16 задание ДЗ
16.1 - 16.3 Равные платежи (ищем кредит)
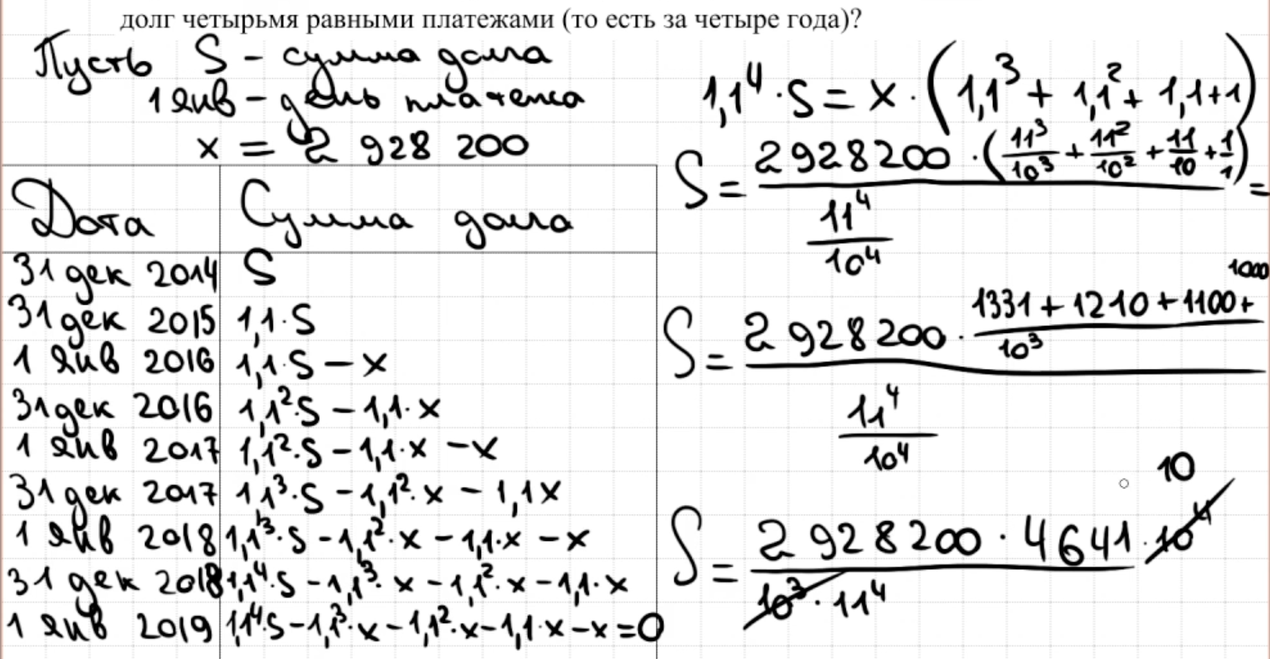
16.1



