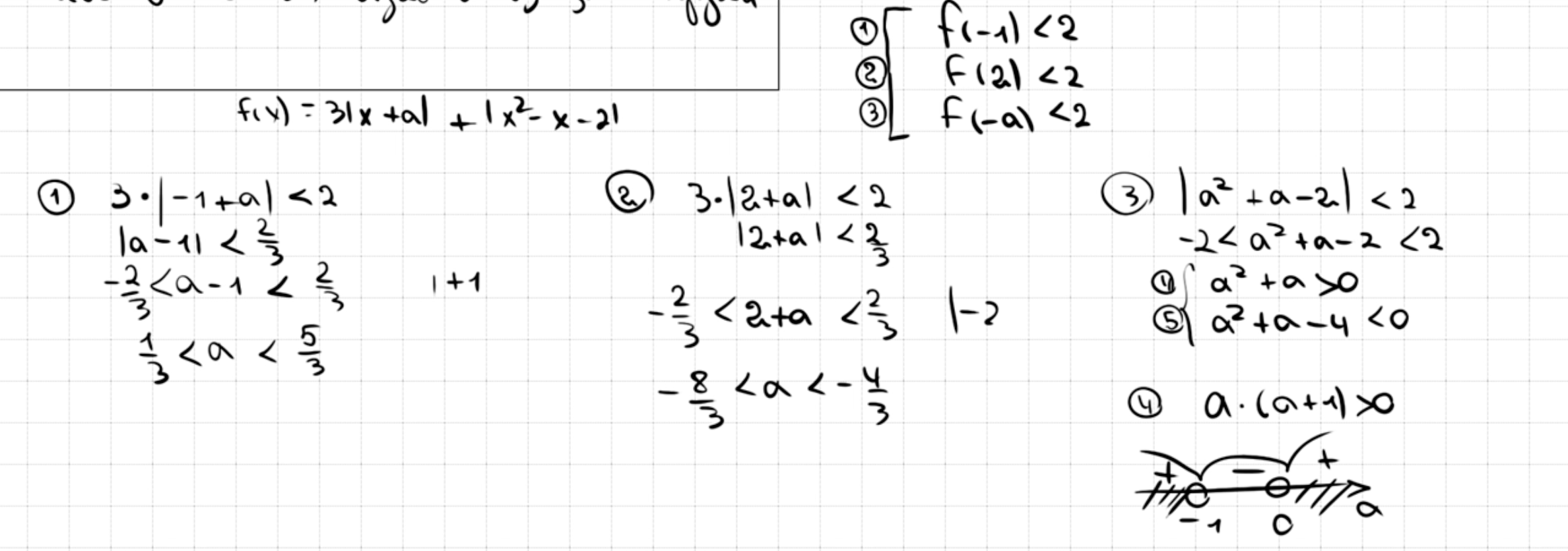
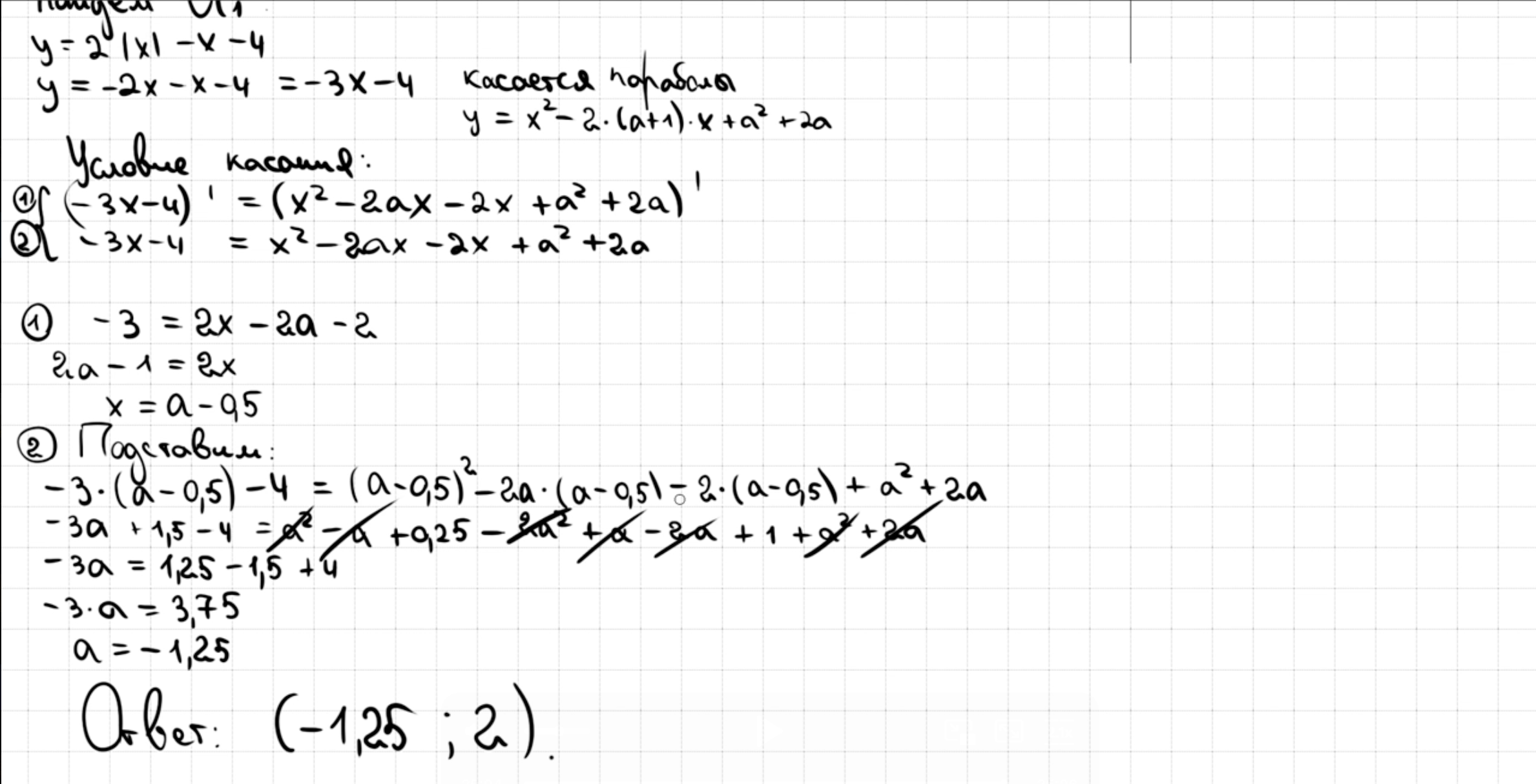
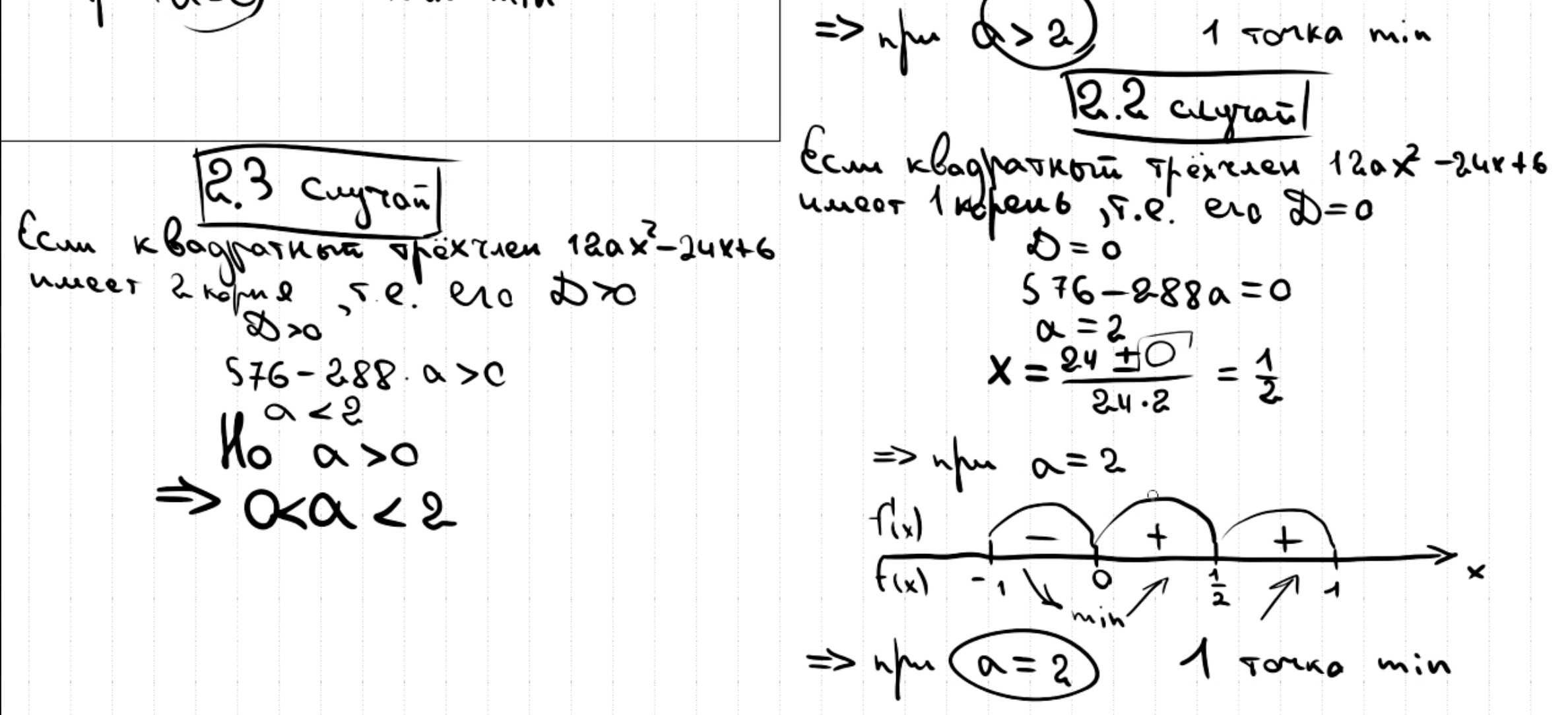
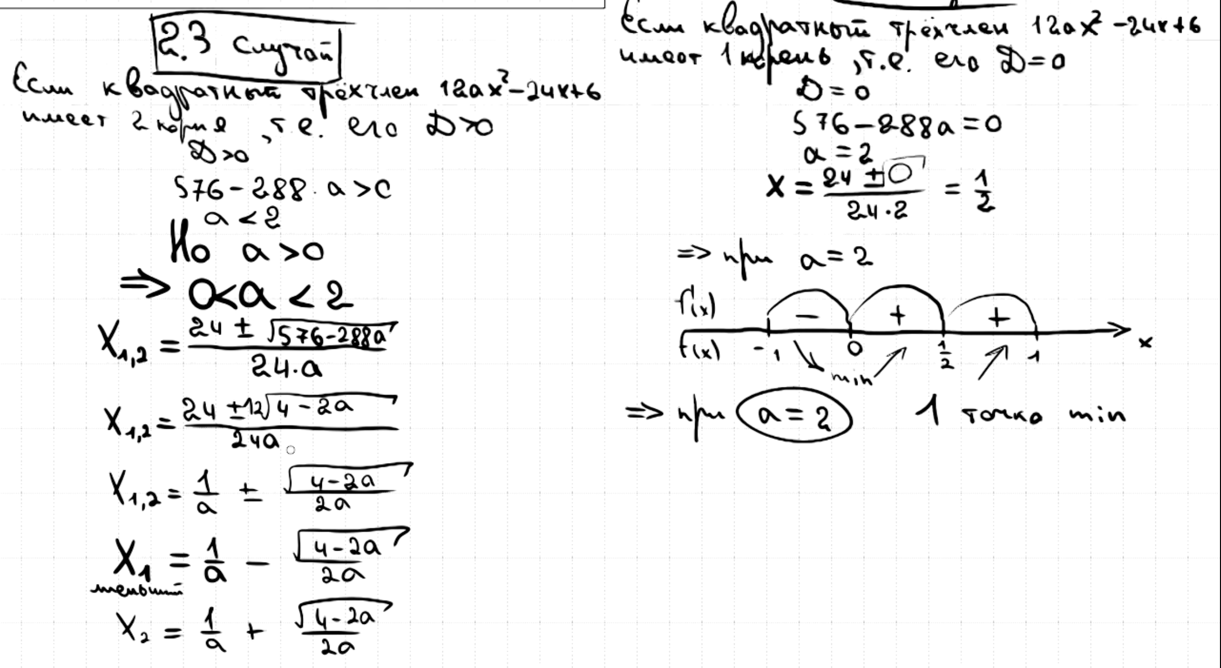
18.42

Первый способ решения:


Второй способ решения:


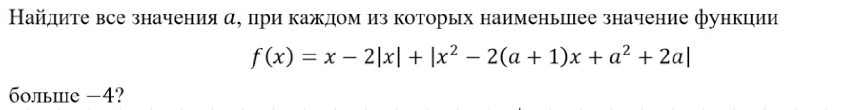
18.43





18.44



18.45



18.46



18.47





18.48 - 18.48 Легко решить графически. Корни
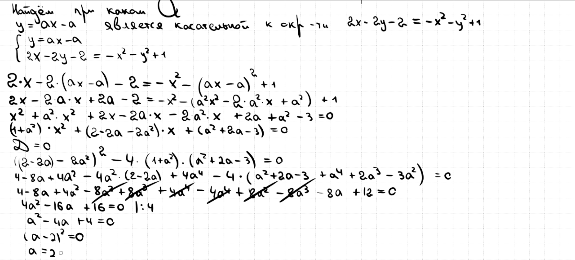
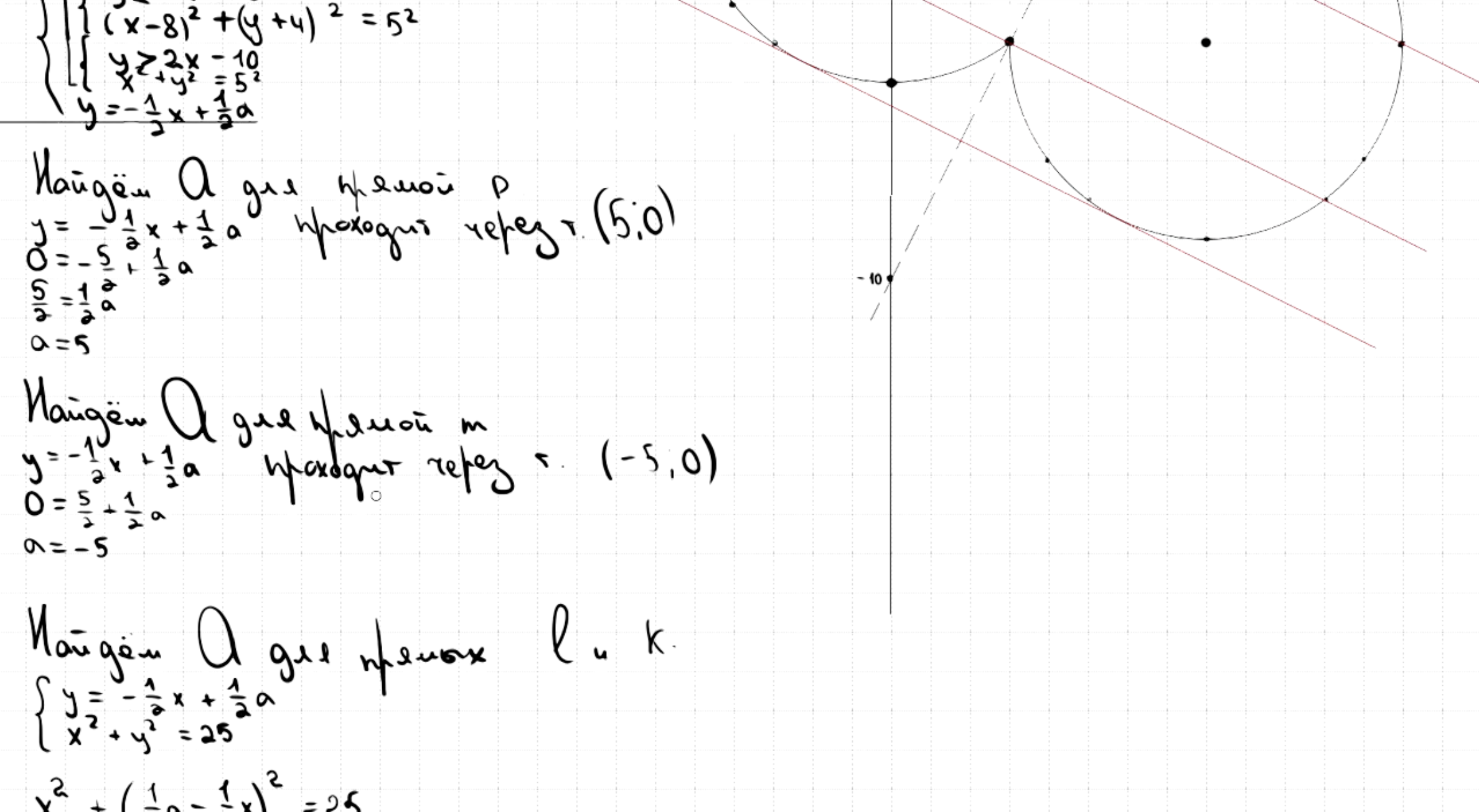
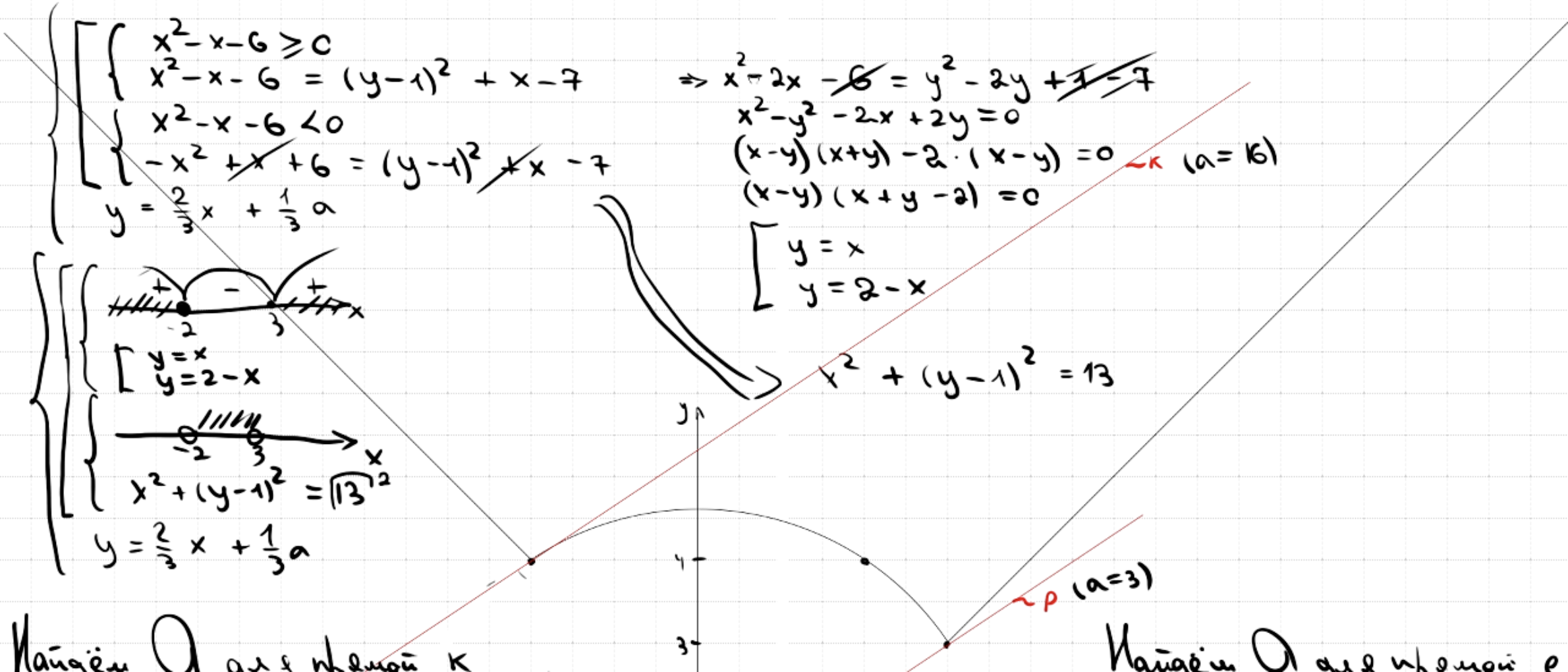
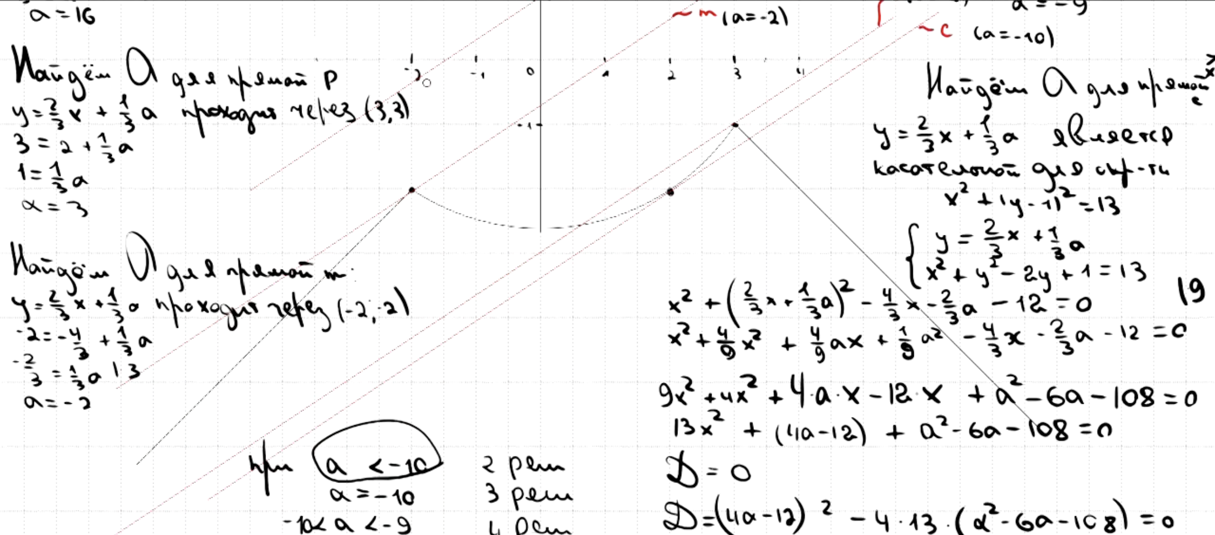
18.48



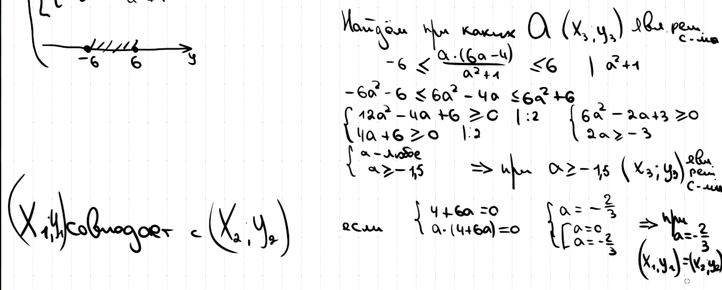
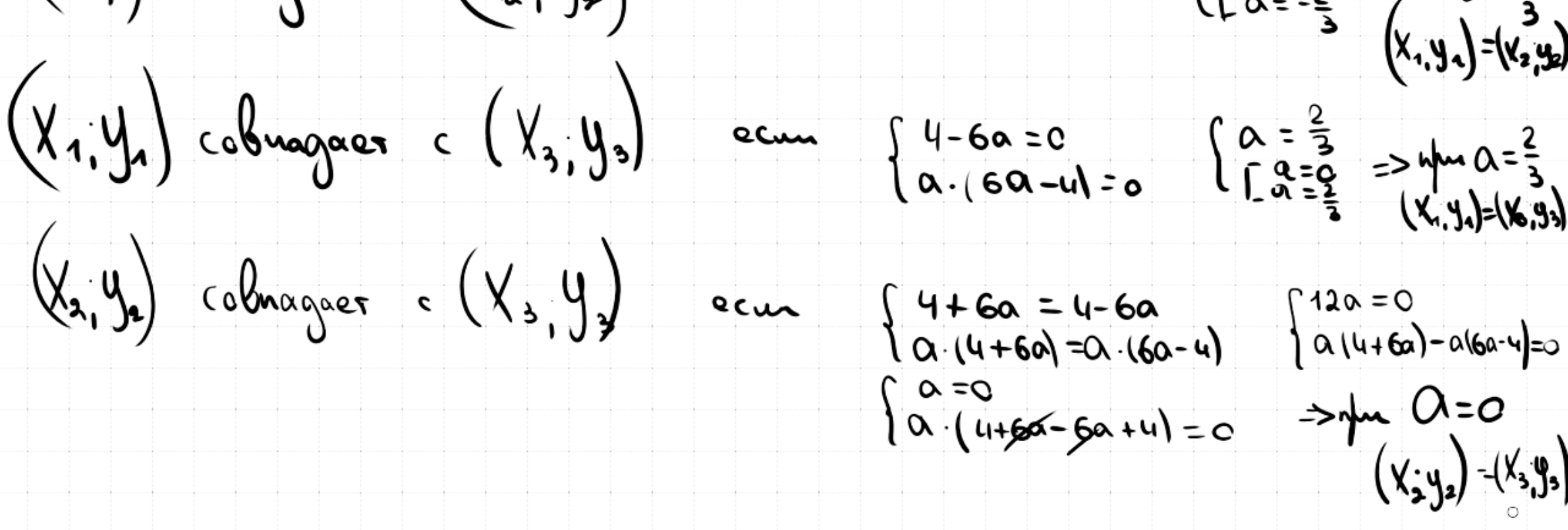
18.49 - 18.53 Легко решить графически. Система без корней, модулей и тд
18.49



