14 задание
14.1 - 14.10 Докажите, что сечение или грань является... (пункт а)
14.1


14.2



14.3


14.4



14.5



14.6

Первый способ решения:


Второй способ решения:


14.7




14.8

Первый способ решения:



Второй способ решения:


14.9





14.10





14.11 - 14.12 Докажите, что плоскость проходит через конкретную точку (пункт а)
14.11



14.12





14.13 - 14.14 Докажите, что пирамида - правильный тетраэдр или что пирамида правильная (пункт а)
14.13


14.14


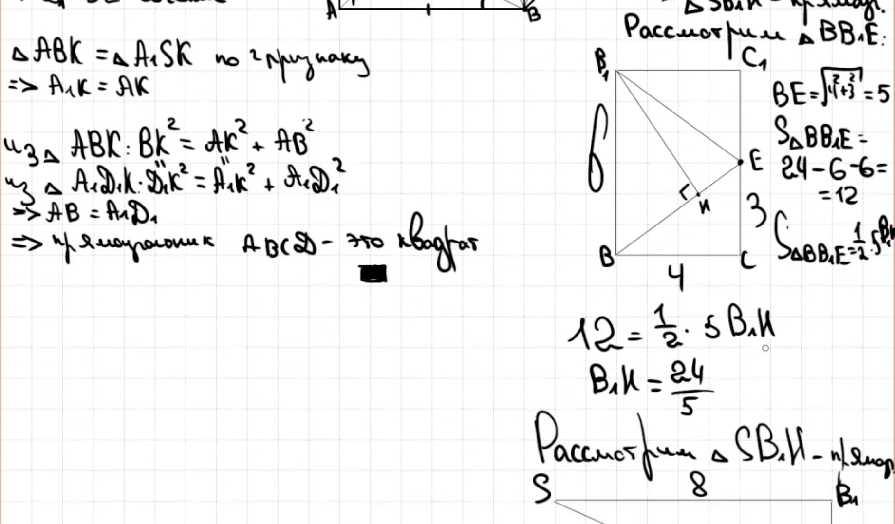
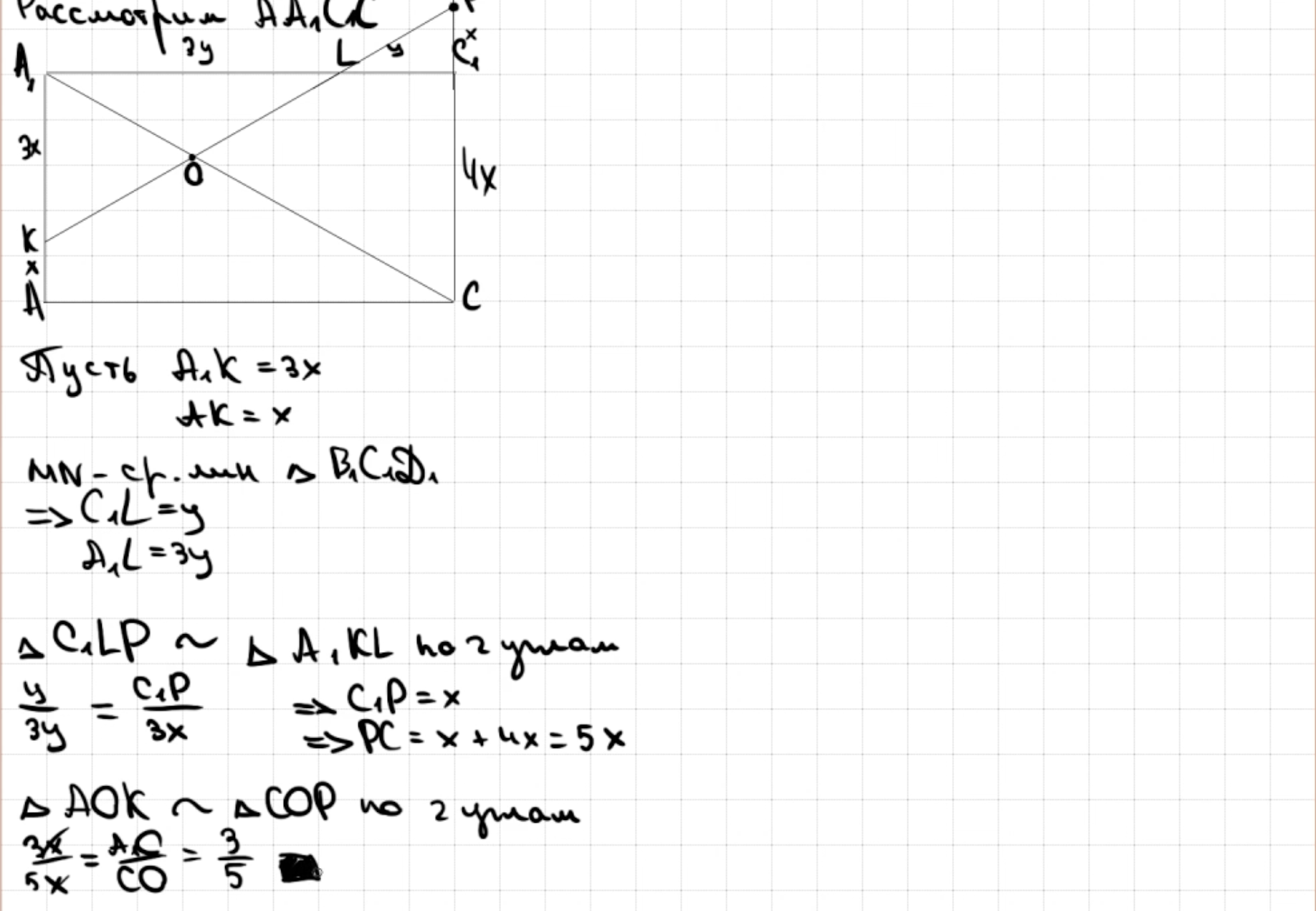
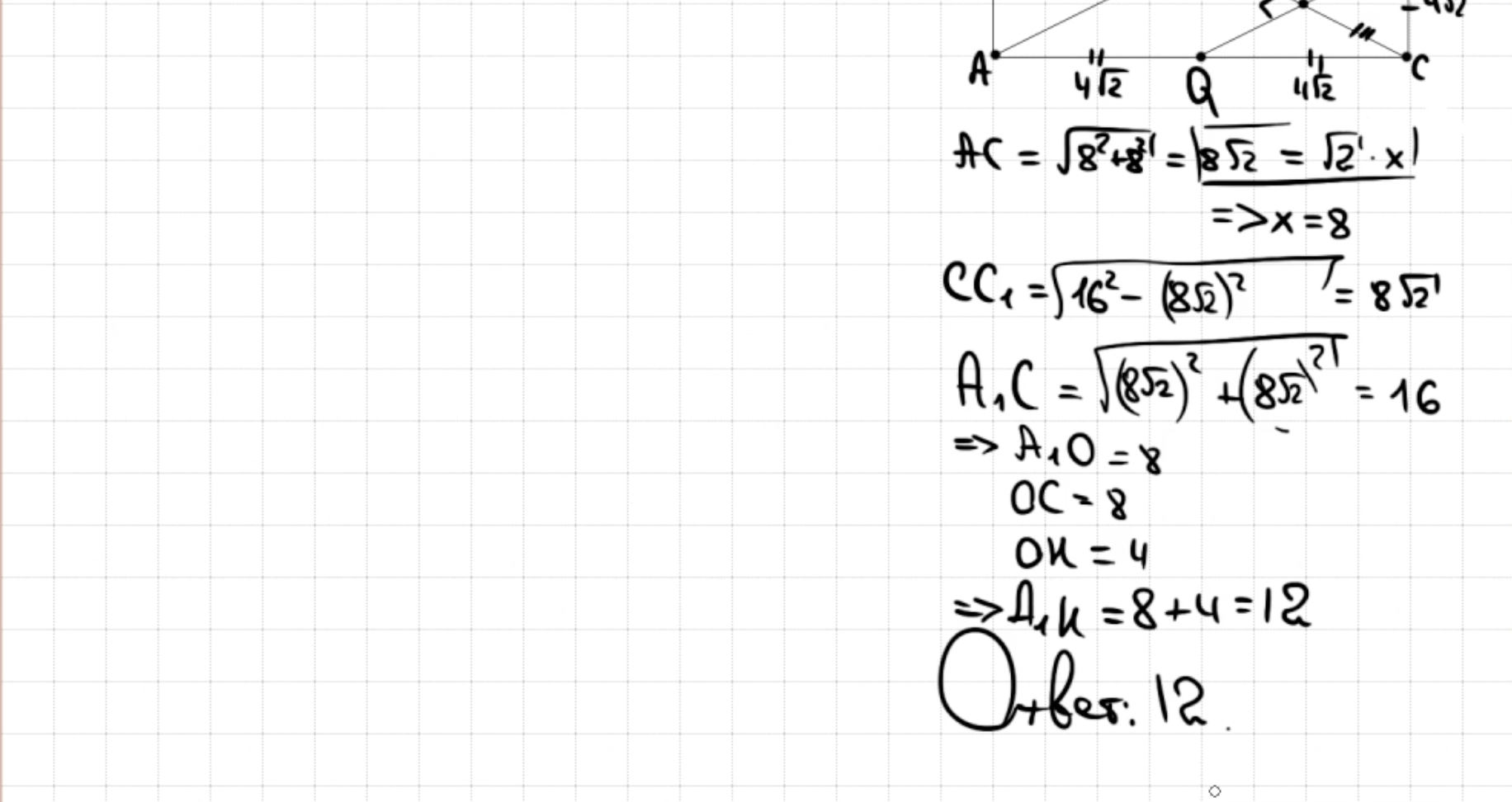
14.15 - 14.38 Отношение отрезков (пункт а)
14.15