16.2 -
16.3



16.4 - 16.8 Равные платежи (ищем платёж)
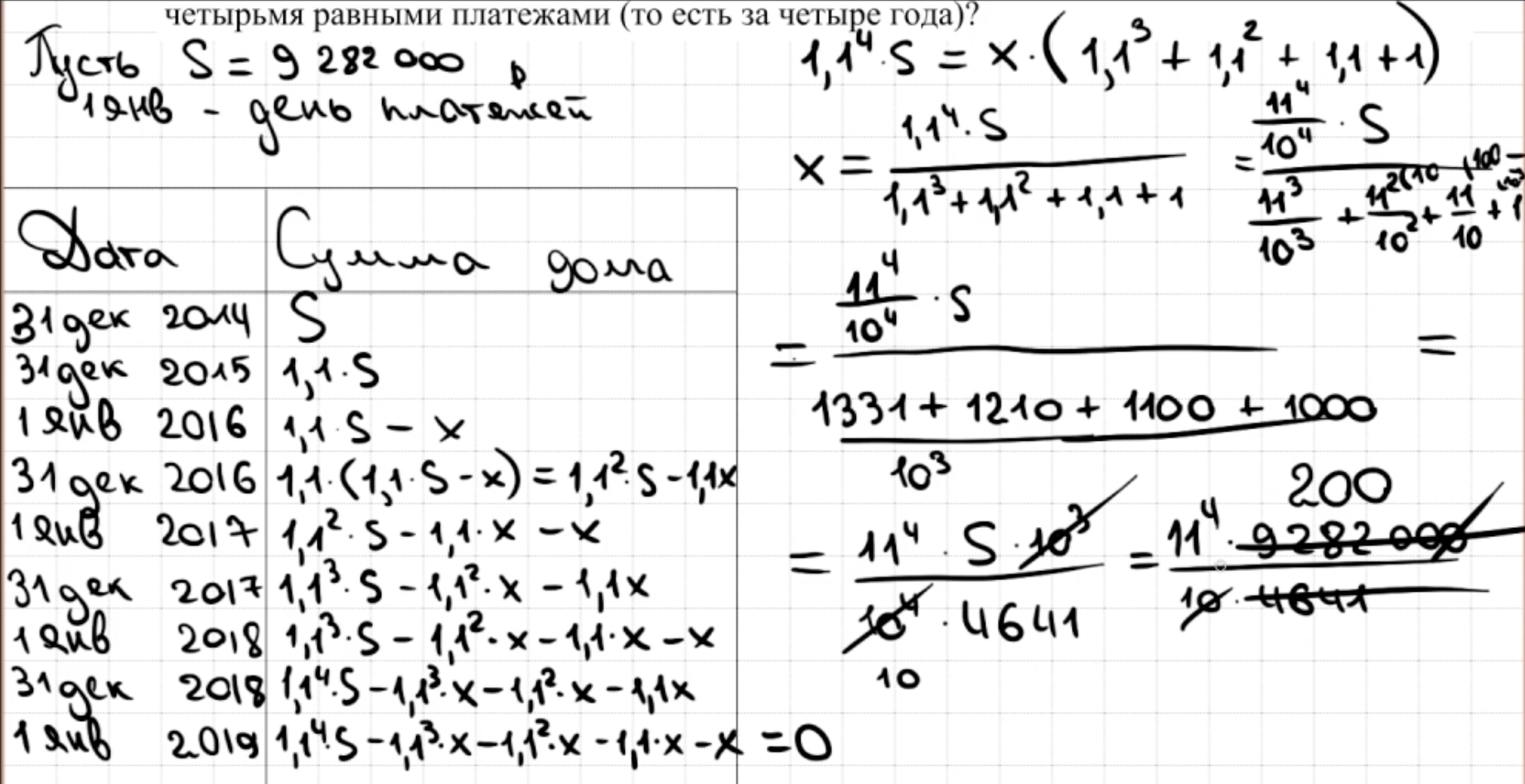
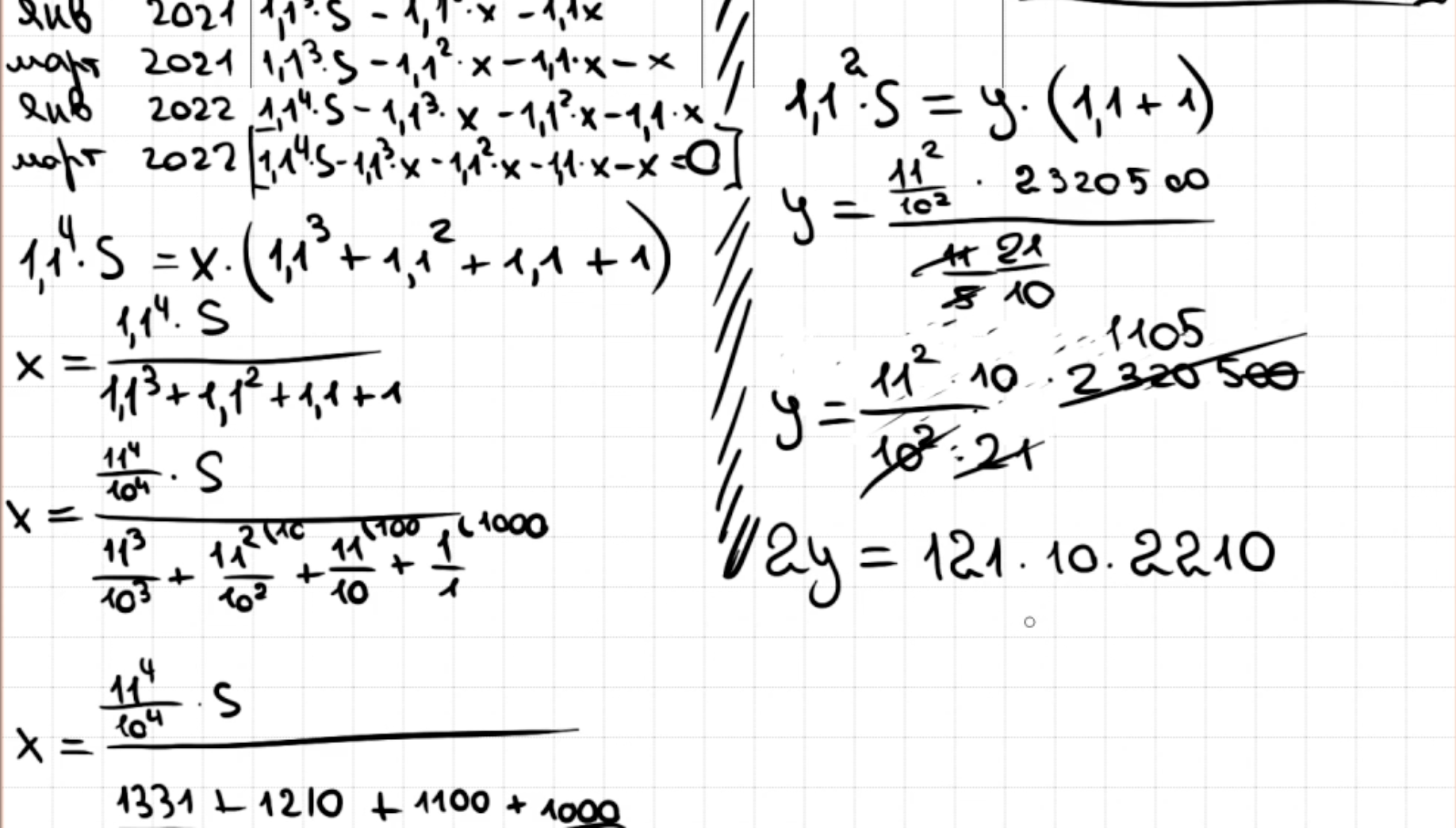
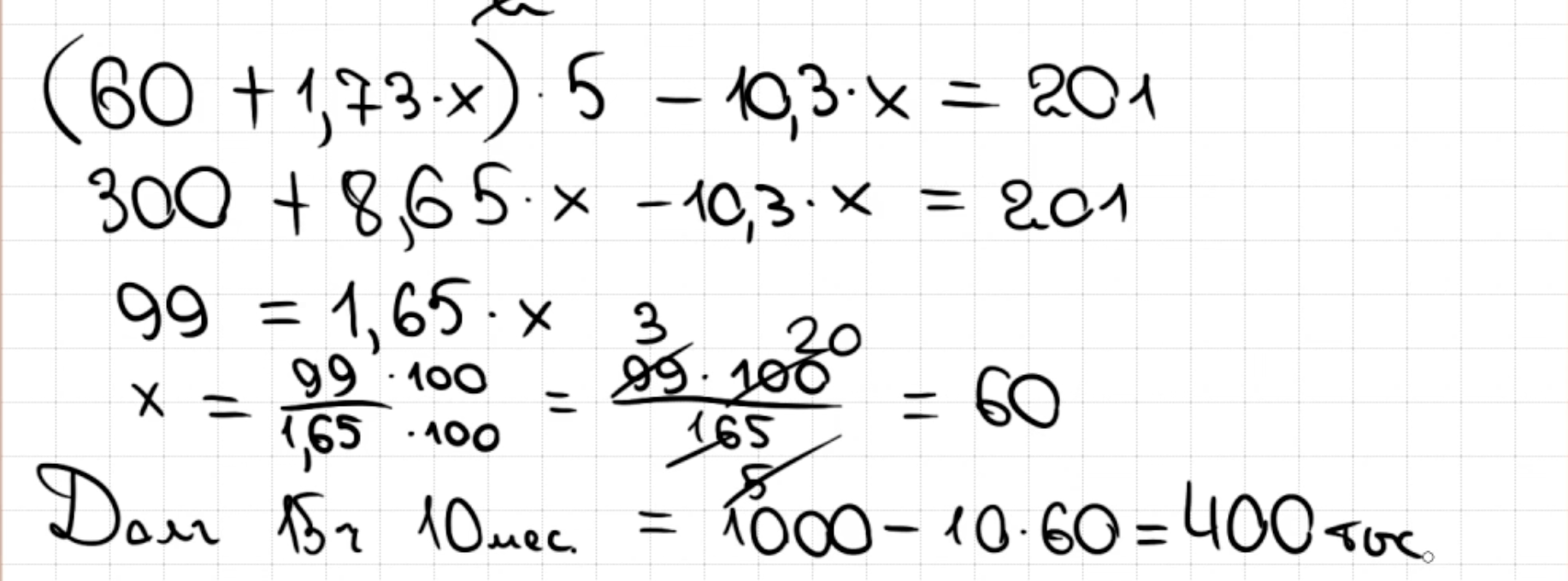
16.4



16.5 -
16.6



16.7 -
16.8





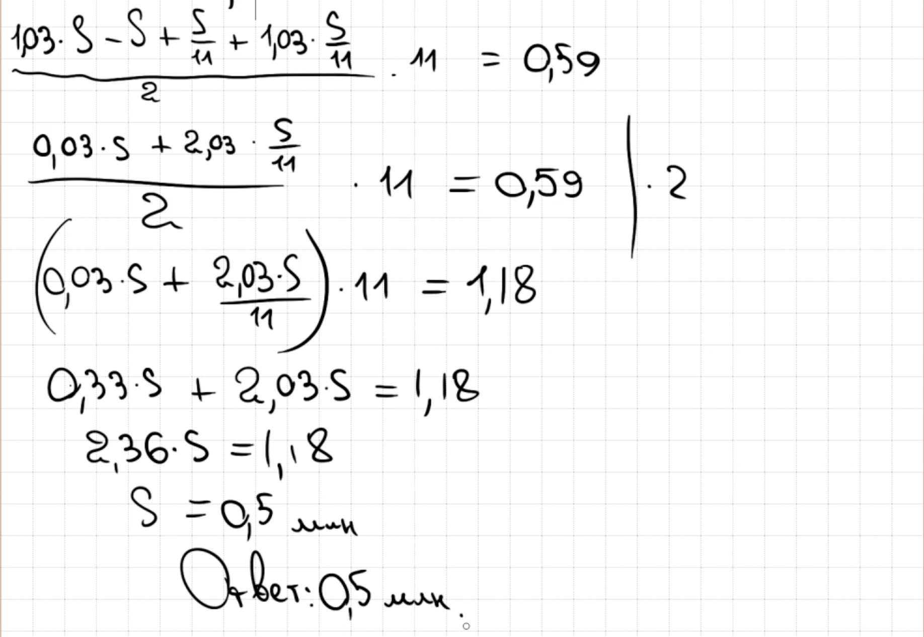
16.9 - 16.9 Равные платежи (ищем %)
16.9