18.50



18.51



18.52




18.53




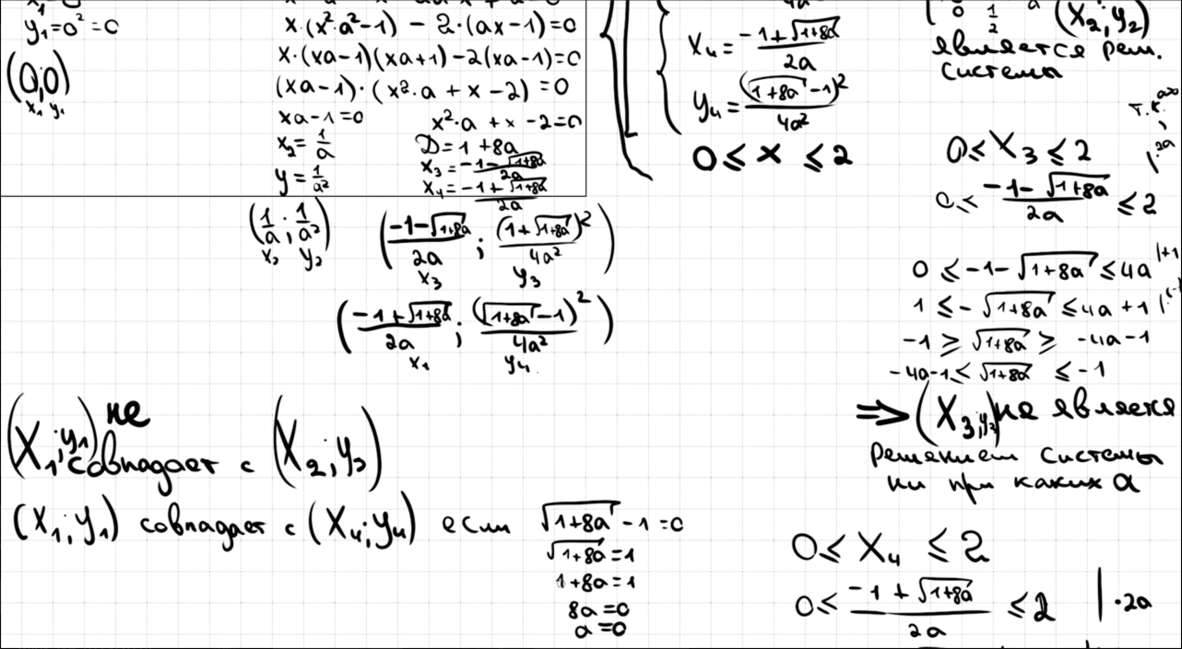
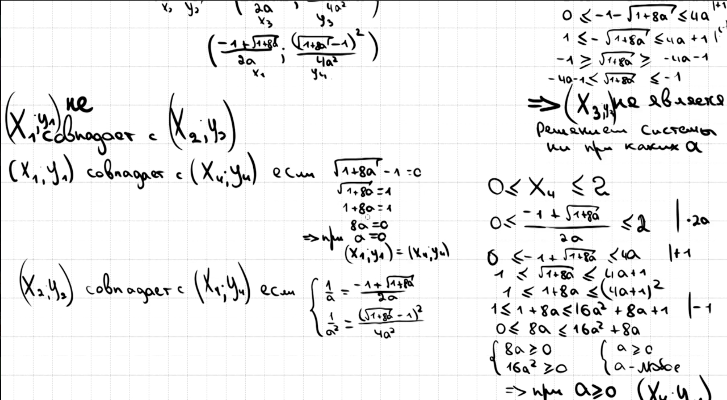
18.54 - 18.65 Легко решить графически. Система с корнями
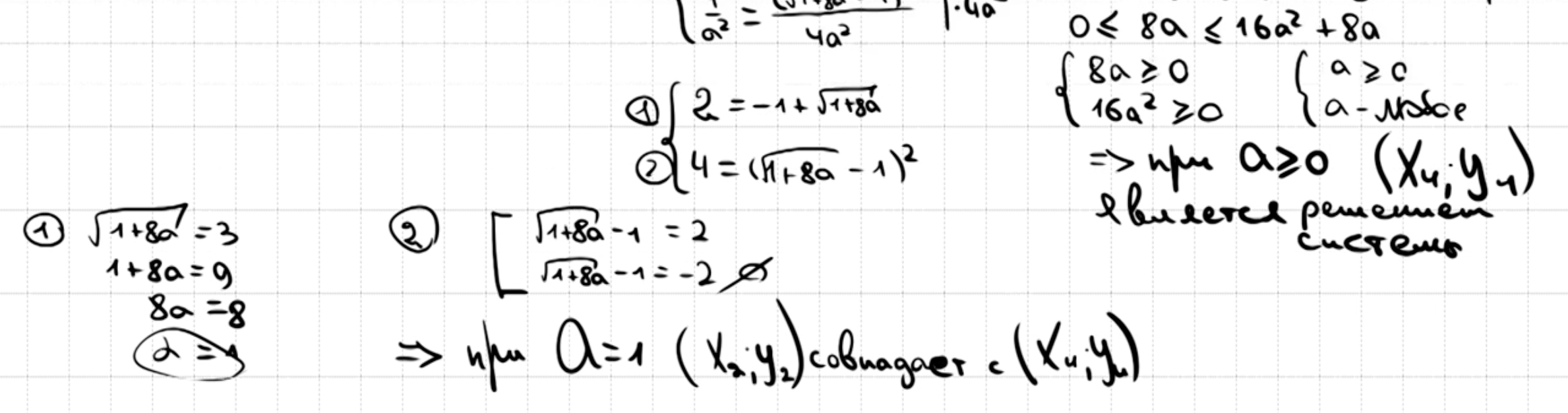
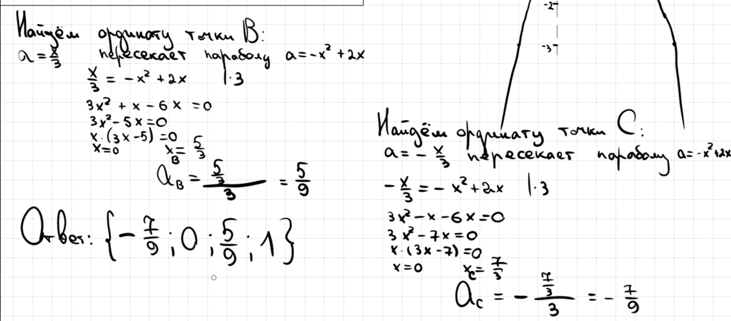
18.54