14.16


14.17



14.18



14.19


14.20


14.21


14.22



14.23


14.24



14.25

Первый способ решения:


Второй способ решения:


Третий способ решения:




14.26

Первый способ решения:


Второй способ решения:


Третий способ решения:



14.27



14.28



14.29



14.30



14.31



14.32



14.33



14.34

Первый способ решения:



Второй способ решения:


14.35




14.36





14.37




14.38




14.39 - 14.57 Угол между прямыми (пункты а и б)
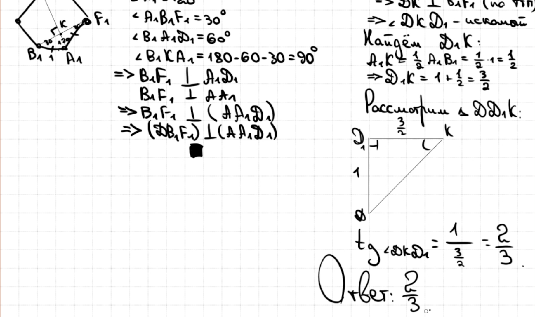
14.39



14.40


14.41


14.42




14.43


14.44


14.45




14.46


14.47



14.48



14.49



14.50



14.51

Первый способ решения:


Второй способ решения:


14.52

Первый способ решения:


Втрой способ решения:


14.53

Первый способ решения:


Второй способ решения:


Третий способ решения:


14.54



14.55




14.56



14.57




14.58 - 14.65 Угол между прямой и плоскостью (пункты а и б)
14.58

Первый способ решения:


Второй способ решения:





14.59

Первый способ решения:


Второй способ решения:


14.60



14.61



14.62




14.63




14.64




14.65




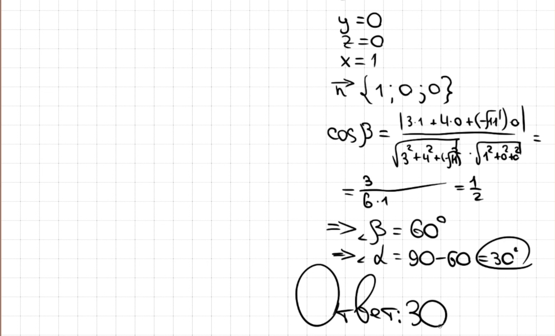
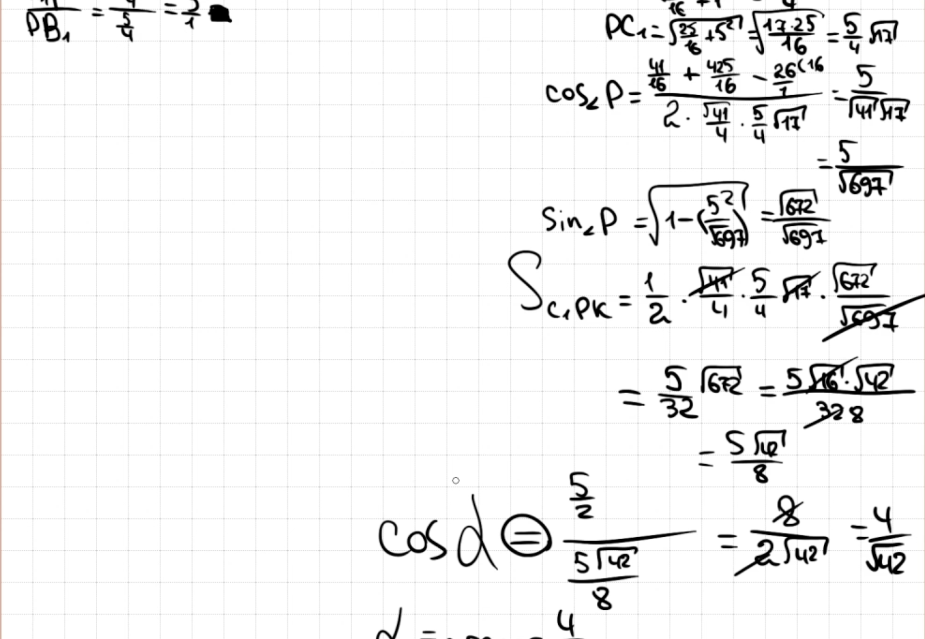
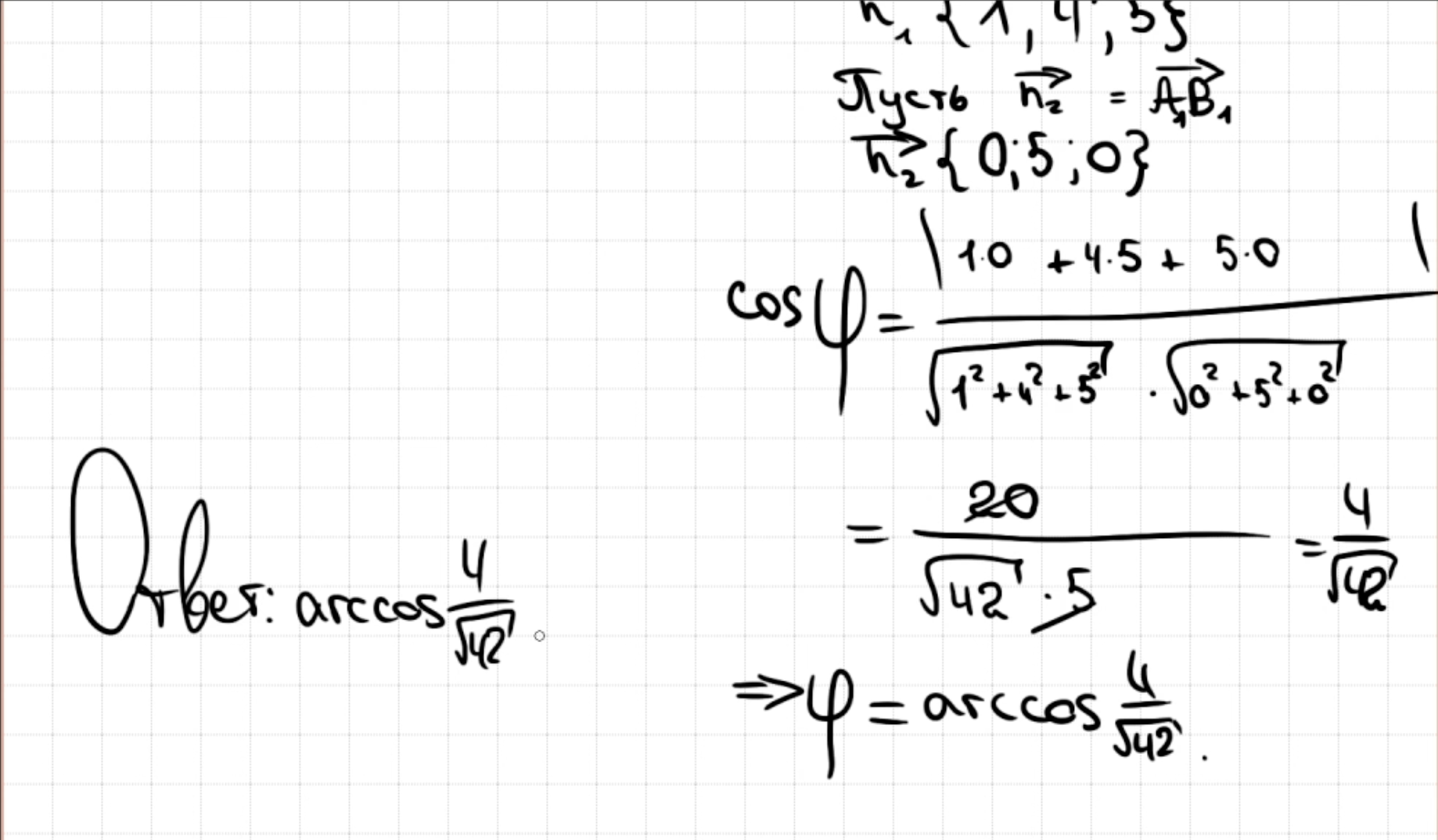
14.66 - 14.78 Угол между плоскостями (пункты а и б)
14.66



14.67


14.68



14.69



14.70



14.71

Первый способ решения:


Второй способ решения:



Третий способ решения:



14.72



14.73



14.74




14.75

Первый способ решения:



Второй способ решения:



14.76



14.77




14.78





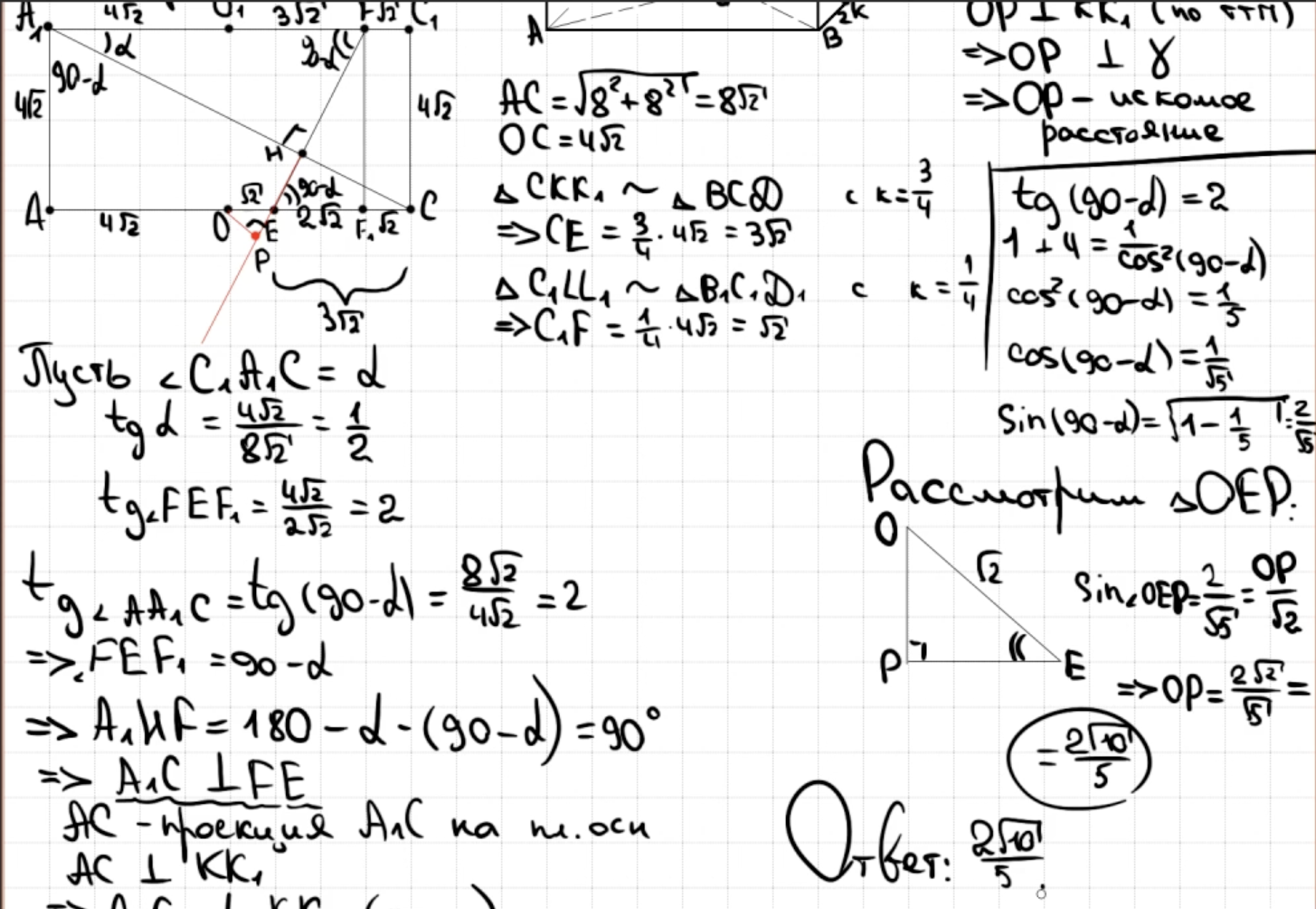
14.79 - 14.88 Расстояние от точки до плоскости (пункты а и б)
14.79



14.80


14.81




14.82




14.83

Первый способ решения:



Второй способ решения:



14.84




14.85




14.86



14.87




14.88





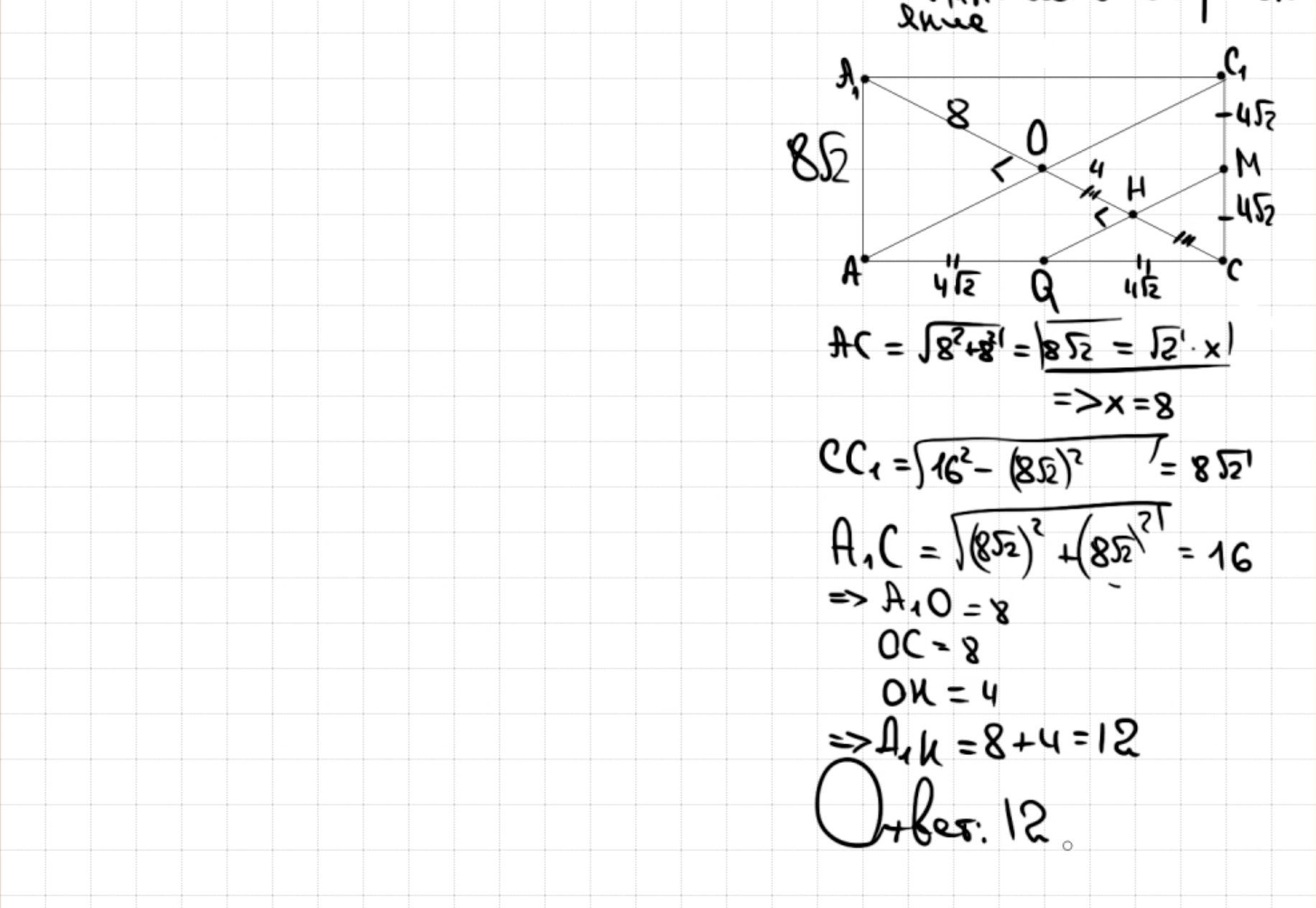
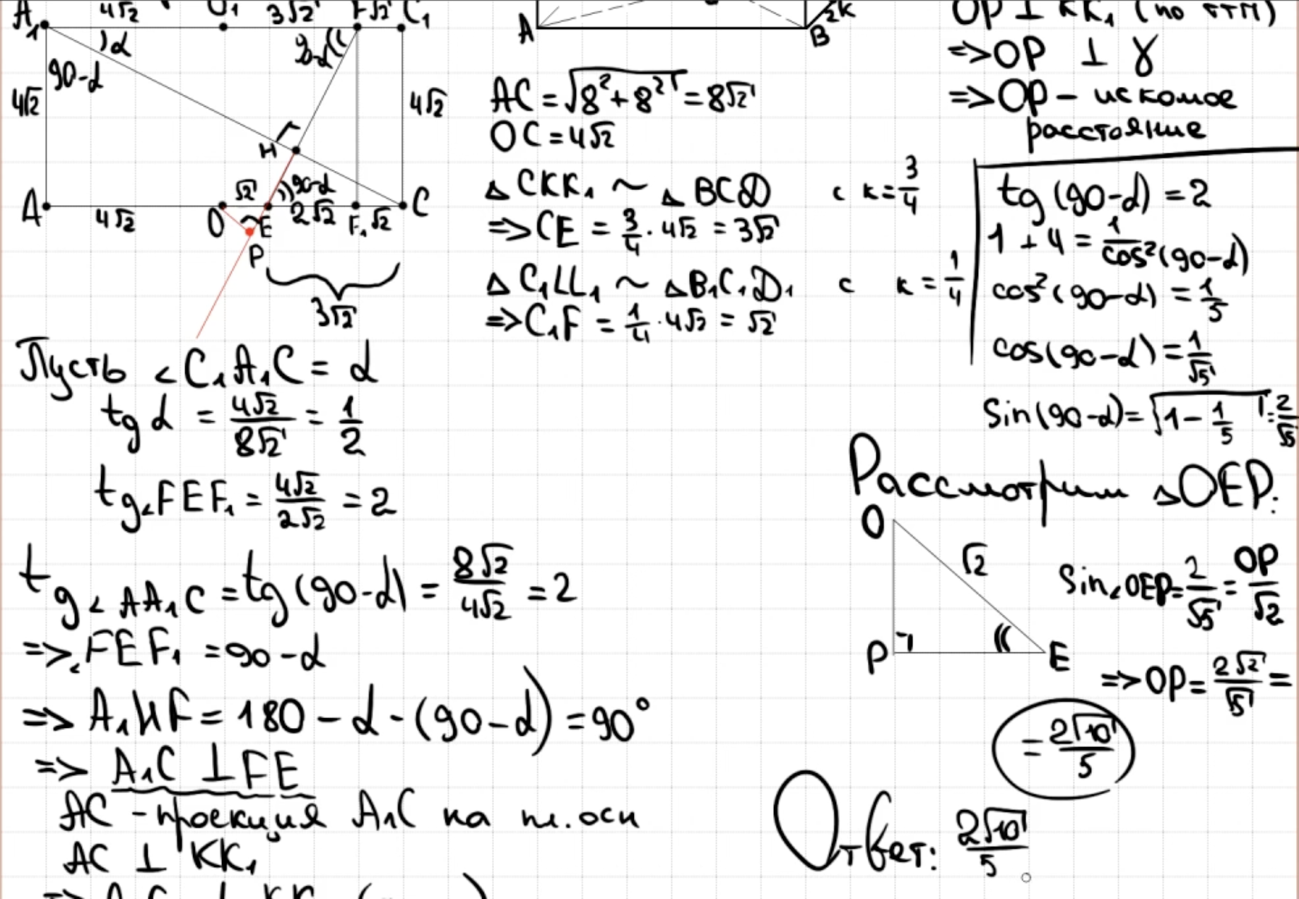
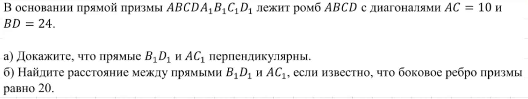