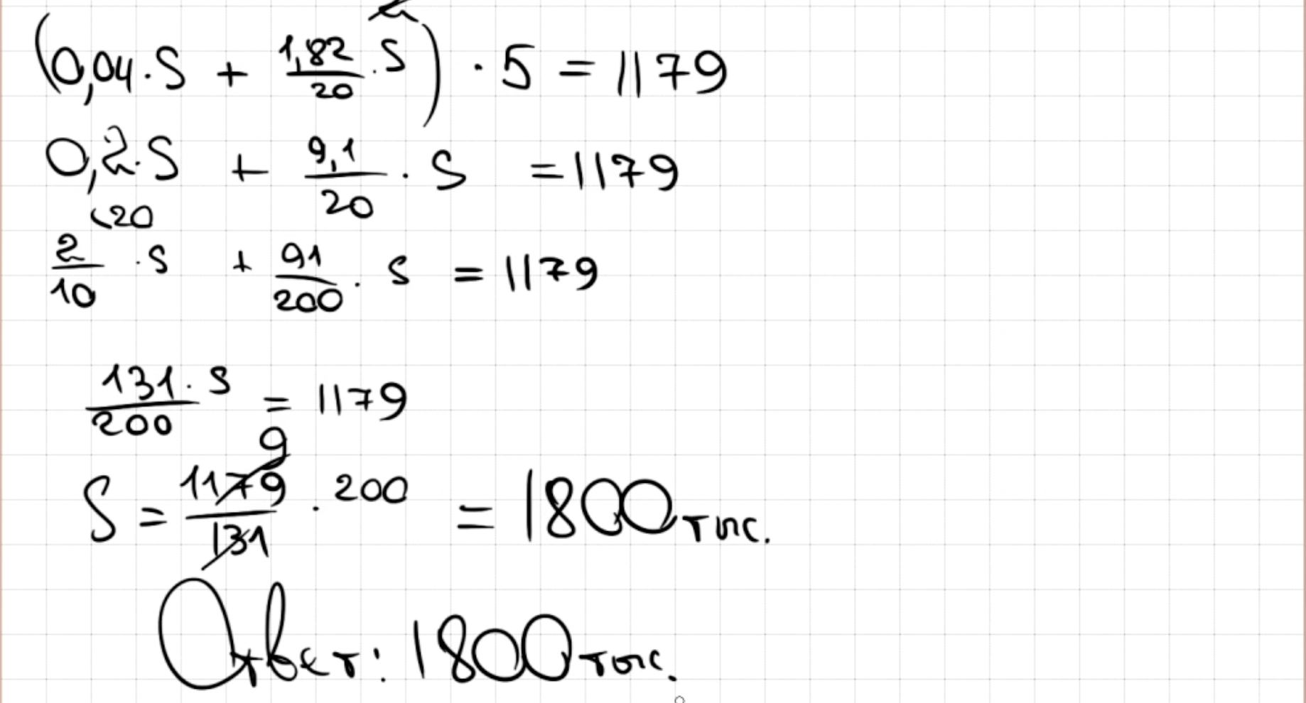
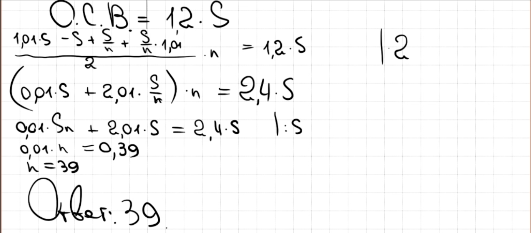
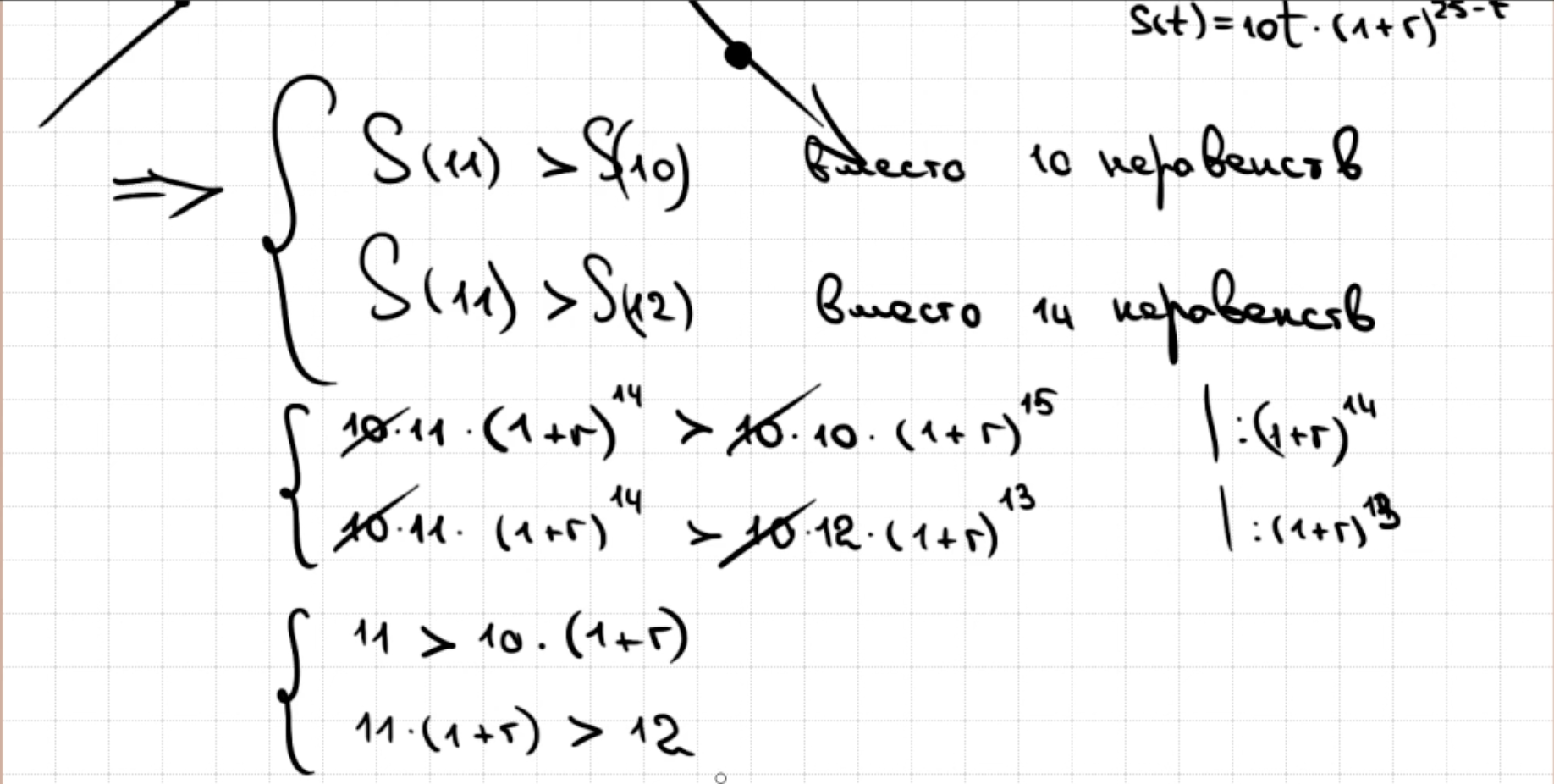
16.10 - 16.11 Равные платежи (ищем срок кредита)
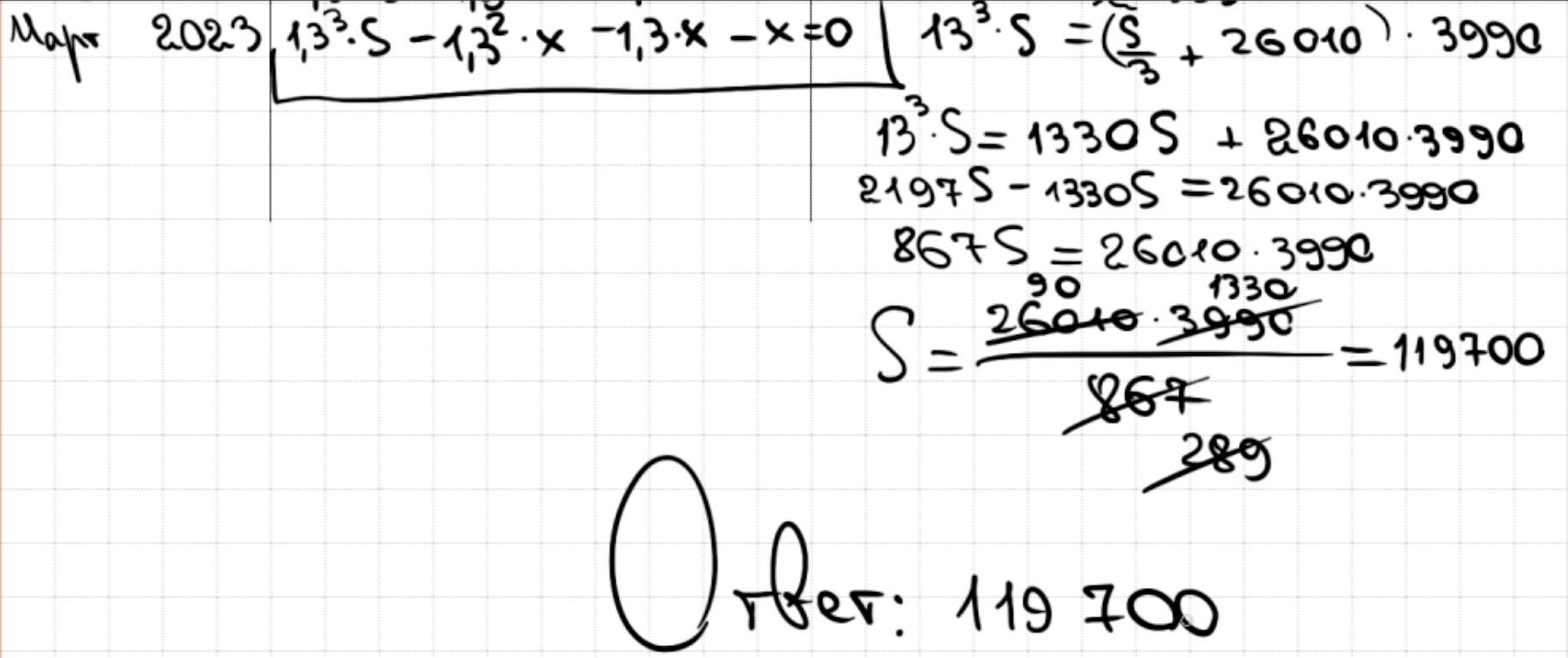
16.10



