17 задание
17.1


17.2

Первый способ решения пункта б):

Второй способ решения пункта б):

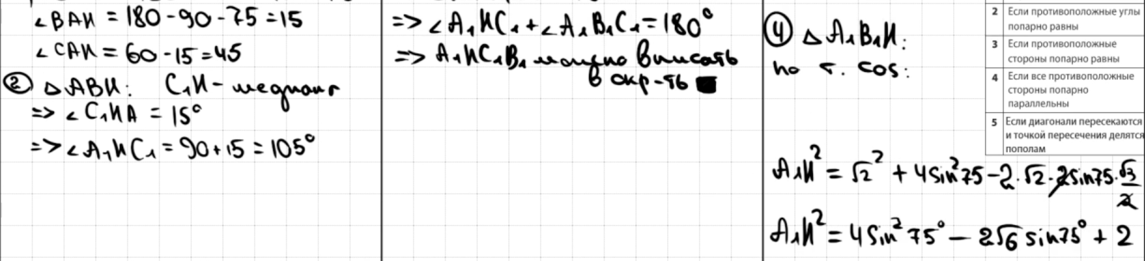
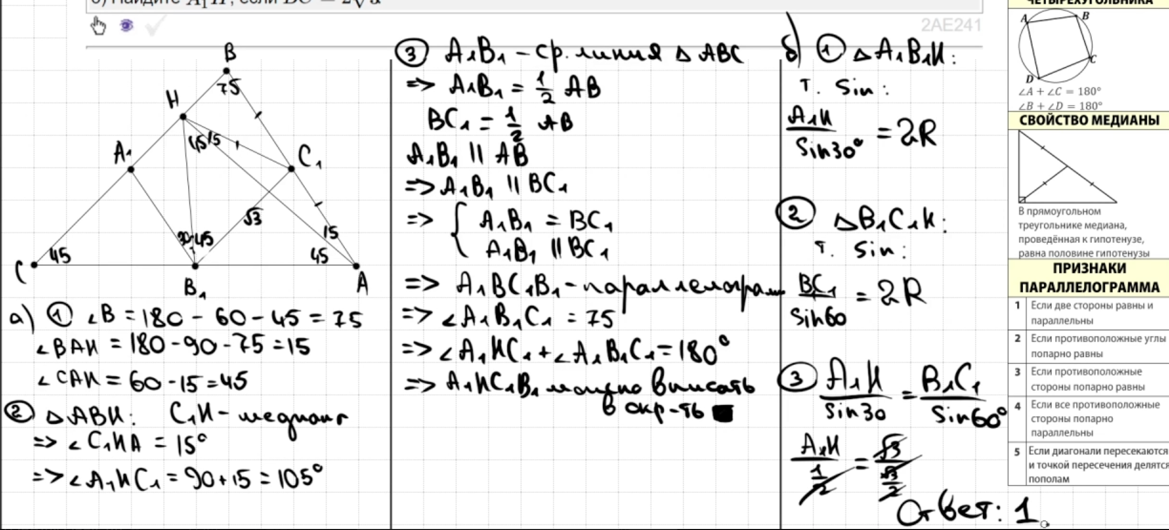
Третий способ решения:

17.3

Первый способ решения пункта б):

Второй способ решения пункта б):

17.4

Первый способ решения пункта а):

Второй способ решения пункта а):

Первый способ решения пункта б):

Второй способ решения пункта б):