18.55



18.56



18.57



18.58



18.59




18.60



18.61



18.62



18.63



18.64



18.65





18.66 - 18.80 Легко решить графически. Система с модулями
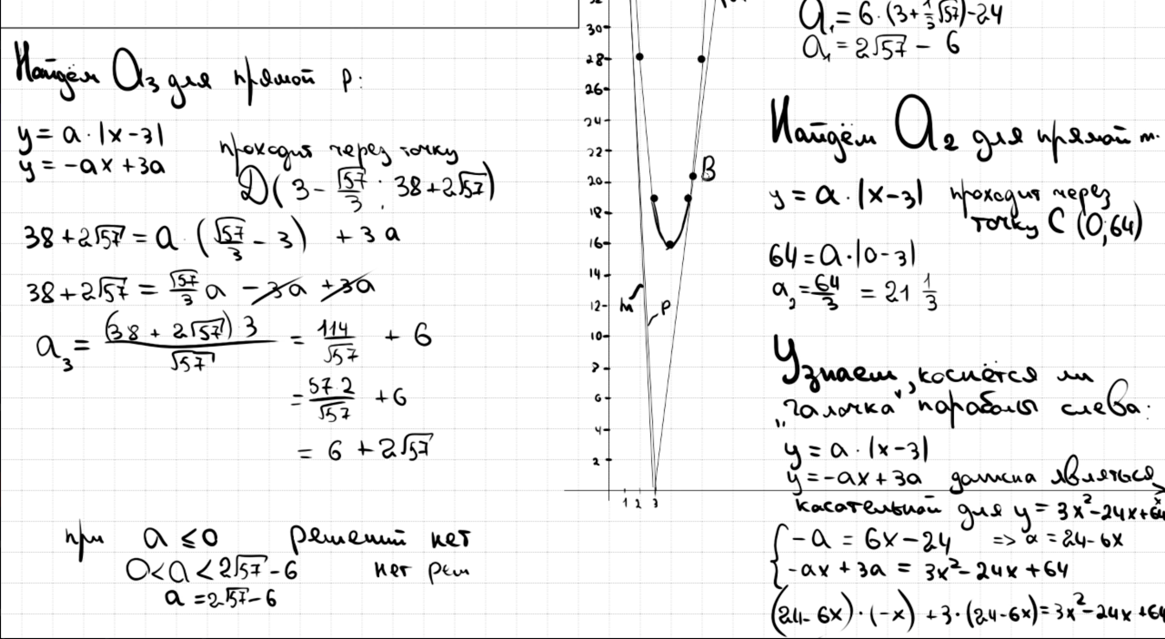
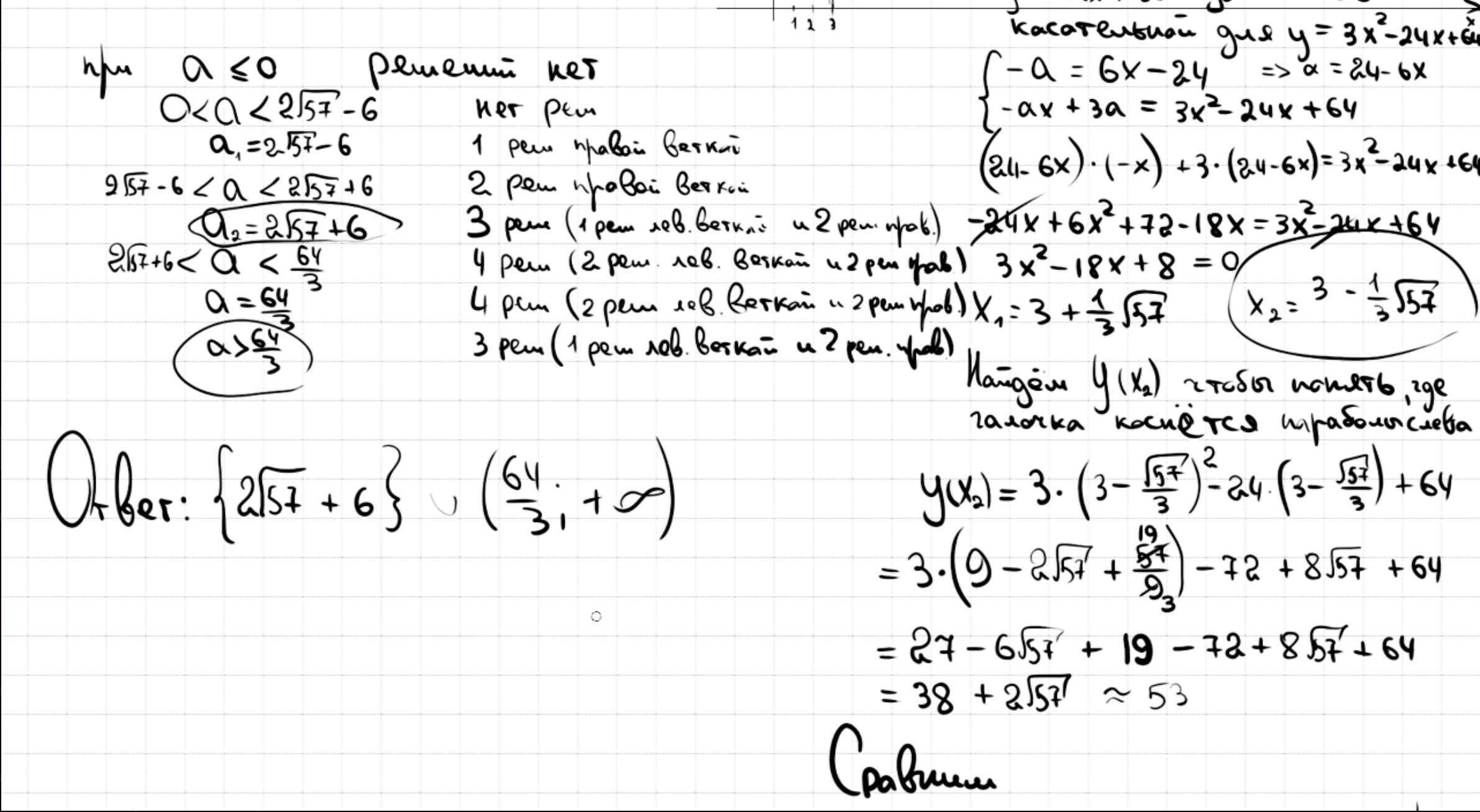
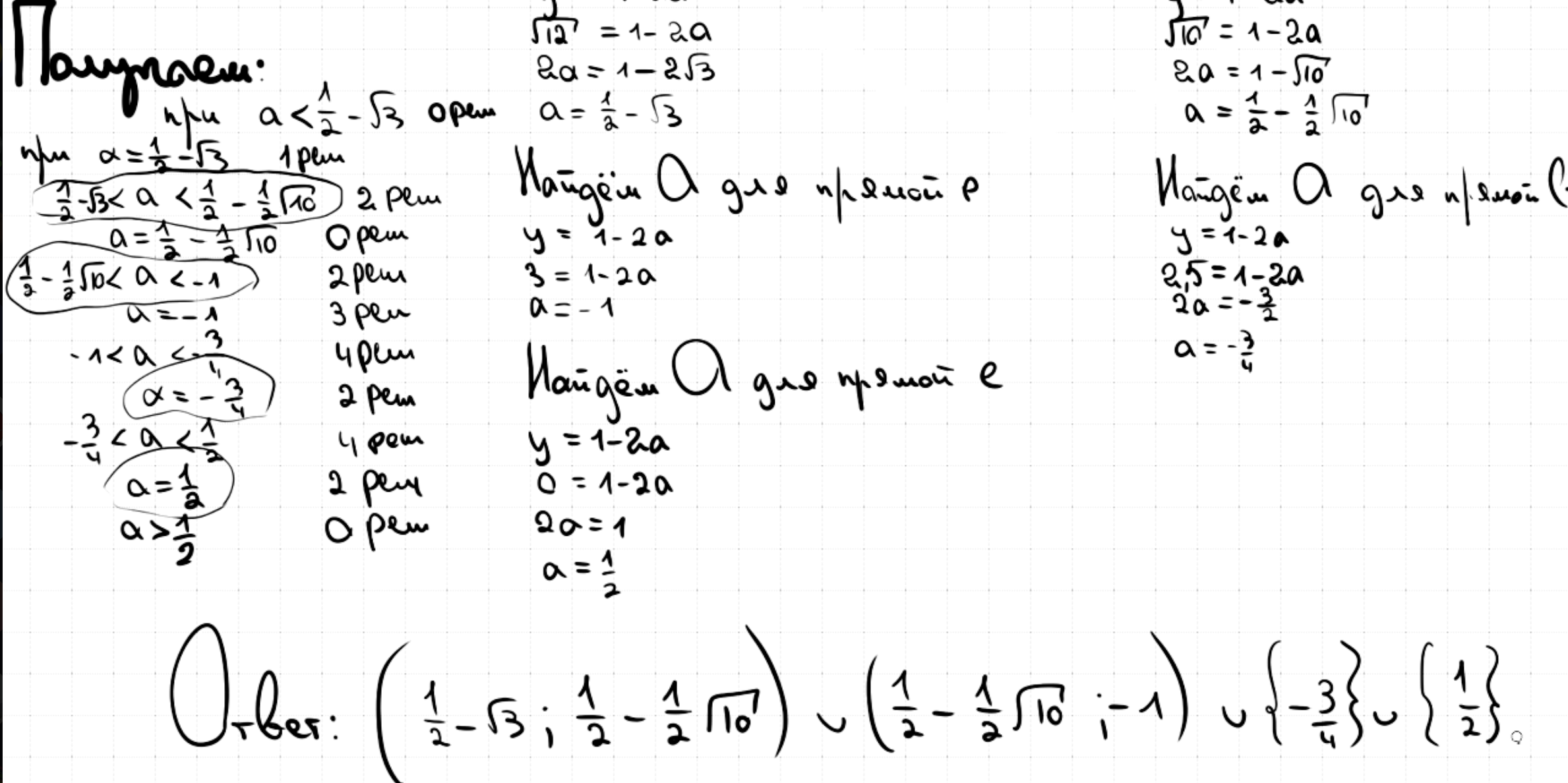
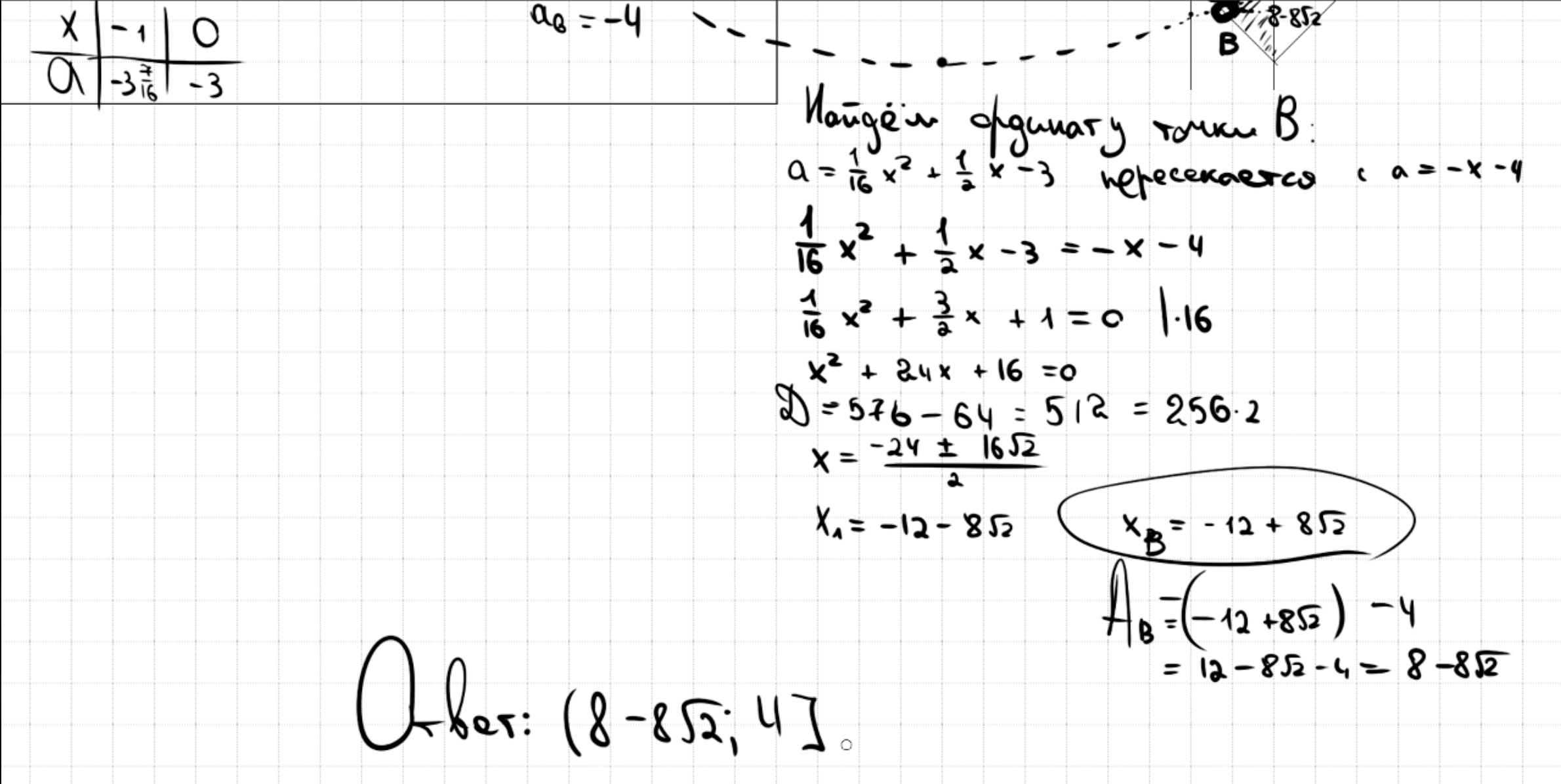
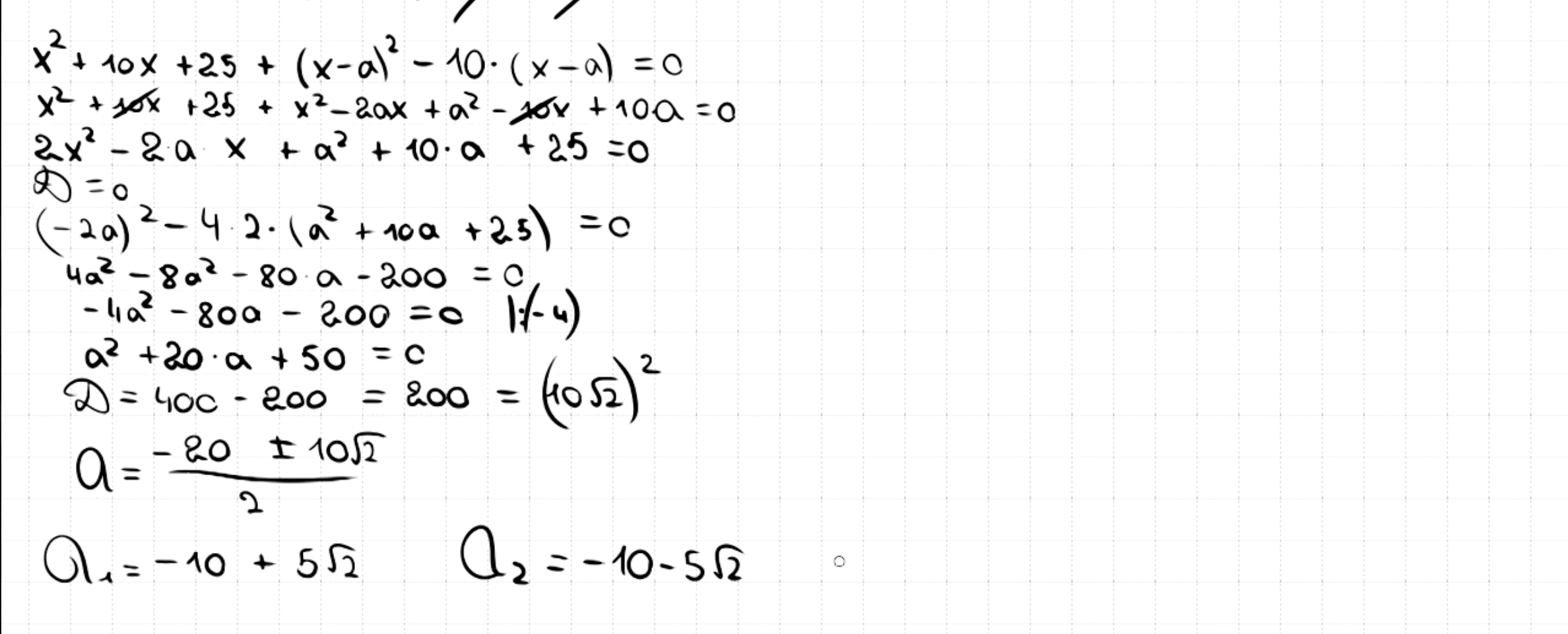
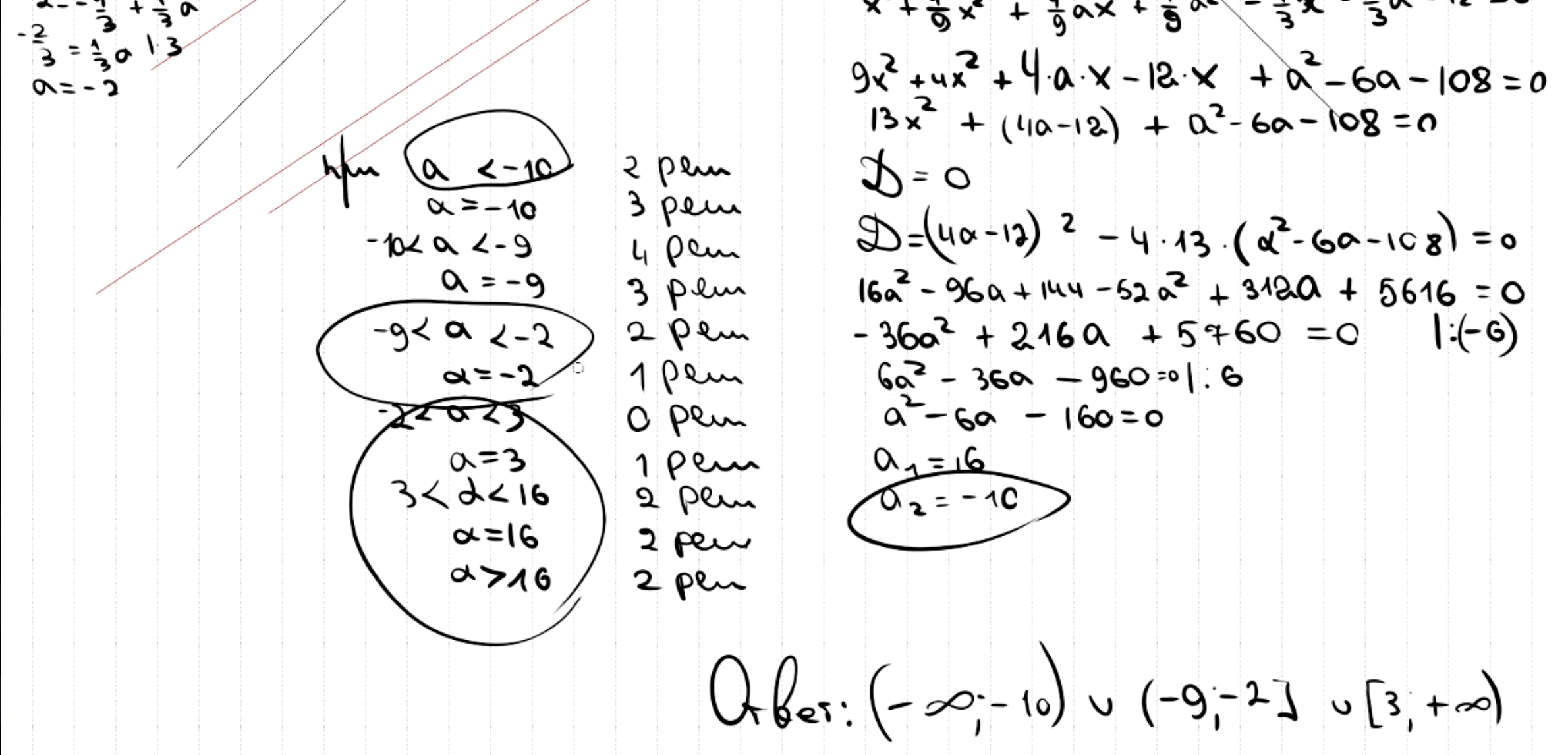
18.66