16.11

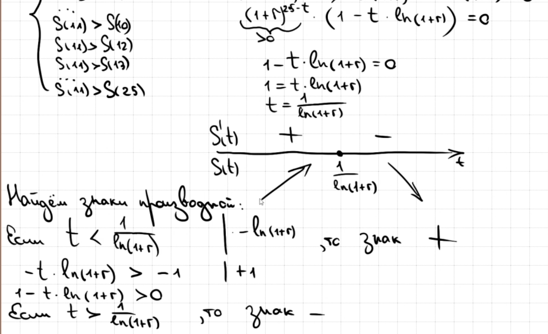
Первый способ решения:


Второй способ решения:



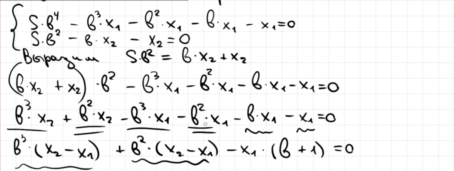
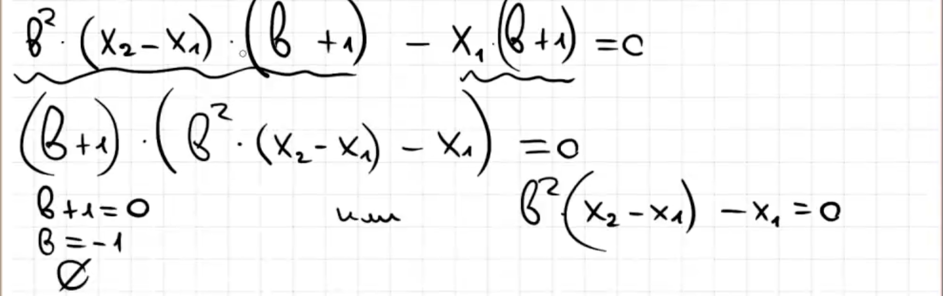
16.12 - 16.18 Разные платежи (ищем кредит)
16.12 -
16.13



16.14 -
16.15



16.16




16.17




16.18 -
16.19 - 16.20 Разные платежи (ищем платёж)
16.19



16.20


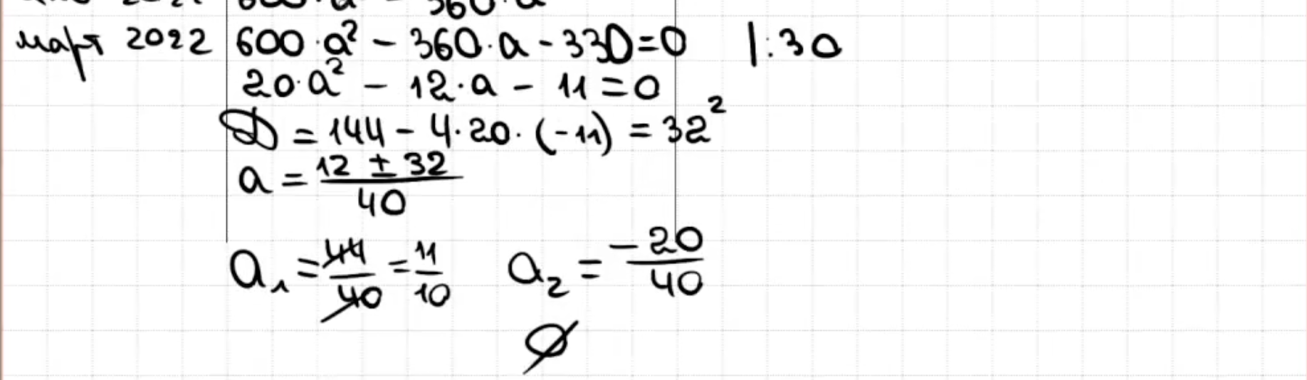
16.21 - 16.25 Разные платежи (ищем %)
16.21