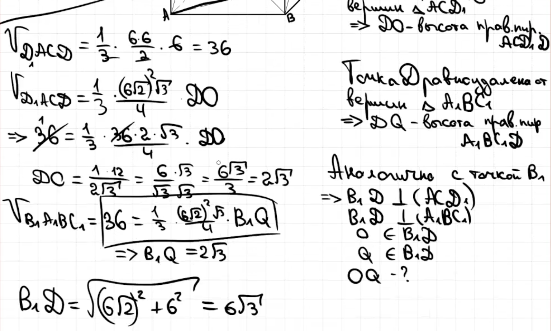
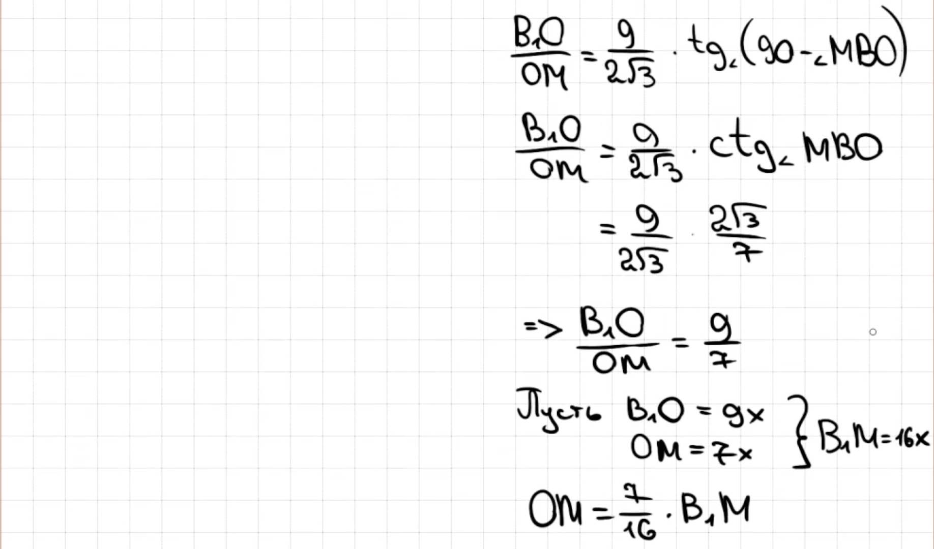
14.89 - 14.98 Расстояние между прямыми (пункт б)
14.89