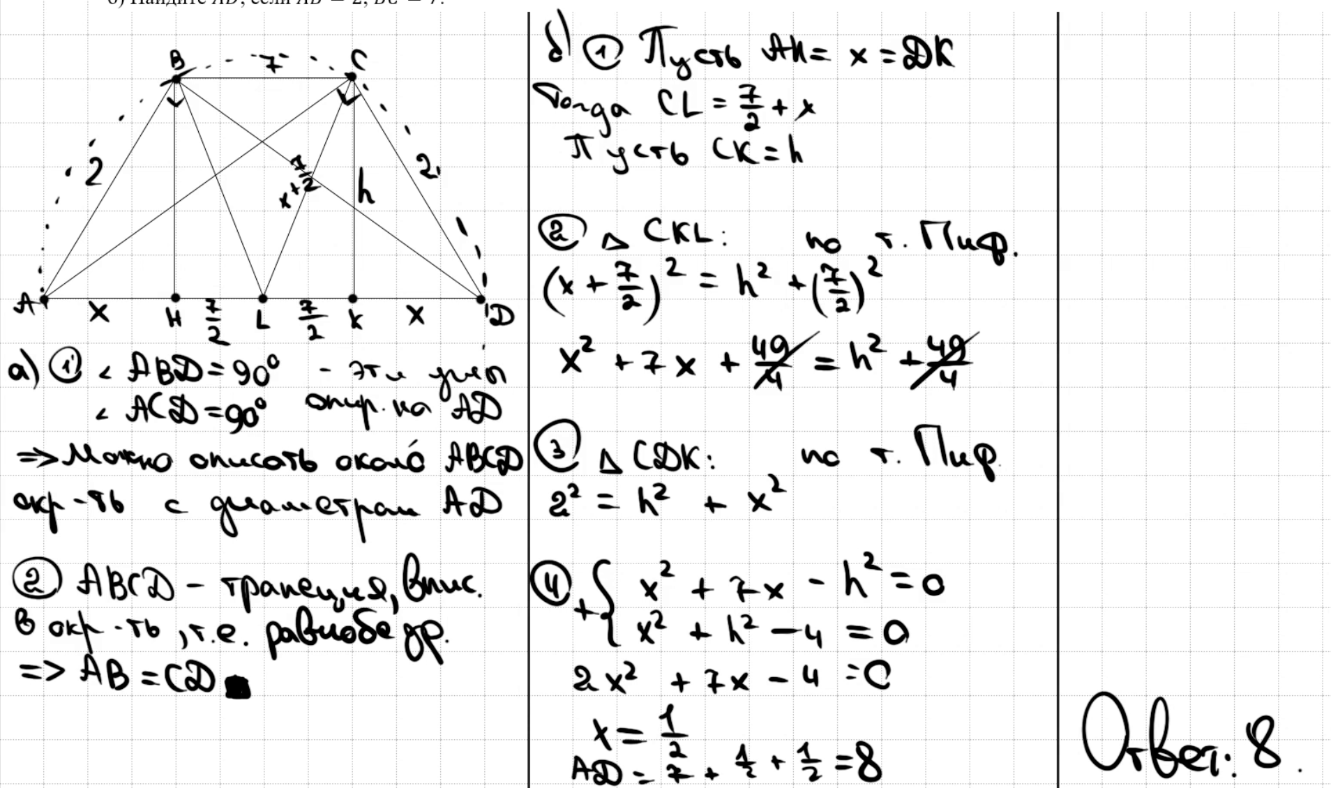
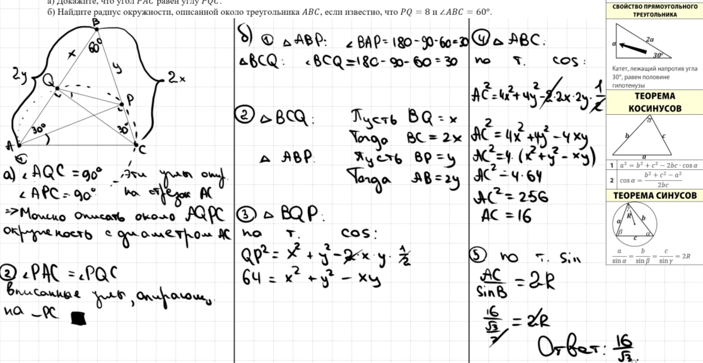
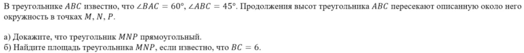
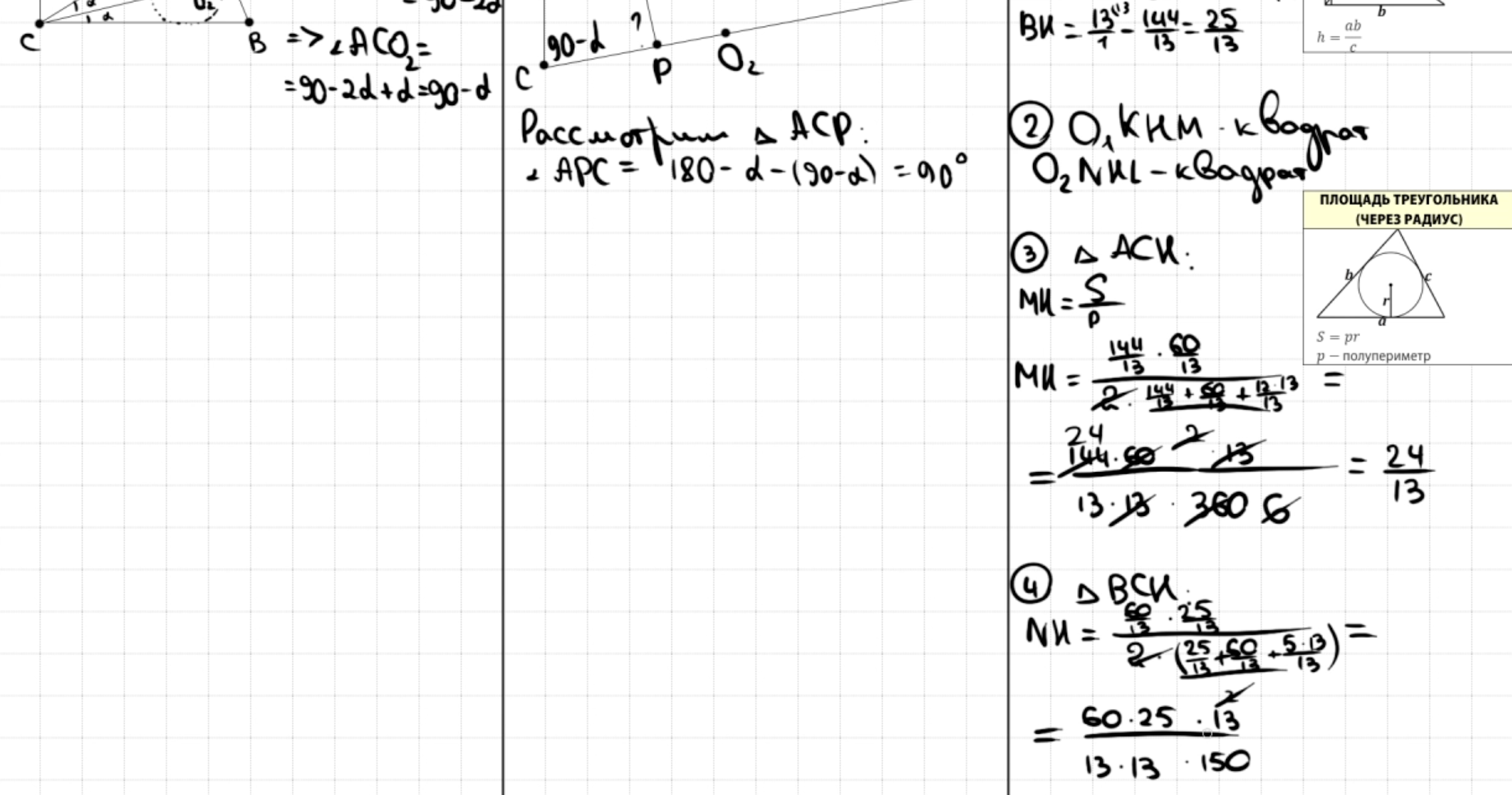
17.5