16.22




16.23 -
16.24



16.25




16.26 - 16.28 Равномерно уменьшающиеся платежи (ищем кредит)
16.26




16.27 -
16.28





16.29 - 16.37 Равномерно уменьшающиеся платежи (ищем платёж)
16.29




16.30




16.31




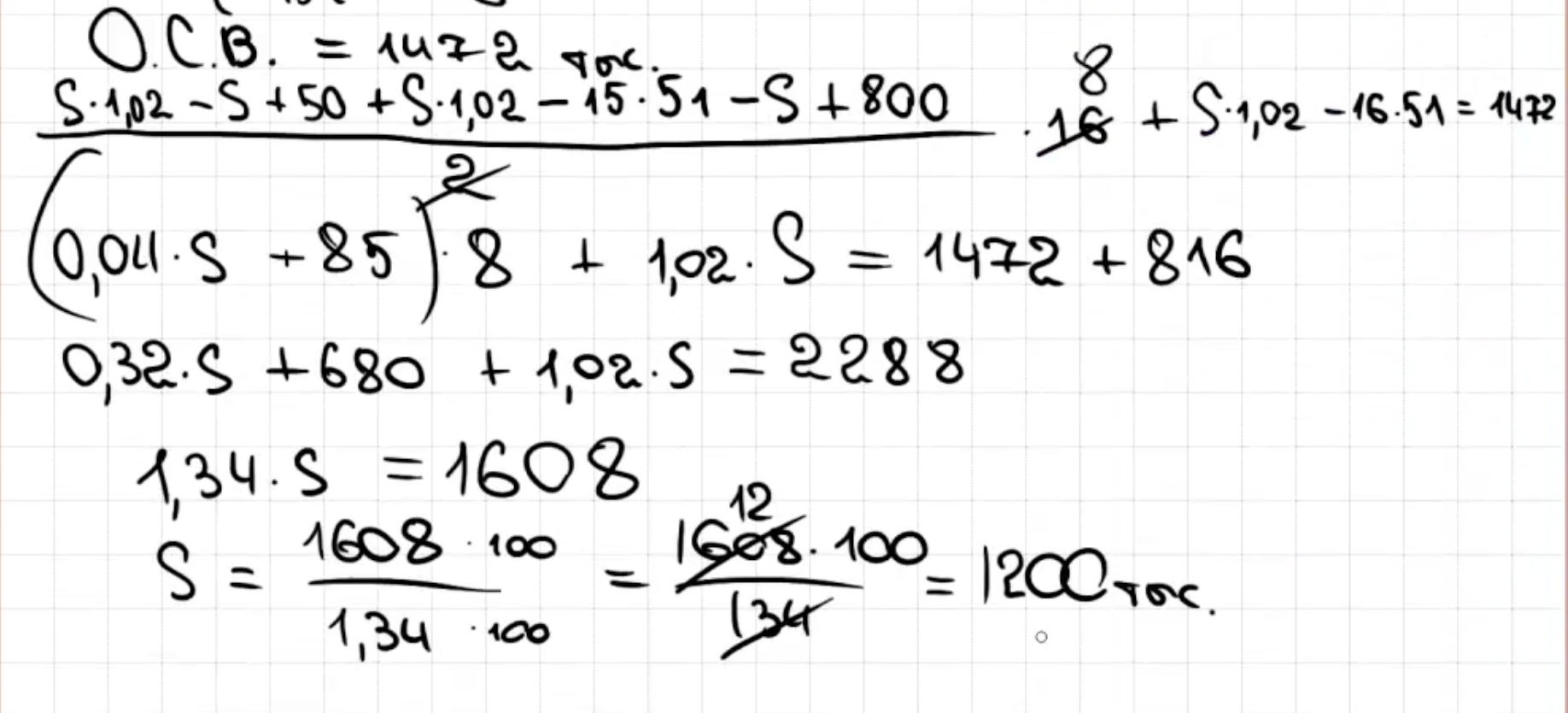
16.32 -
16.33







16.34




16.35 -
16.36







16.37







16.38 - 16.40 Равномерно уменьшающиеся платежи (ищем %)
16.38 - 16.39 -
16.40





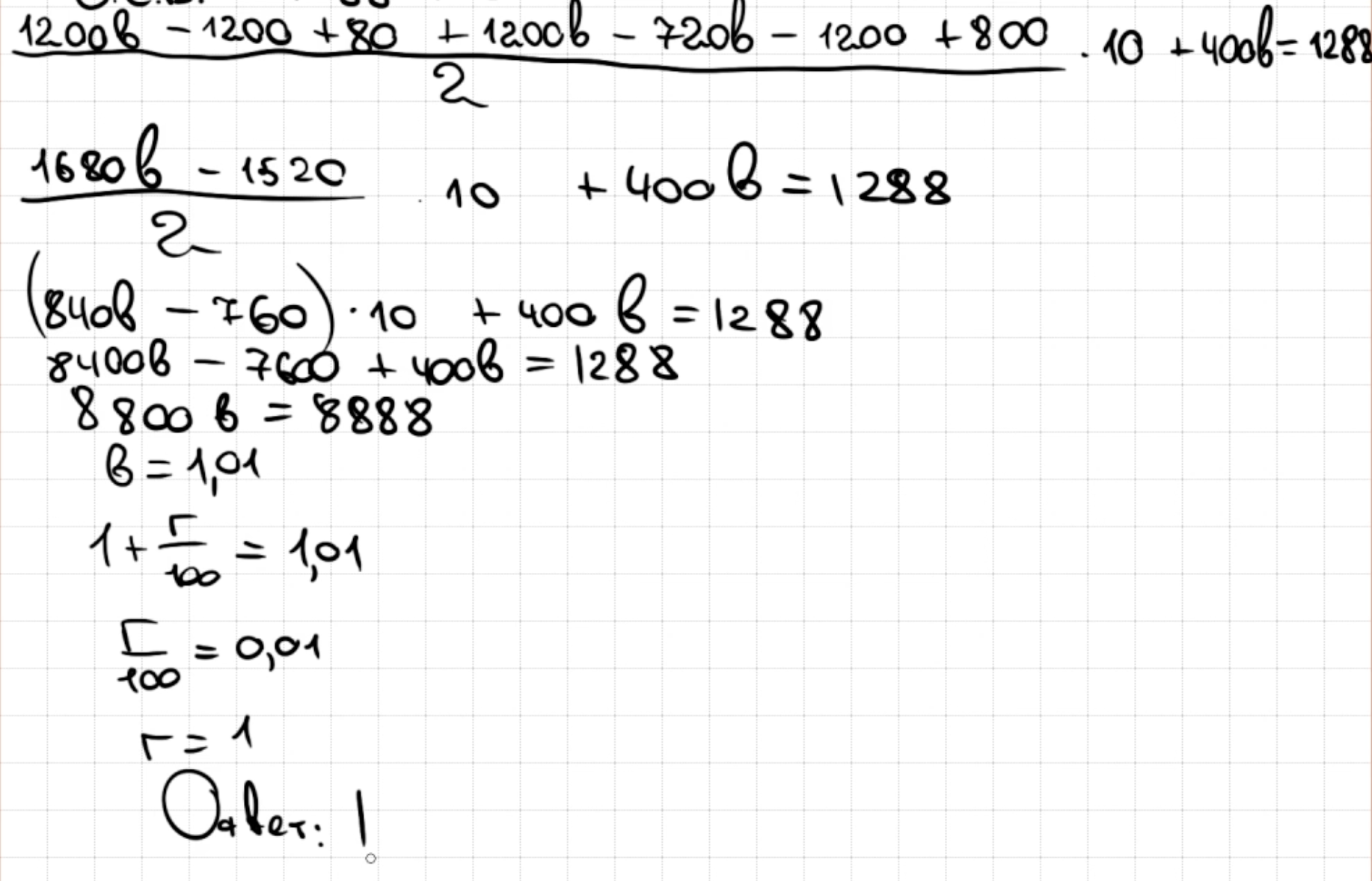
16.41 - 16.42 Равномерно уменьшающиеся платежи (ищем срок кредита)