18.67



18.68




18.69



18.70



18.71




18.72





18.73




18.74




18.75





18.76



18.77





18.78




18.79





18.80





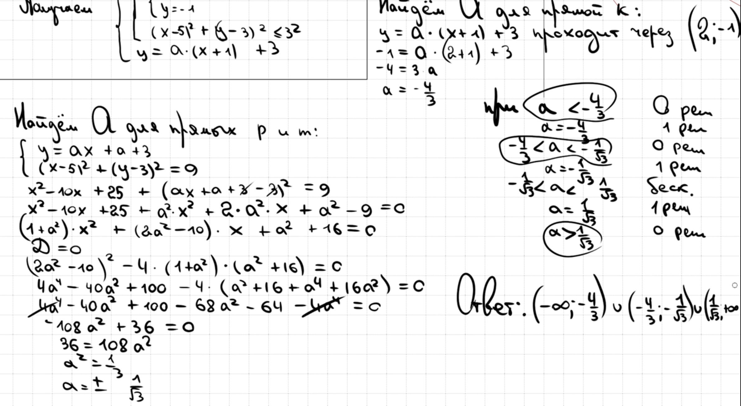
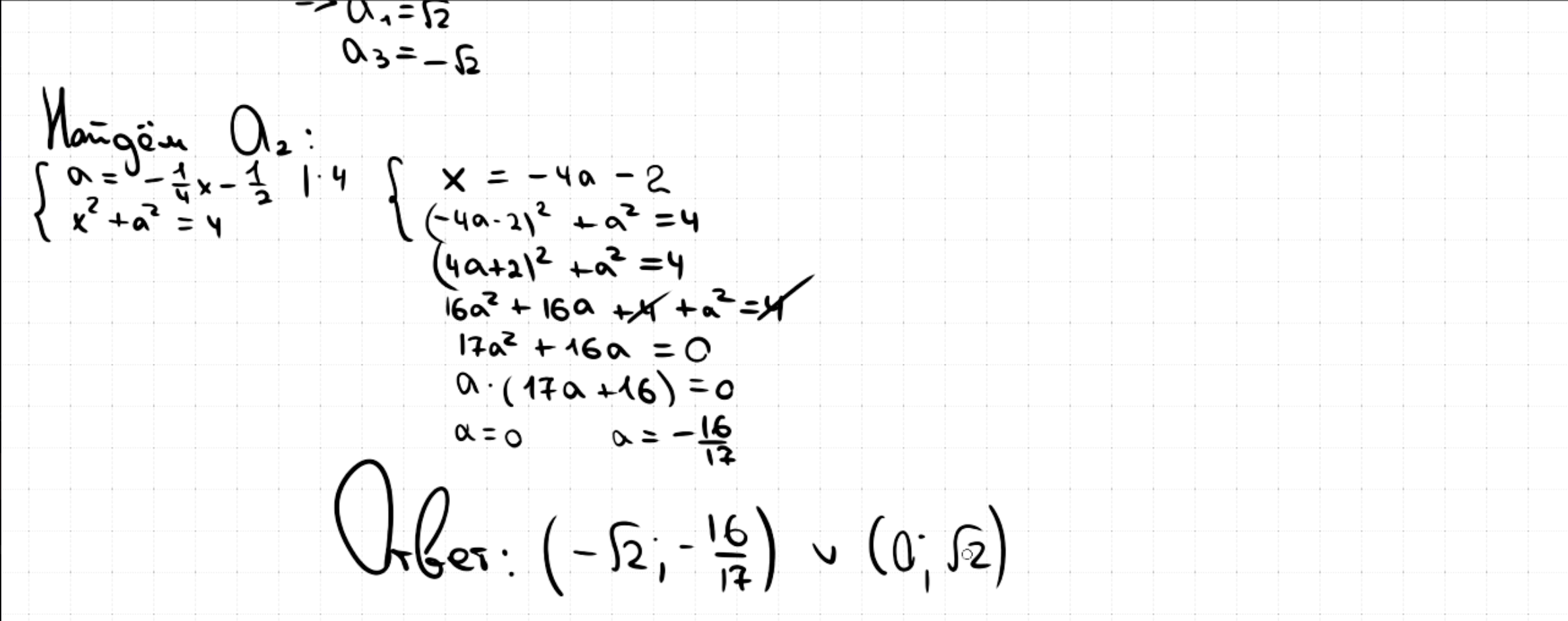
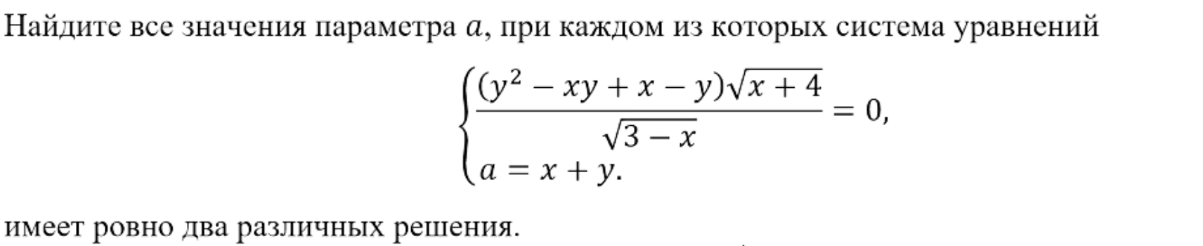
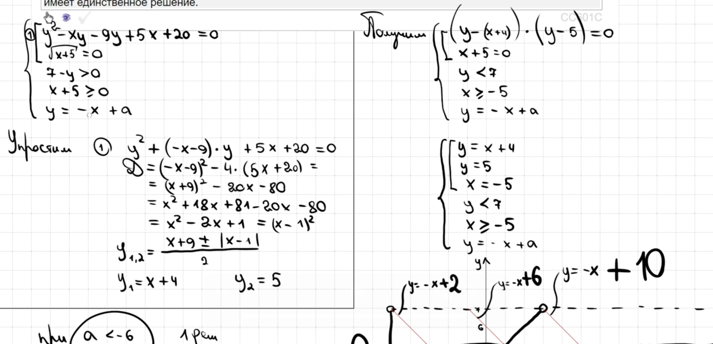
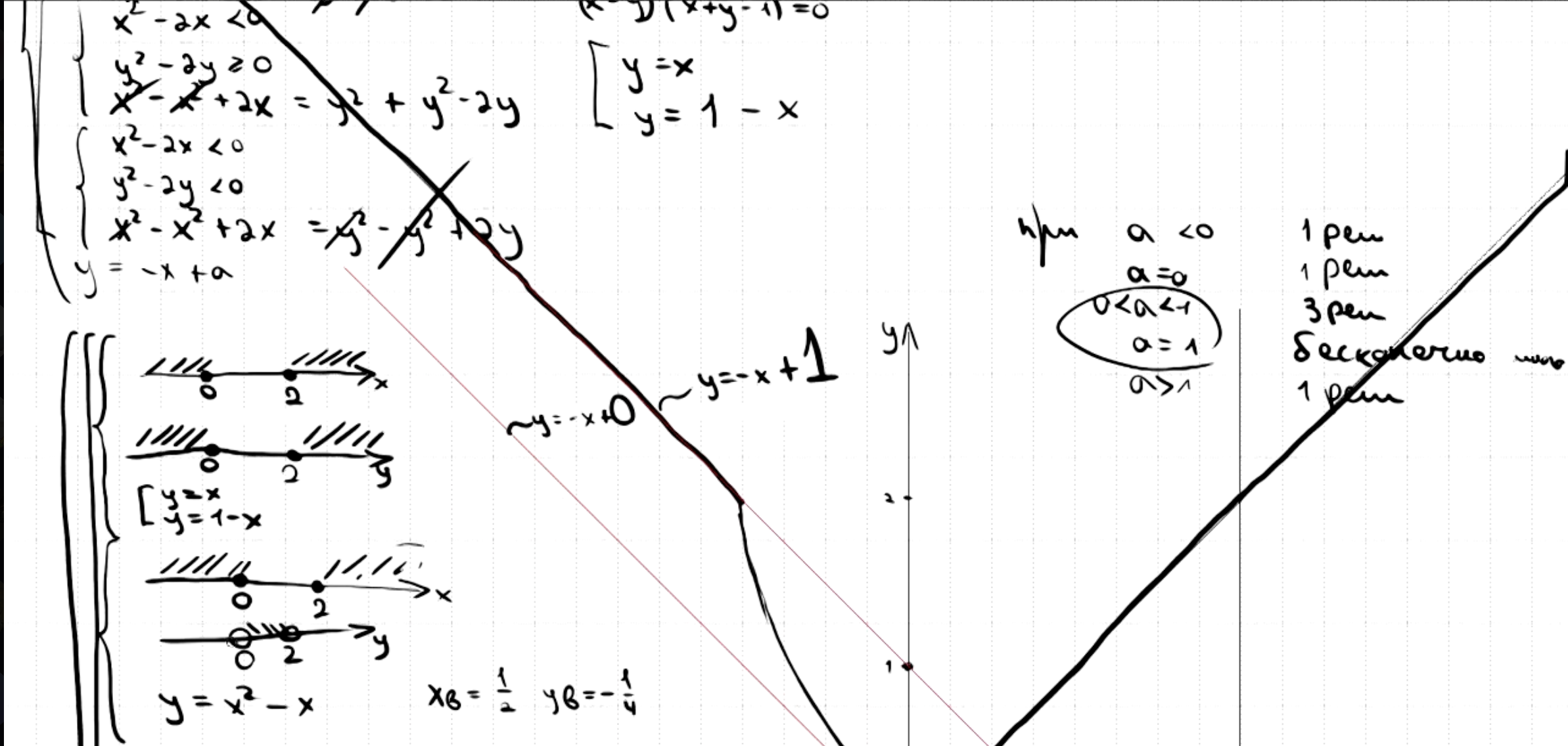
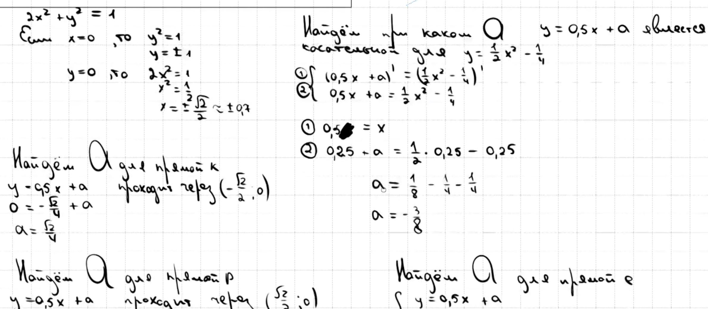
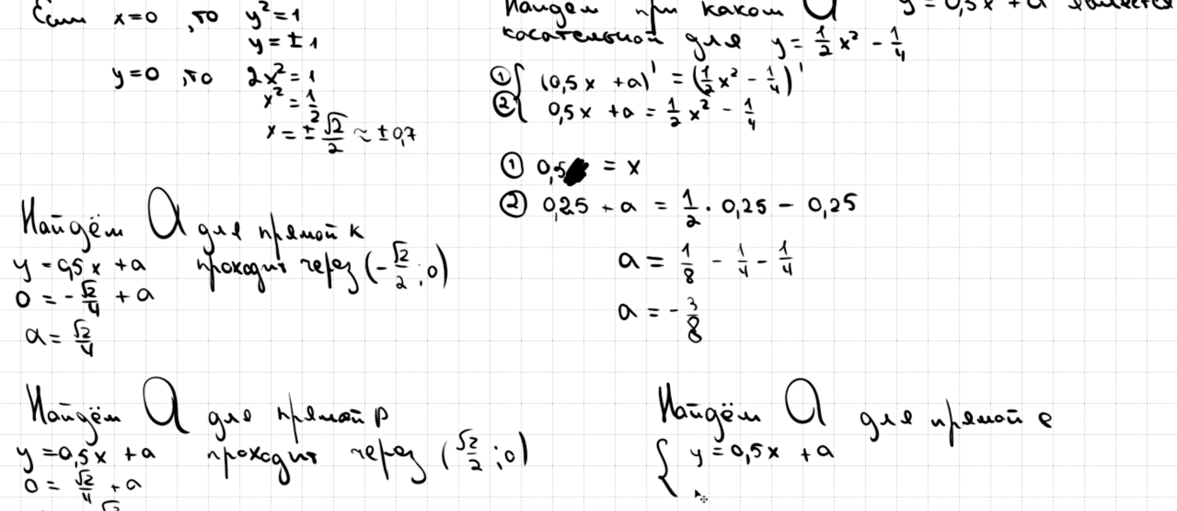