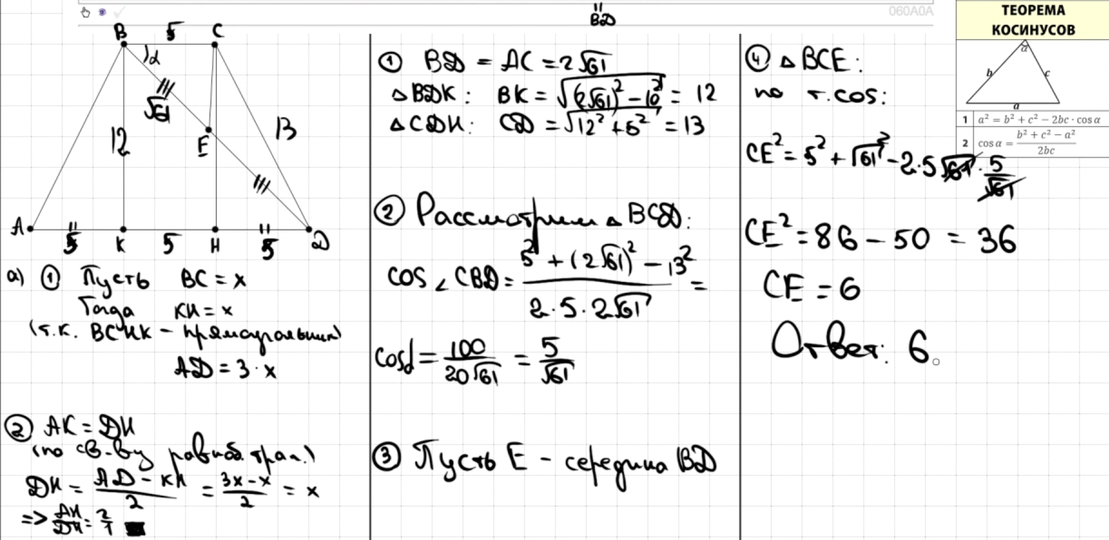
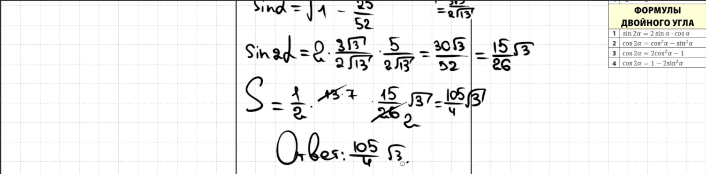
Второй способ решения пункта б):