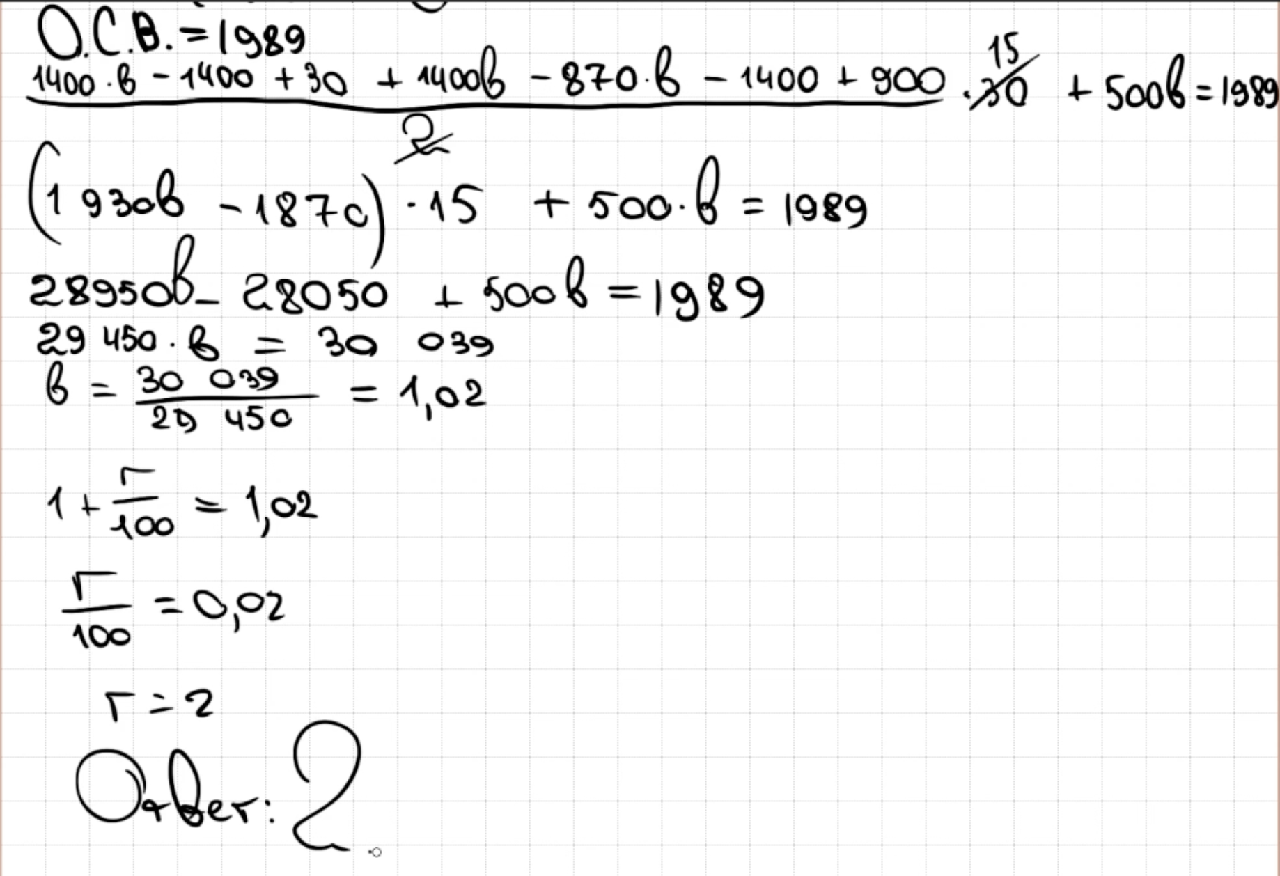
16.41




16.42




16.43 - 16.53 Задачи с ЕГЭ 2018 с дополнительным условием
16.43 - 16.45 -
16.46





16.47 -
16.48





16.49





16.50





16.51 - 16.52 -
16.53




16.54 - 16.57 Вклады
16.54




16.55





16.56 - 16.57 -
16.58 - 16.59 Ценные бумаги
16.58



16.59


16.60 - 16.61 Пенсионный фонд
16.60







16.61 -
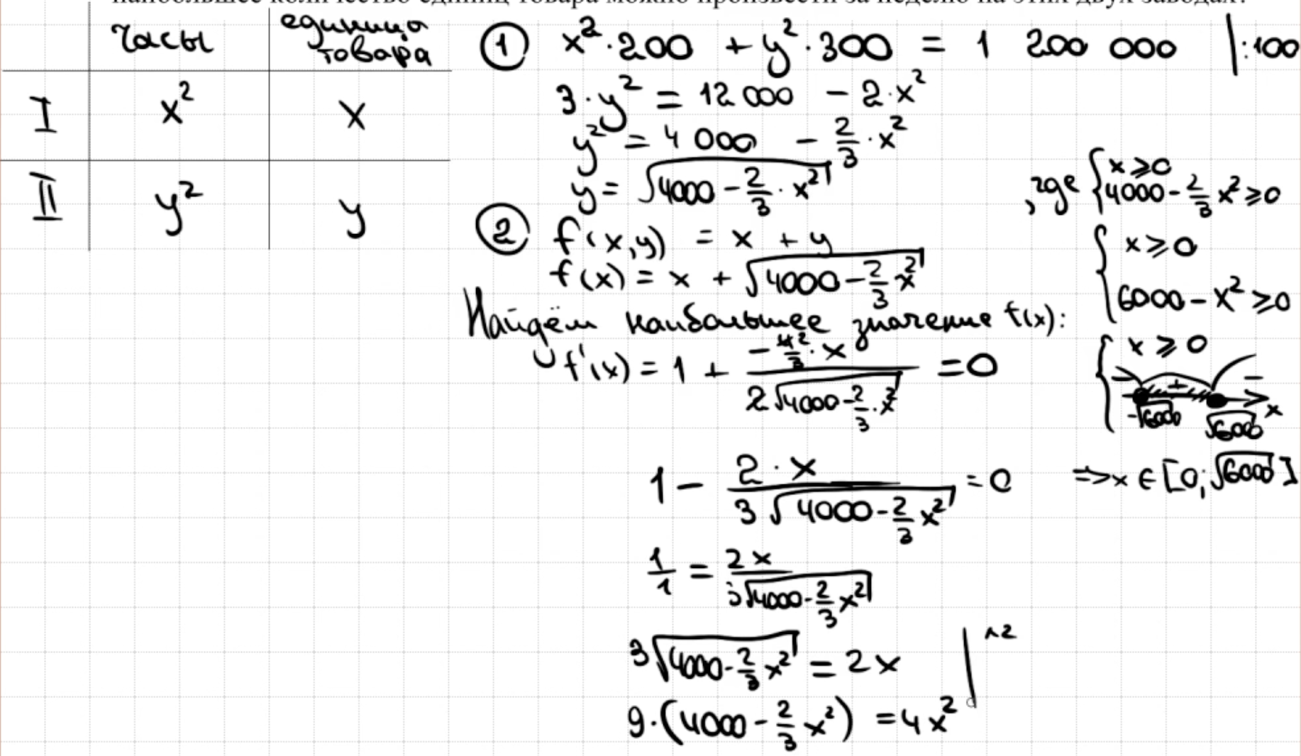
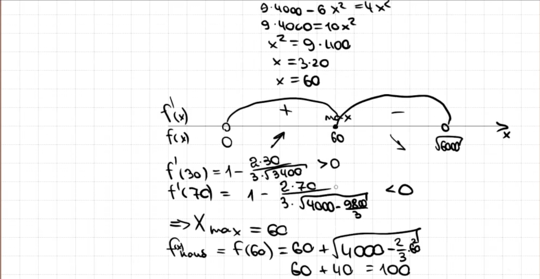
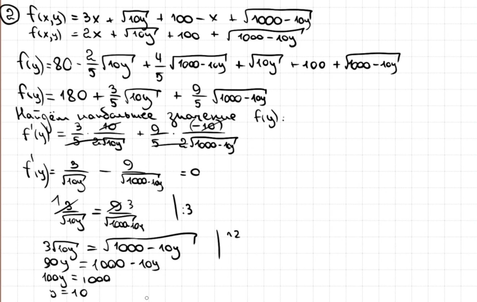
16.62 - 16.67 Про владельца завода
16.62