14.90



14.91




14.92




14.93 - 14.98 Найти отрезок (пункт б)
14.93


14.94



14.95


14.96



14.97



14.98





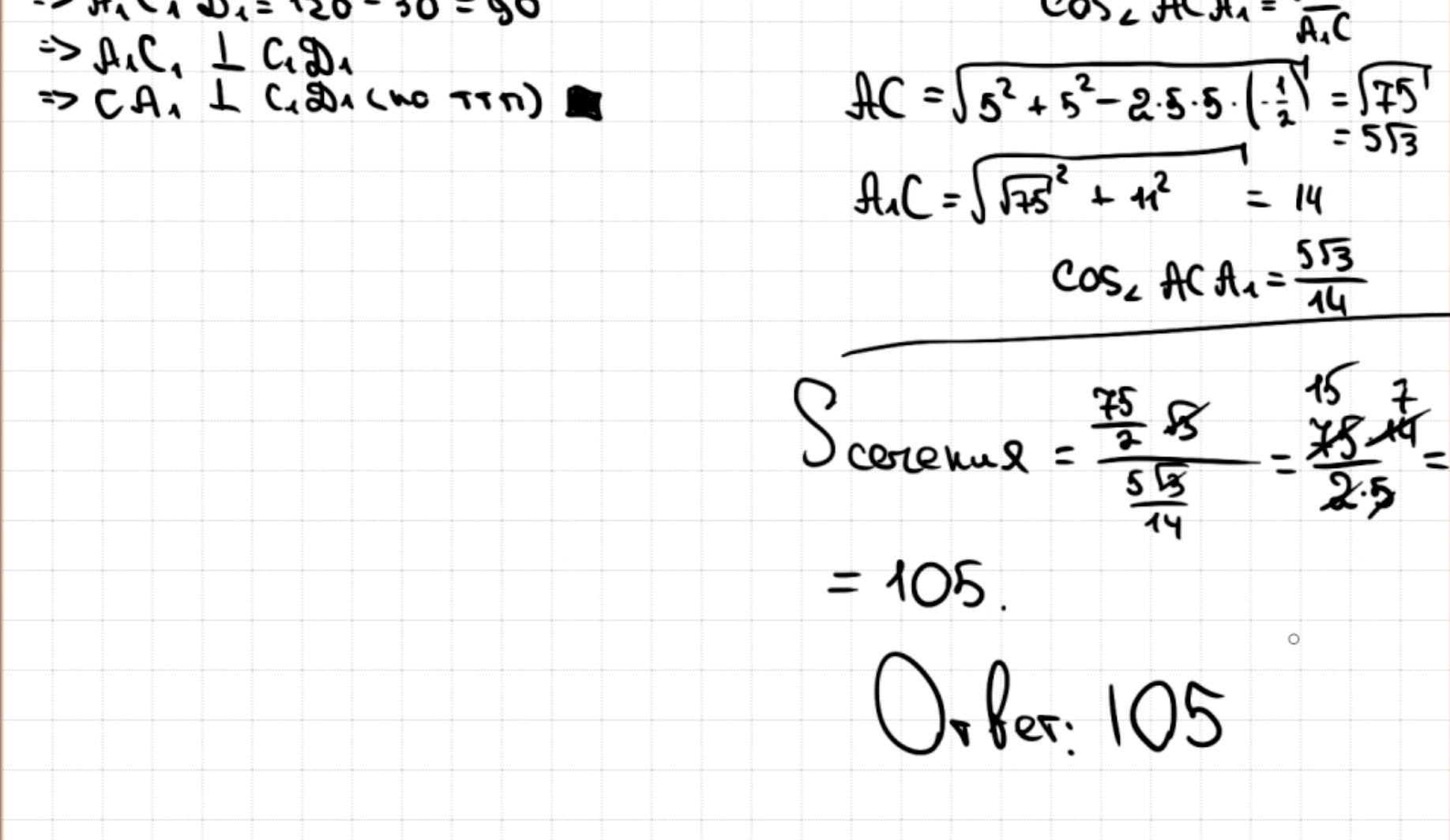
14.99 - 14.115 Периметр или площадь (пункт б)
14.99


14.100


14.101


14.102


14.103



14.104


14.105



14.106


14.107


14.108



14.109

Первый способ решения:


Второй способ решения:

Третий способ решения:


14.110



14.111



14.112

Первый способ решения:


Второй способ решения:


Третий способ решения:

14.113


14.114


14.115



14.116 - 14.127 Объём (пункт б)
14.116


14.117




14.118


14.119


14.120


14.121


14.122


14.123


14.124



14.125



14.126





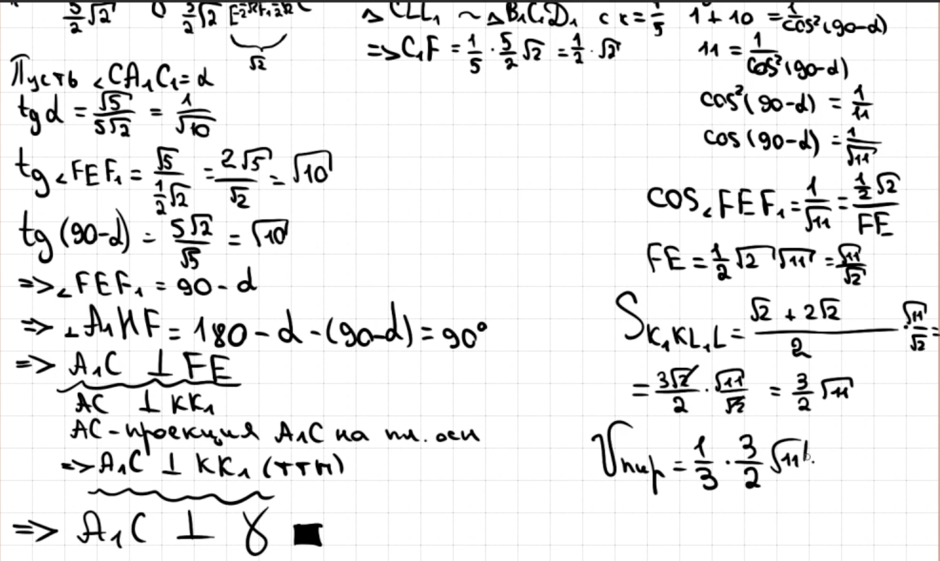
14.127