Третий способ решения пункта б):

Четвёртый способ решения пункта б):

17.6

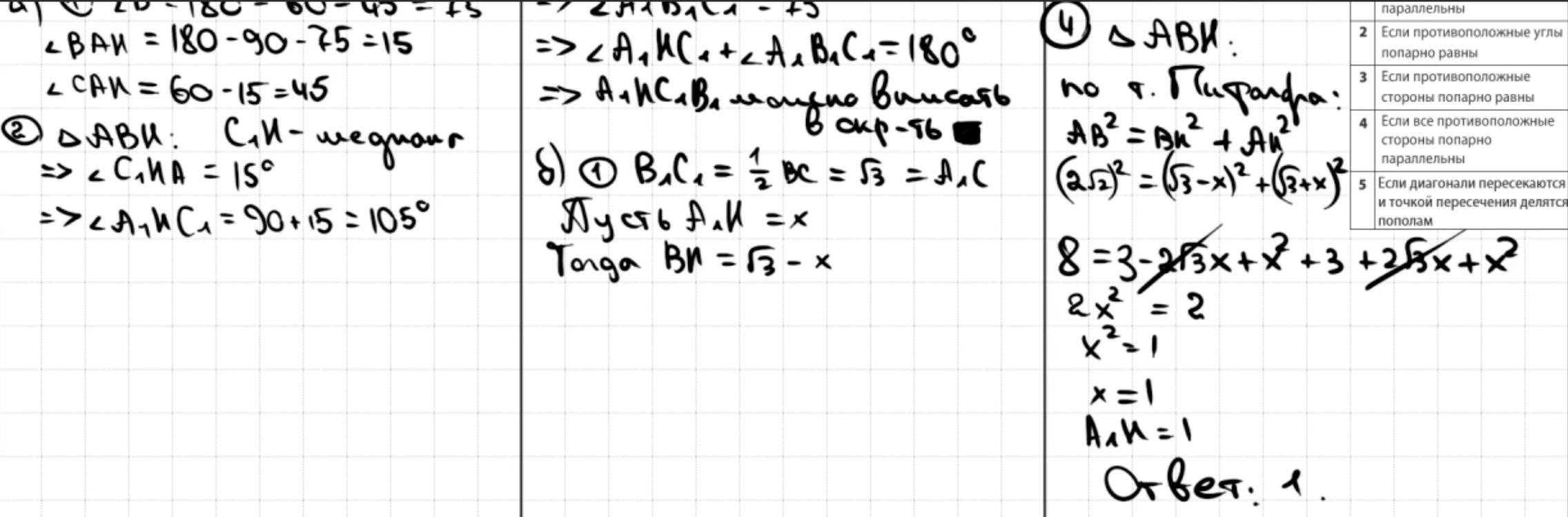
Первый способ решения пункта а):