16.63




16.64 -
16.65



16.66 - 16.67 -
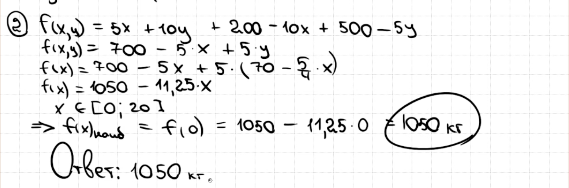
16.68 - 16.69 Про области
16.68




16.69





16.70 - 16.71 Про шахты
16.70



16.71 -
16.72 - 16.73 Про комбинаты
16.72 - 16.73 -
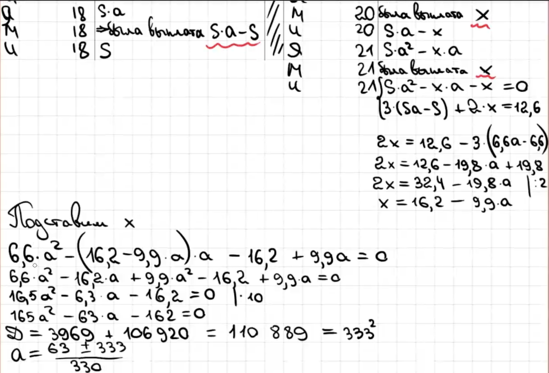
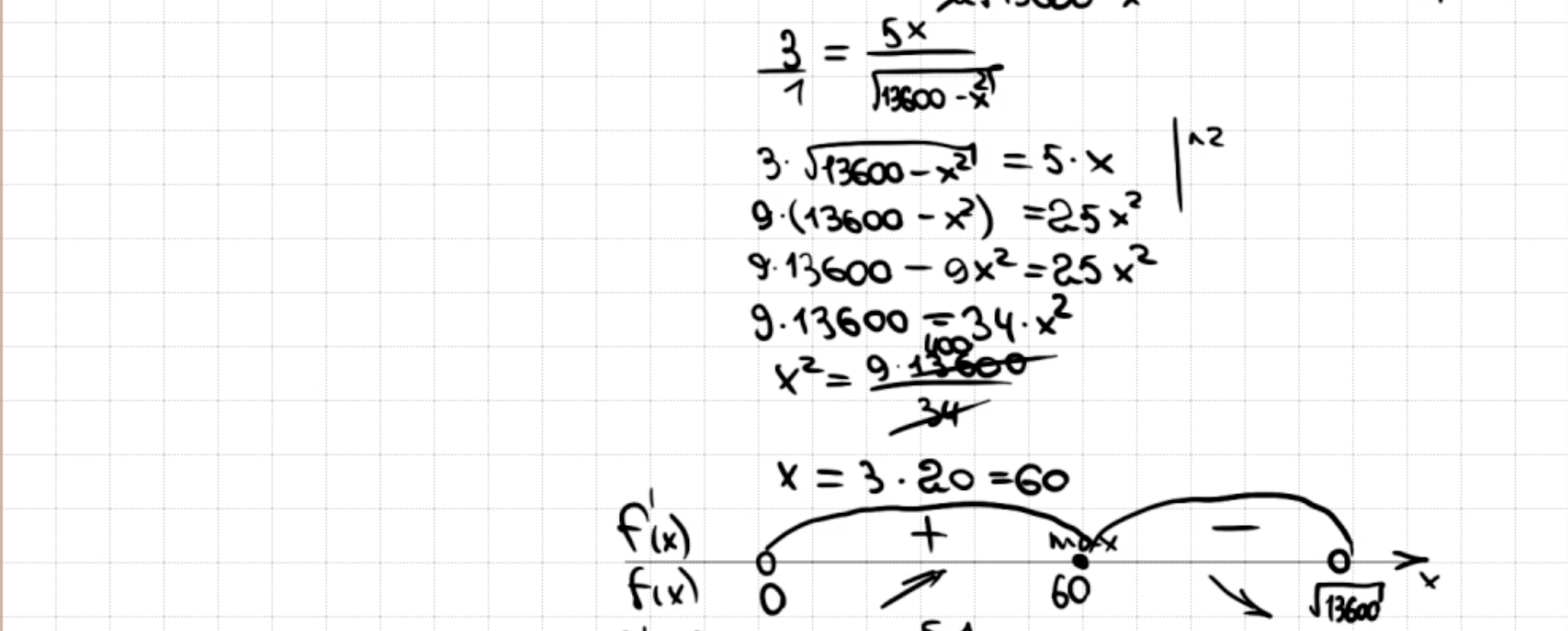