18.81 - 18.101 Легко решить графически. Система с корнями и модулями
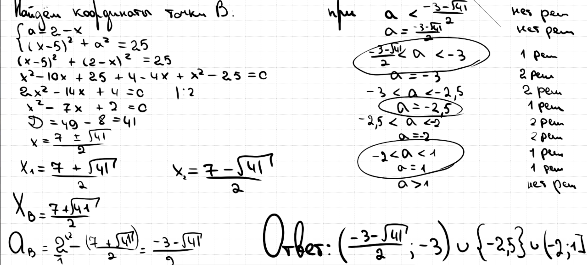
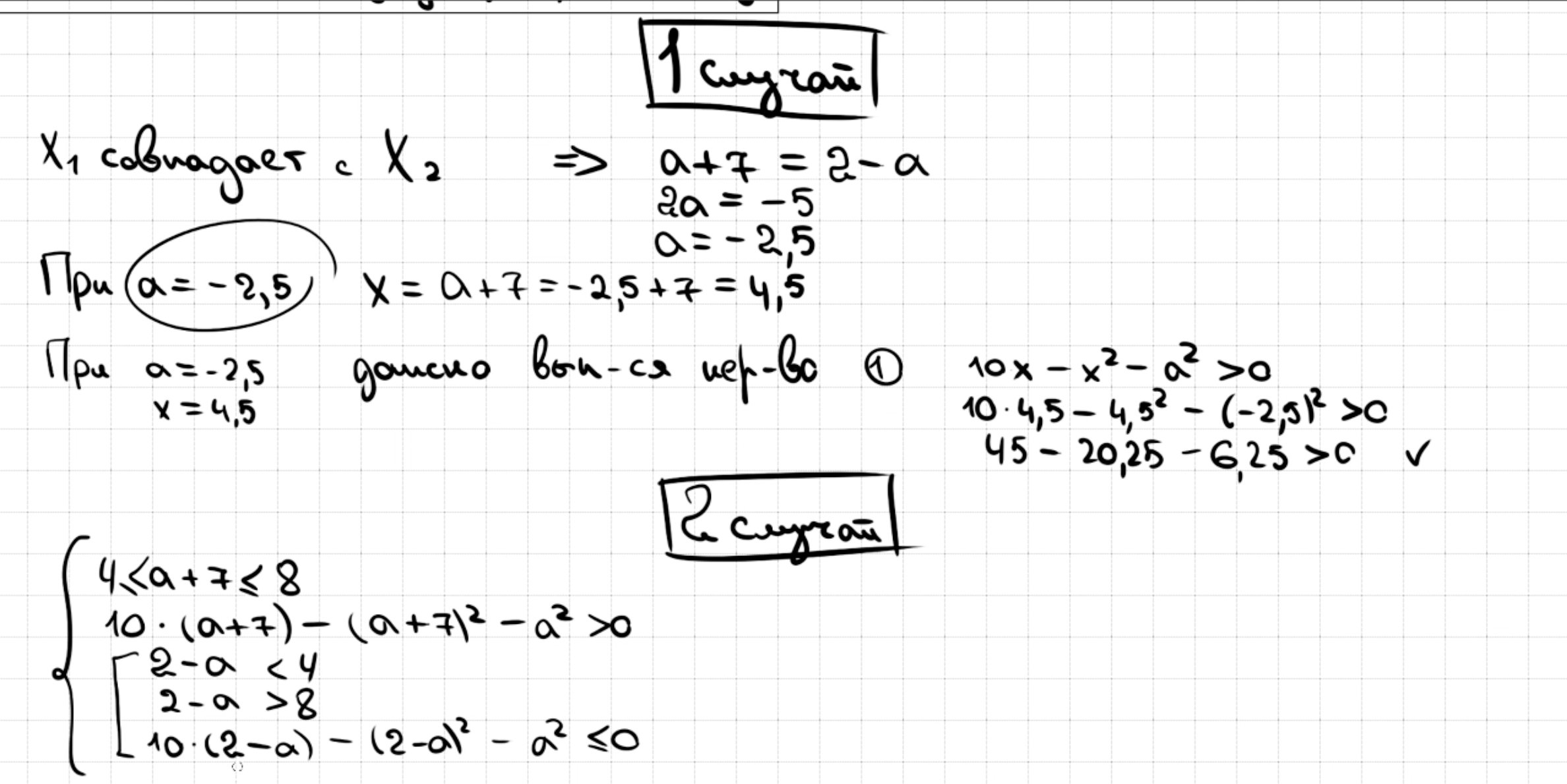
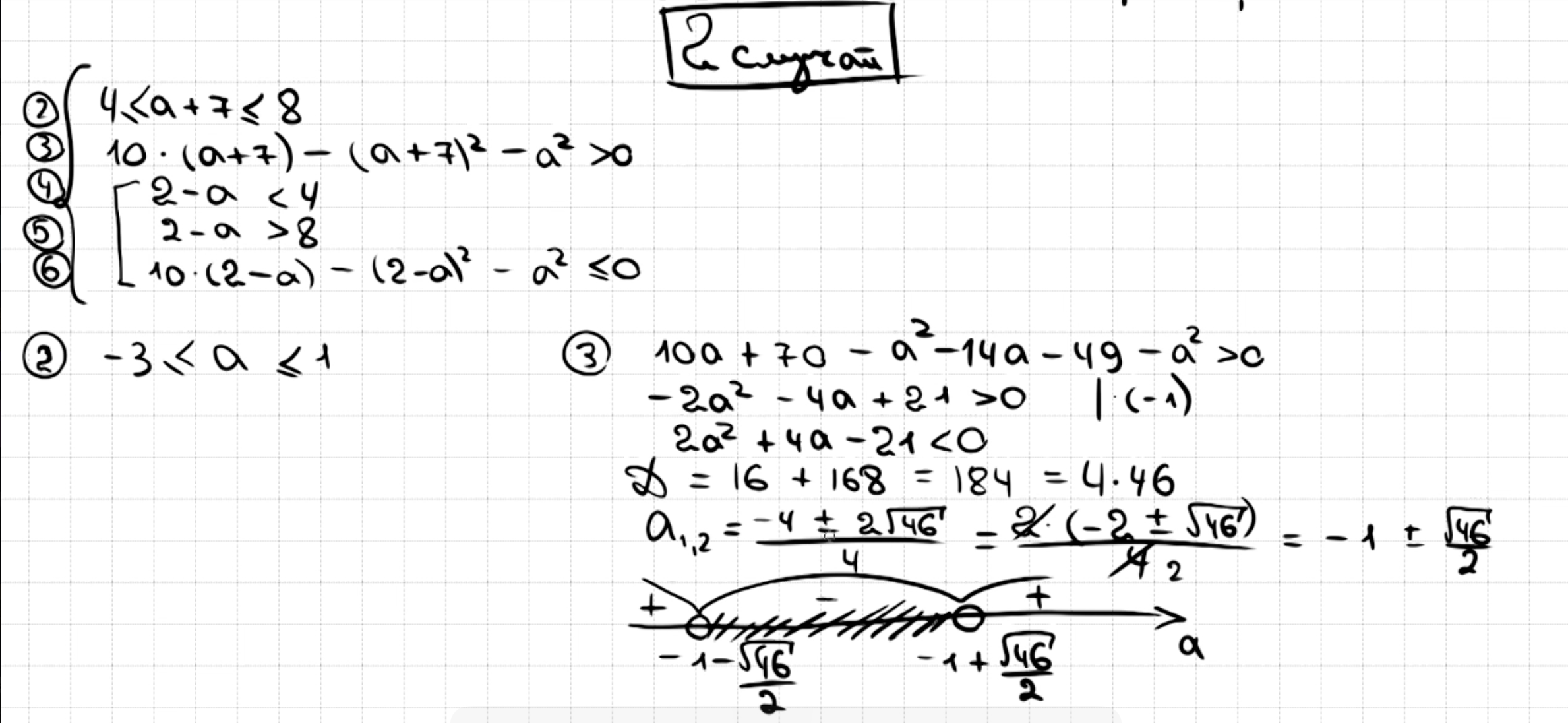
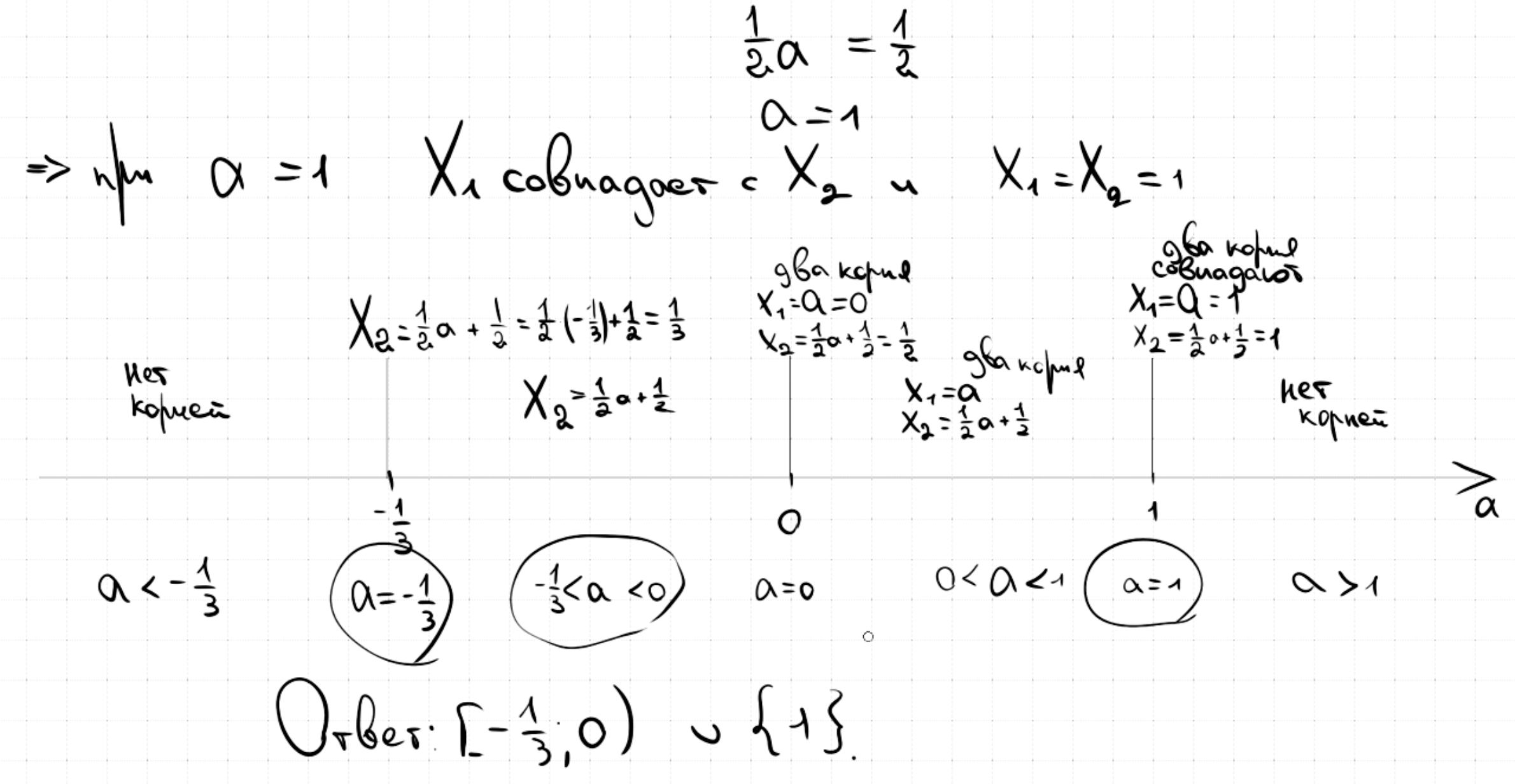
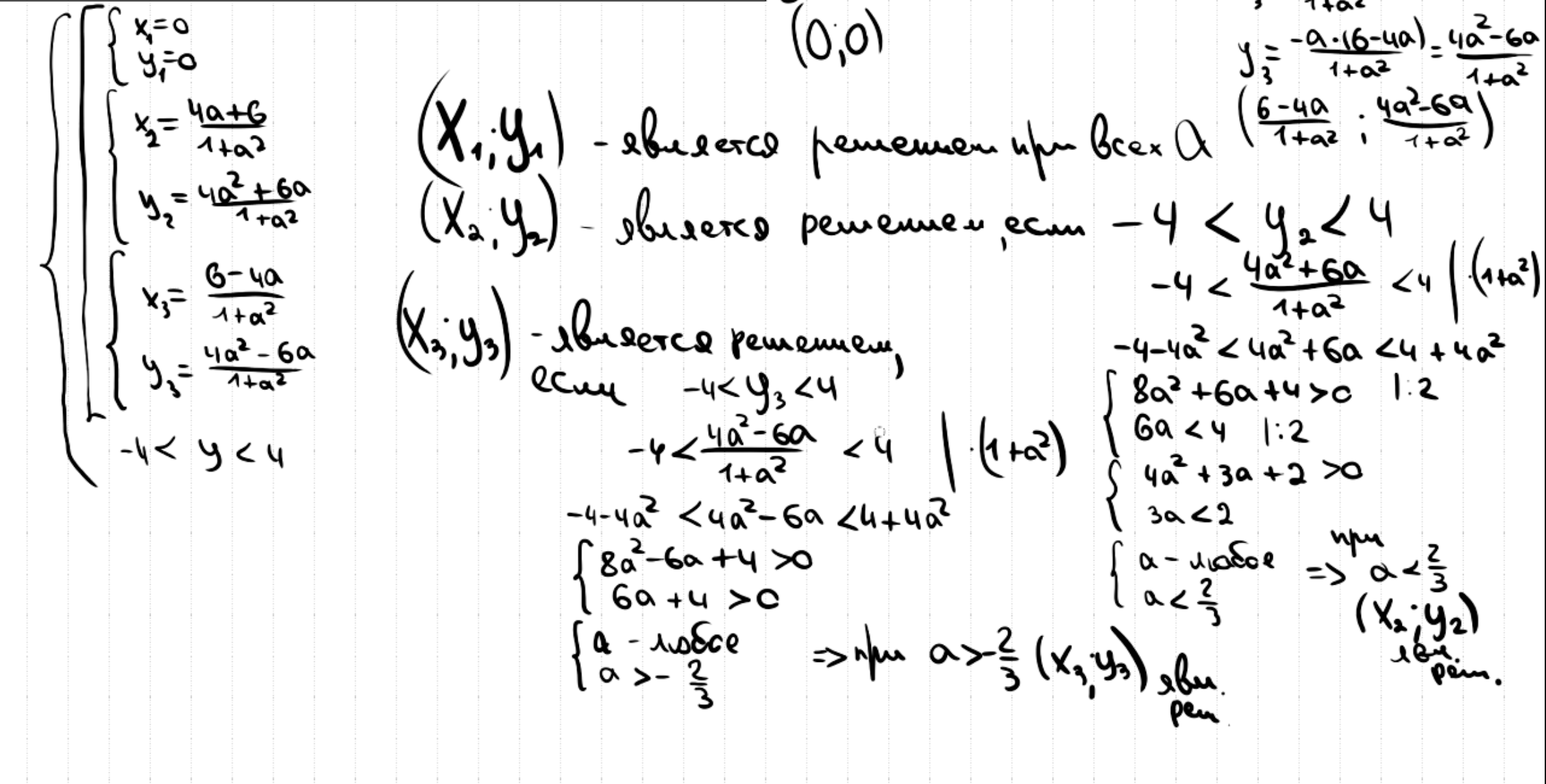
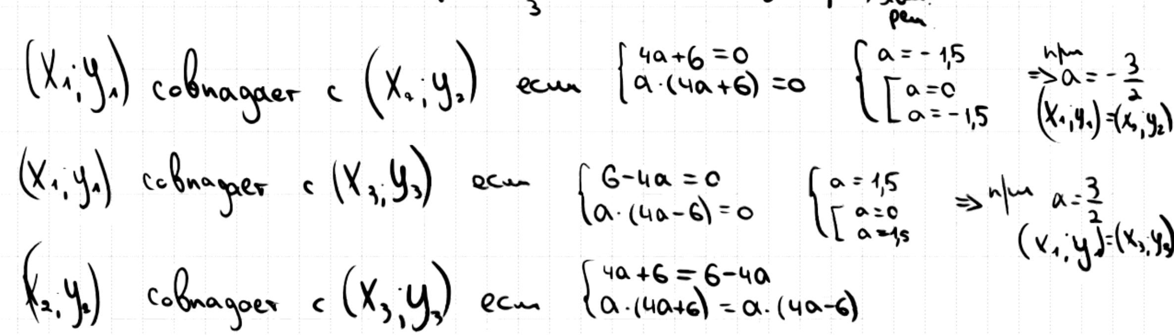
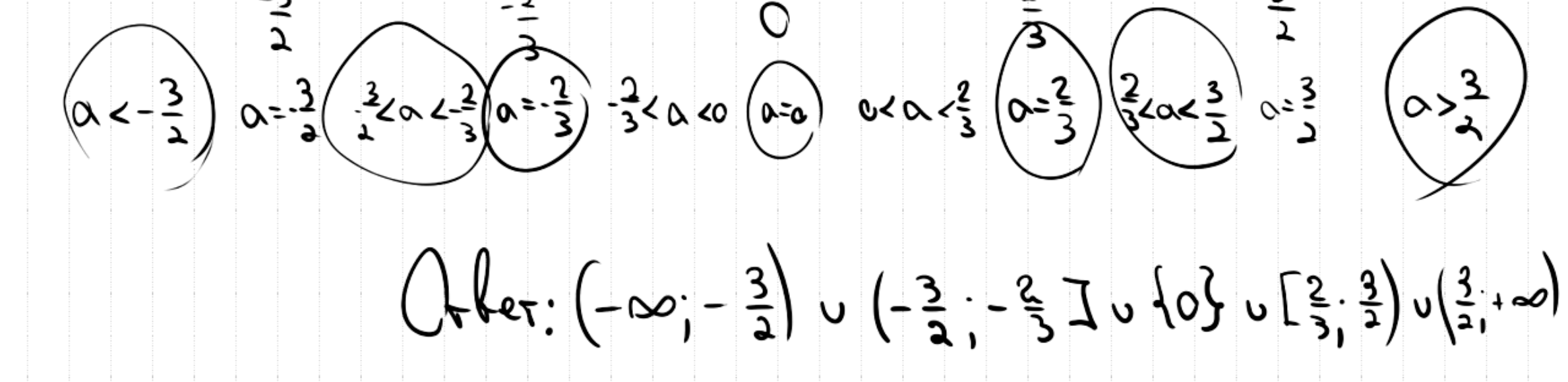
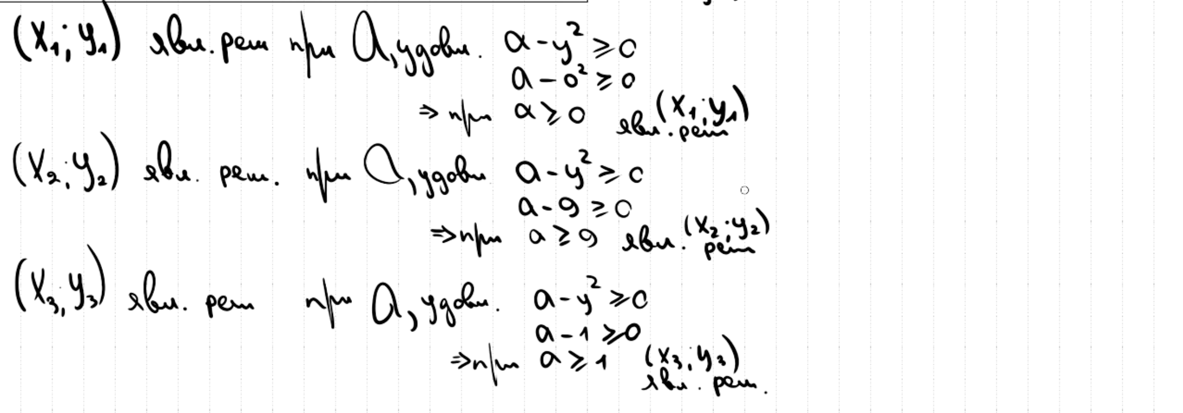
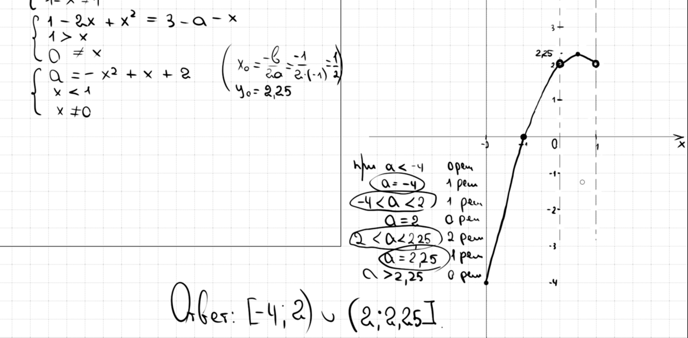