Второй способ решения пункта а):

Первый способ решения пункта б):

Второй способ решения пункта б):

17.7


17.8


17.9

Первый способ решения пункта а):

Второй способ решения пункта а):

Третий способ решения пункта а):

Первый способ решения пункта б):

Второй способ решения пункта б):

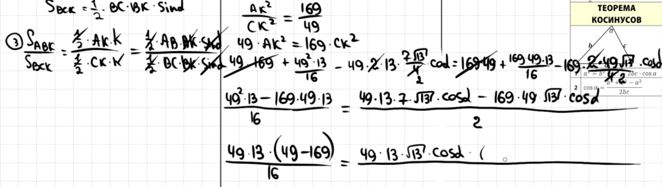
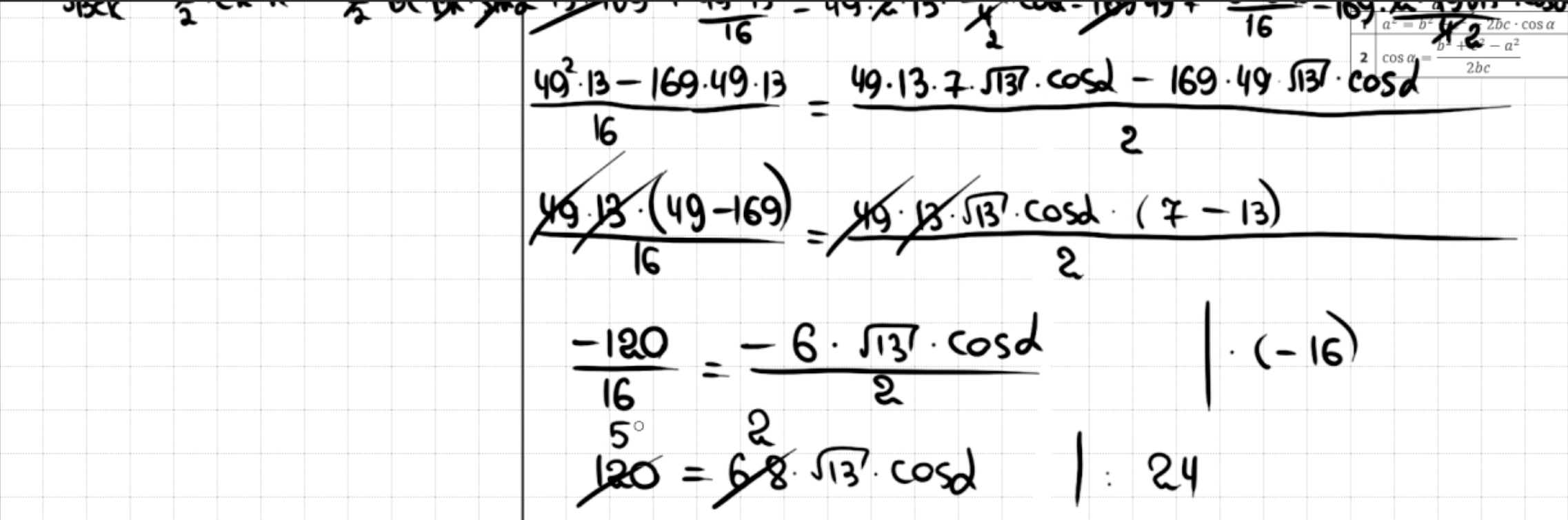
Третий способ решения пункта б):

17.10



17.11


17.12



17.13

Первый способ решения пункта а):

Второй способ решения пункта а):

Первый способ решения пункта б):


Второй способ решения пункта б):

17.14

Первый способ решения пункта а):

Второй способ решения пункта а):

Первый способ решения пункта б):

17.15

Первый способ решения пункта а):

Второй способ решения пункта а):

Первый способ решения пункта б):

17.16

Первый способ решения пункта а):

Второй способ решения пункта а):

Первый способ решения пункта б):

Второй способ решения пункта б):

17.17


17.18



17.19

Первый способ решения пункта а):

Первый способ решения пункта б):

Второй способ решения пункта б):

17.20


17.21



17.22

Первый способ решения пункта а):

Второй способ решения пункта а):

Первый способ решения пункта б):


Второй способ решения пункта б):

17.23

Первый способ решения пункта а):

Первый способ решения пункта а):

Второй способ решения пункта б):

17.24



17.25


17.26


17.27


17.28



17.29

Первый способ решения пункта а):

Второй способ решения пункта а):

Первый способ решения пункта б):

17.30

Первый способ решения пункта а):

Первый способ решения пункта б):

Второй способ решения пункта б):


17.31


17.32

Первый способ решения пункта а):

Второй способ решения пункта а):

Третий способ решения пункта а):

Первый способ решения пункта б):


Второй способ решения пункта б):

Третий способ решения пункта б):


Четвёртый способ решения пункта б):


Пятый способ решения пункта б):

17.33

Пункт а):

Первый способ решения пункта б):


Второй способ решения пункта б):

17.34

Первый способ решения пункта а):

Второй способ решения пункта а):

Пункт б):

17.35

Пункт а):

Первый способ решения пункта б):

Второй способ решения пункта б):

Третий способ решения пункта б):

Четвёртый способ решения пункта б):

17.36

Первый способ решения пункта а):

Второй способ решения пункта а):

Третий способ решения пункта а):

Пункт б):




17.37

Первый способ решения пункта а):

Второй способ решения пункта а):

Пункт б):


17.38


17.39

Первый способ решения пункта а):

Второй способ решения пункта а):

Первый способ решения пункта б):


Второй способ решения пункта б):


17.40



17.41


17.42

Первый способ решения пункта а):

Второй способ решения пункта а):

Пункт б):

17.43



17.44

Первый способ решения пункта а):

Второй способ решения пункта а):

Первый способ решения пункта б):


Второй способ решения пункта б):

17.45

Первый способ решения пункта а):

Второй способ решения пункта а):

Пункт б):


17.46

Пункт а):

Первый способ решения пункта б):


Второй способ решения пункта б):


Третий способ решения пункта б):

Четвёртый способ решения пункта б):

17.47



17.48

Первый способ решения пункта а):

Второй способ решения пункта а):

Первый способ решения пункта б):

Второй способ решения пункта б):

Третий способ решения пункта б):

17.49



17.50


17.51




17.52



17.53



17.54

Пункт а):

Первый способ решения пункта б):



Второй способ решения пункта б):


Третий способ решения пункта б):



17.55

Первый способ решения пункта а):

Второй способ решения пункта а):

Пункт б):


17.56



17.57

Первый способ решения пункта а):

Второй способ решения пункта а):

Первый способ решения пункта б):


Второй способ решения пункта б):

Третий способ решения пункта б):

Четвёртый способ решения пункта б):


17.58
Первый способ решения пункта а):

Второй способ решения пункта а):

Пункт б):


17.59



17.60




17.61