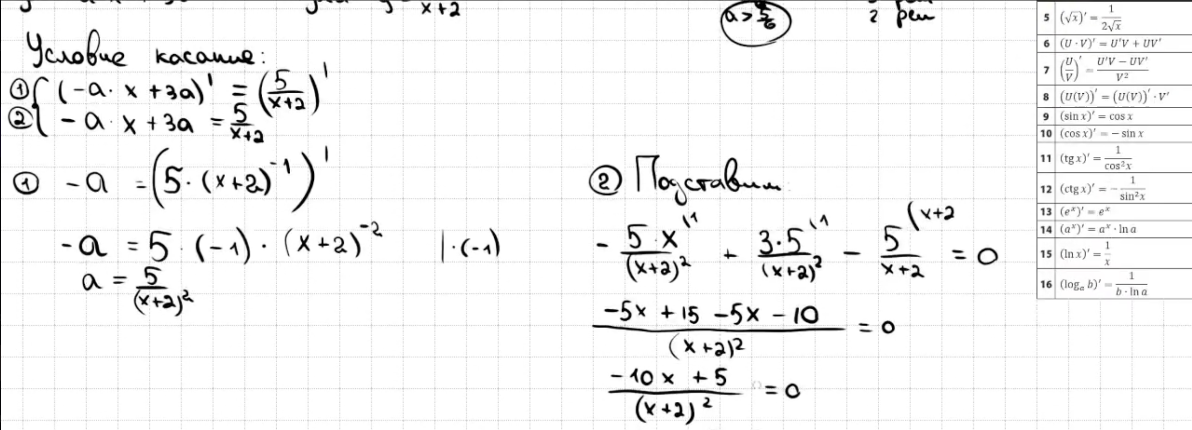
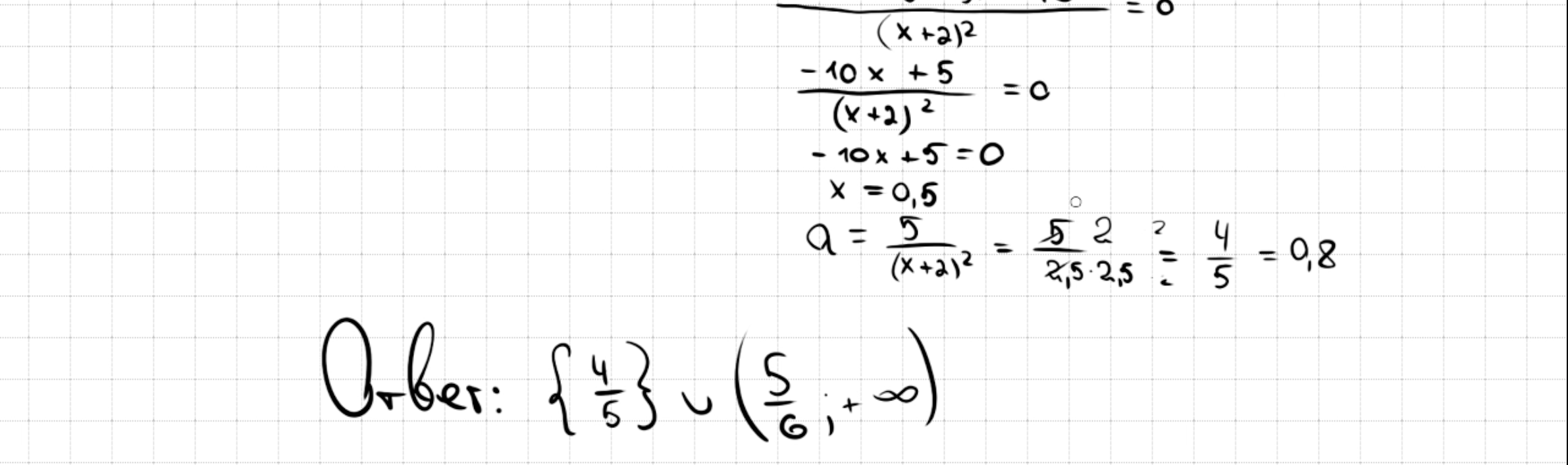
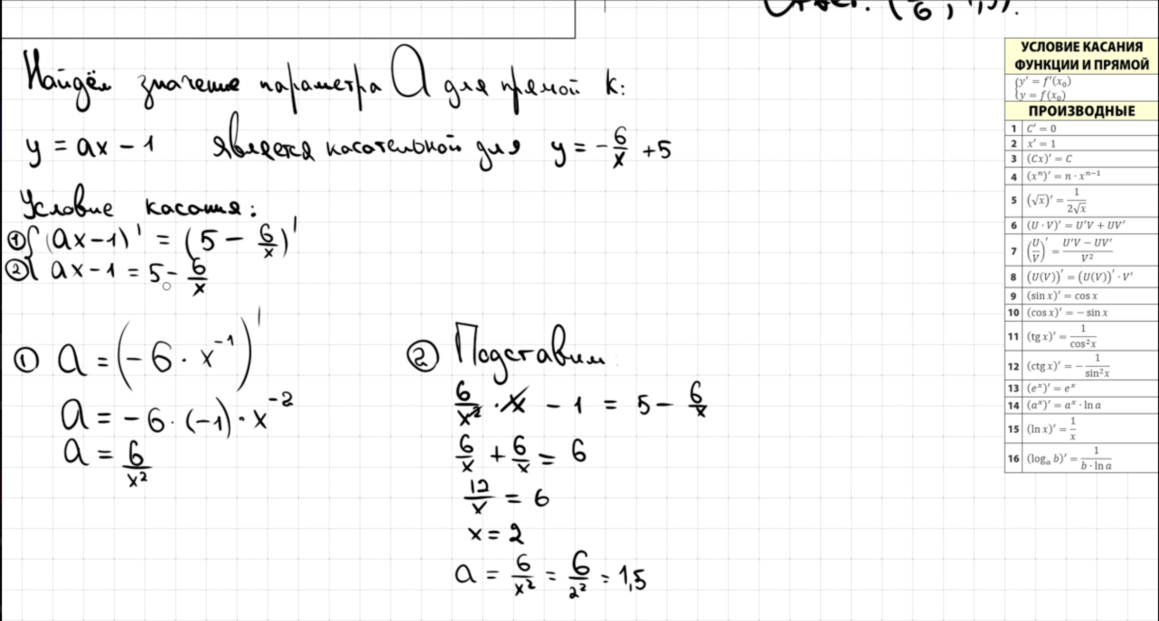
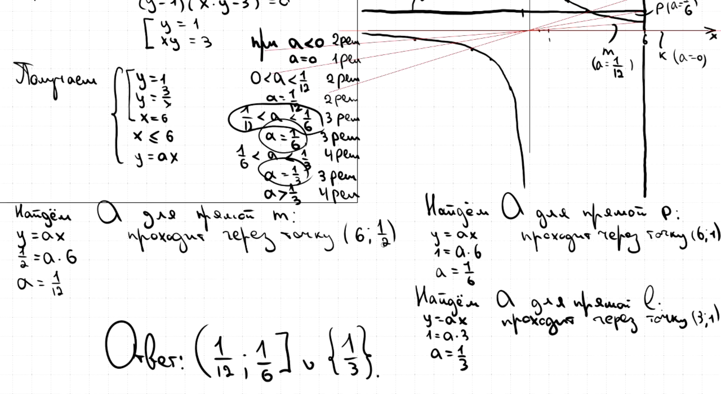
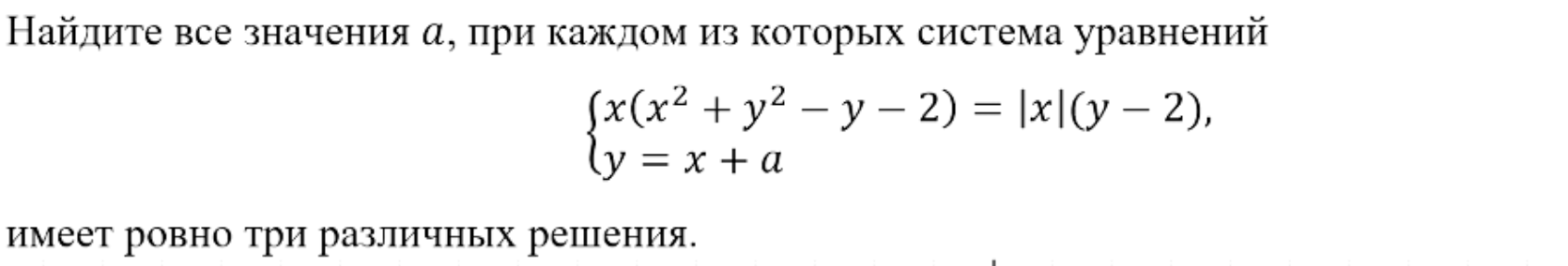
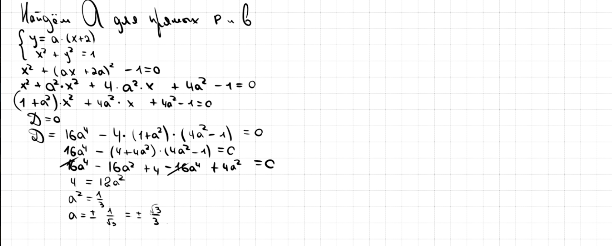
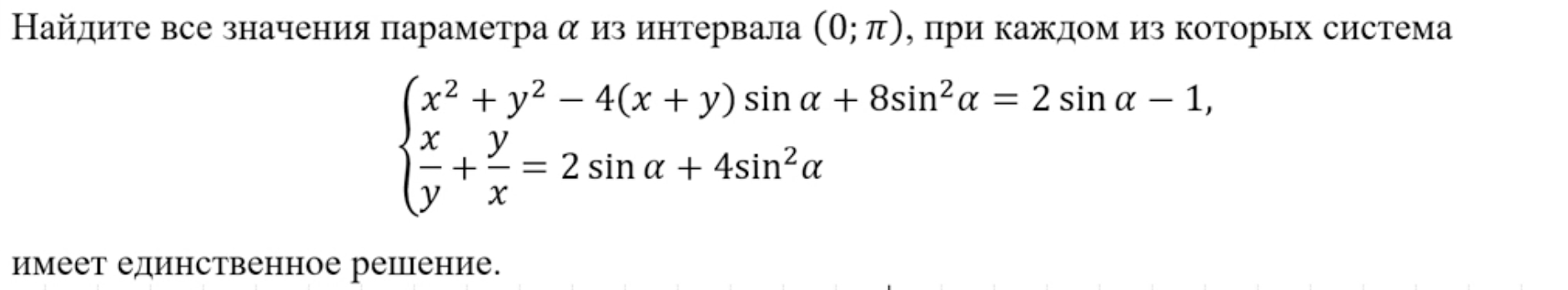
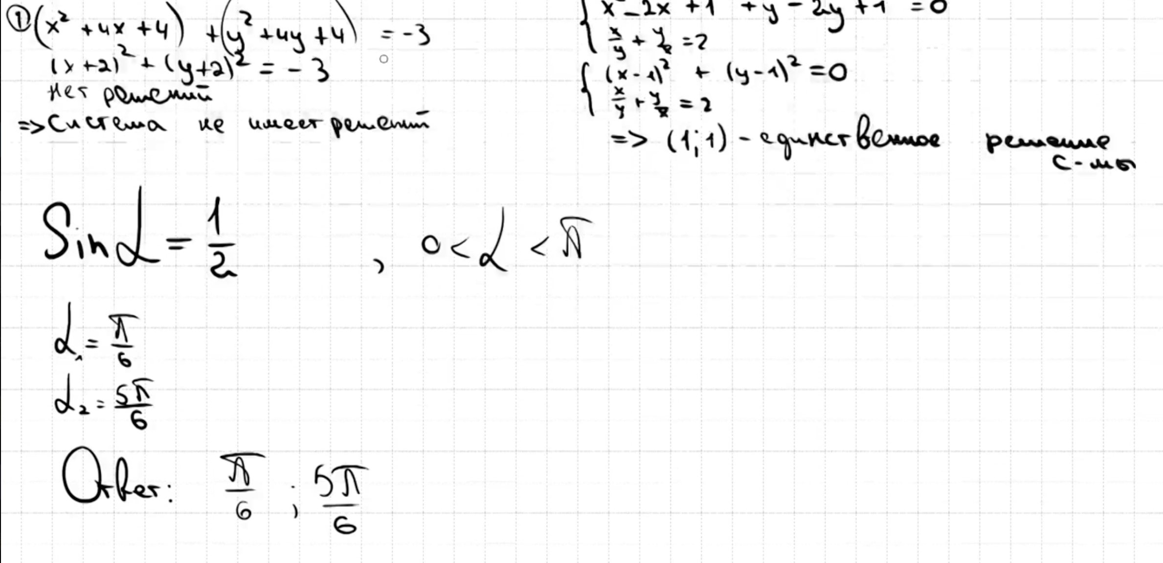
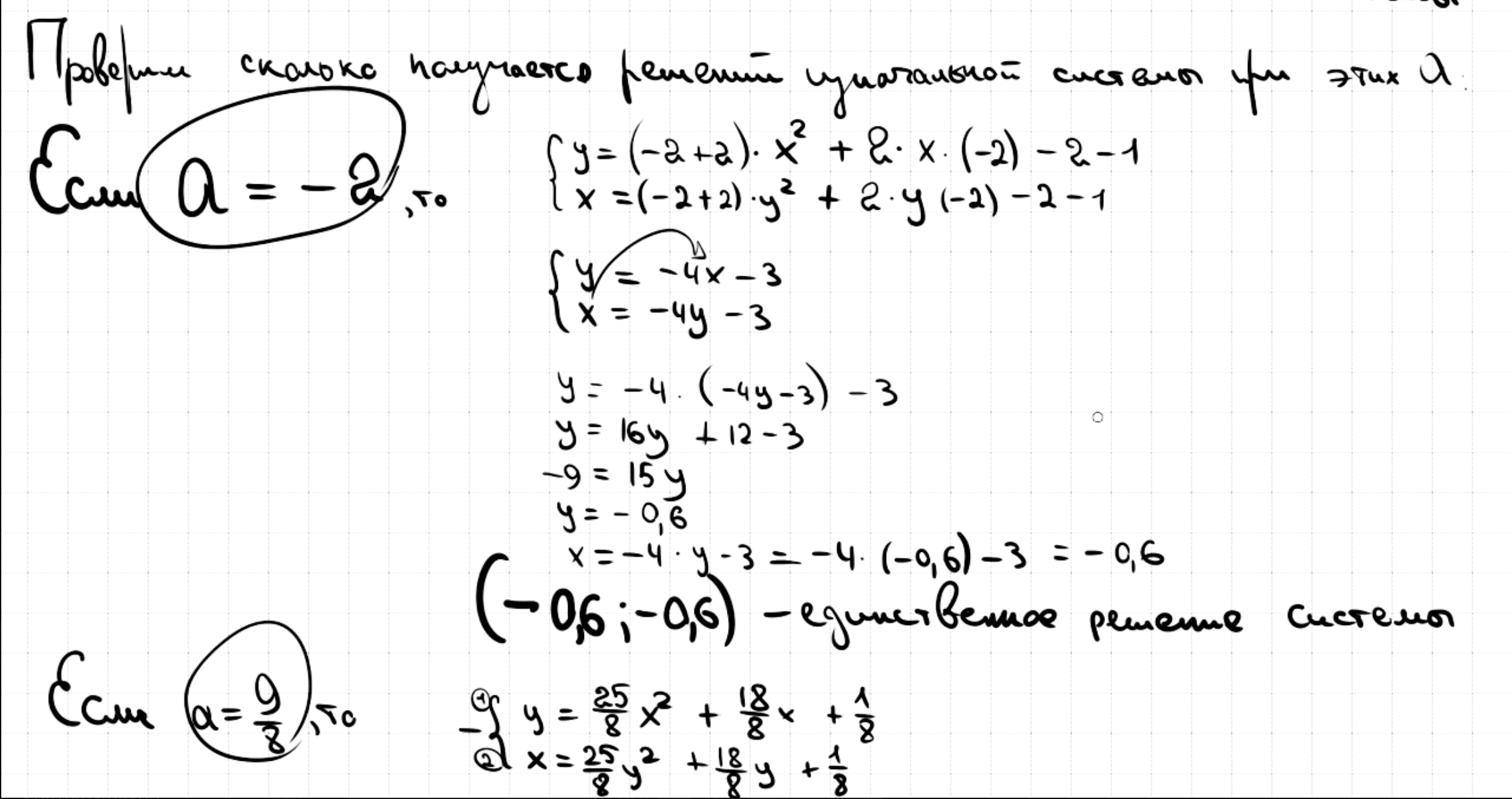
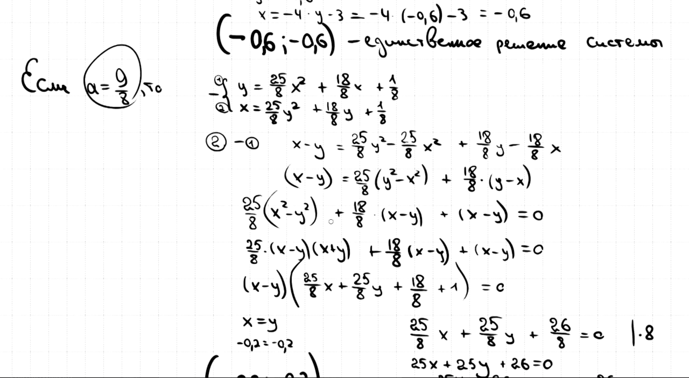
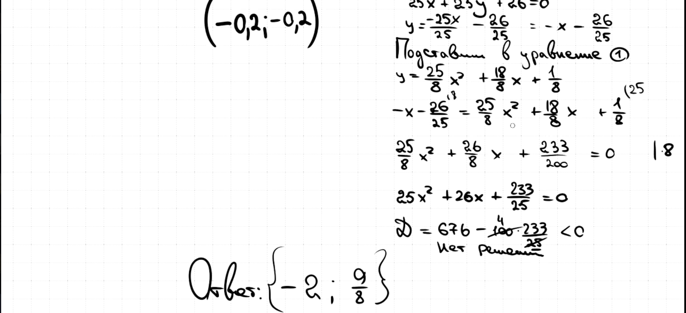
18.81



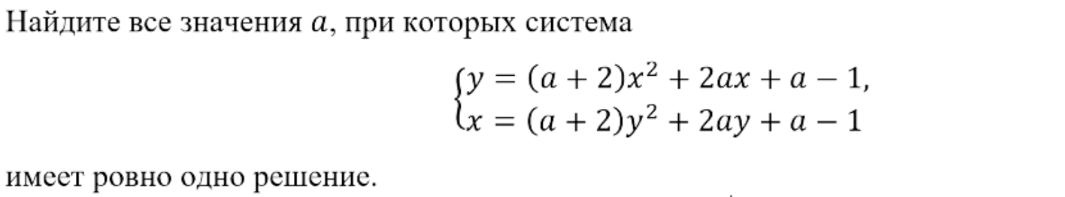
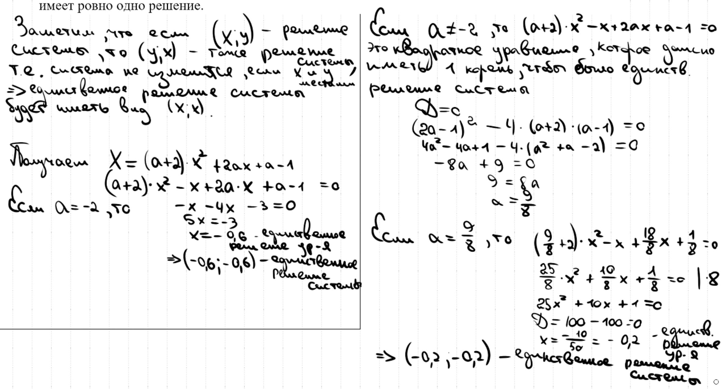
18.82




18.83






18.84



18.85




18.86



18.87




18.88




18.89





18.90



18.91



18.92



18.93




18.94




18.95



18.96



18.97



18.98








18.99



18.100




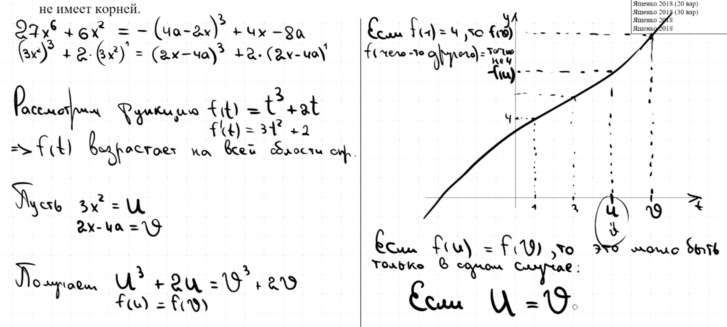
18.101