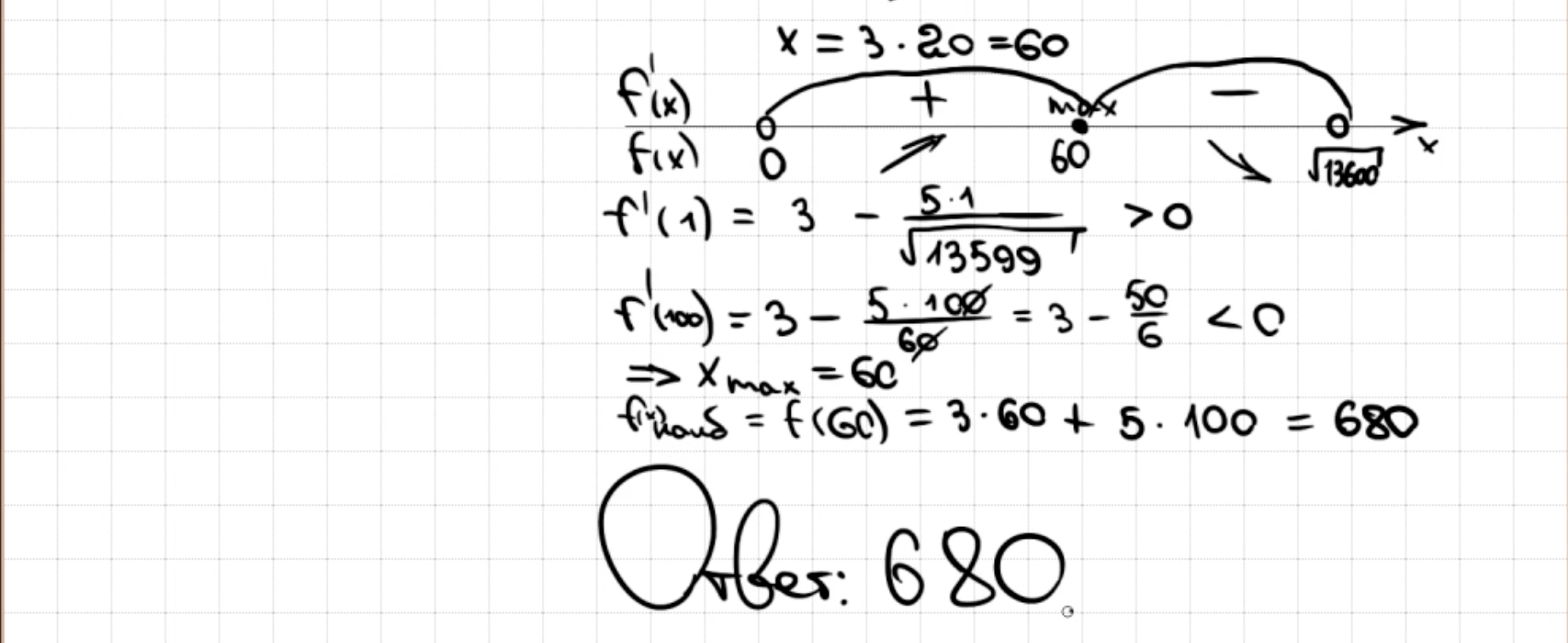
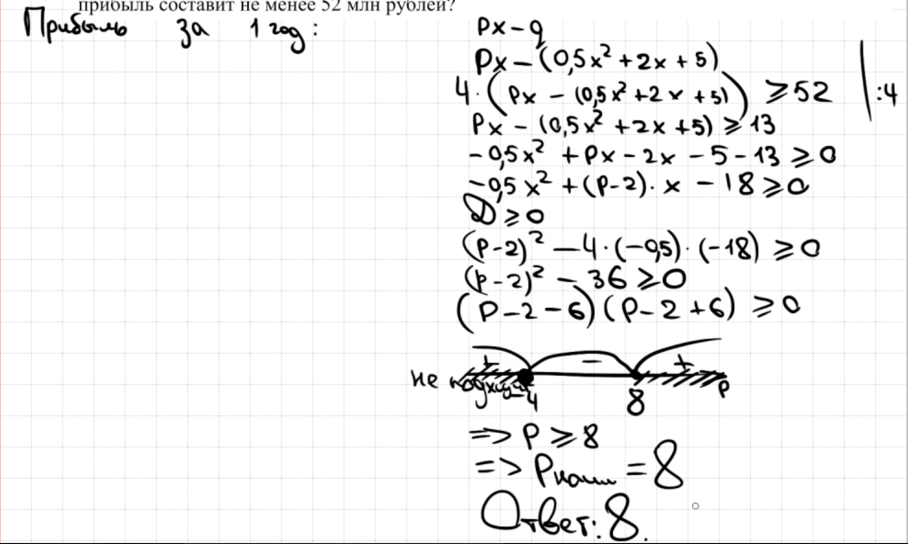
16.74 - 16.81 Про прибыль
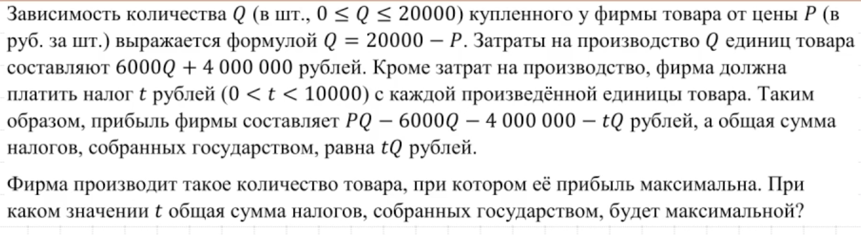
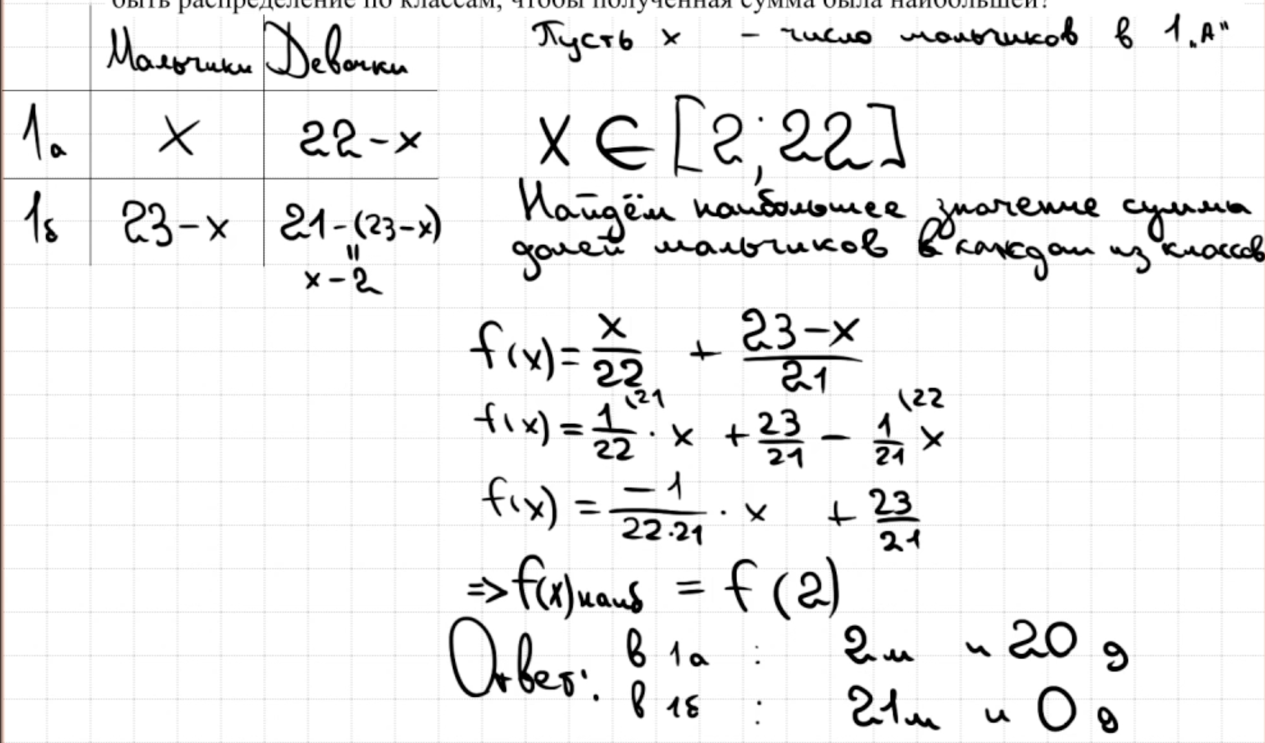
16.74



16.75



16.76


16.77 - 16.80 -
16.81


16.82 - 16.89 Разное
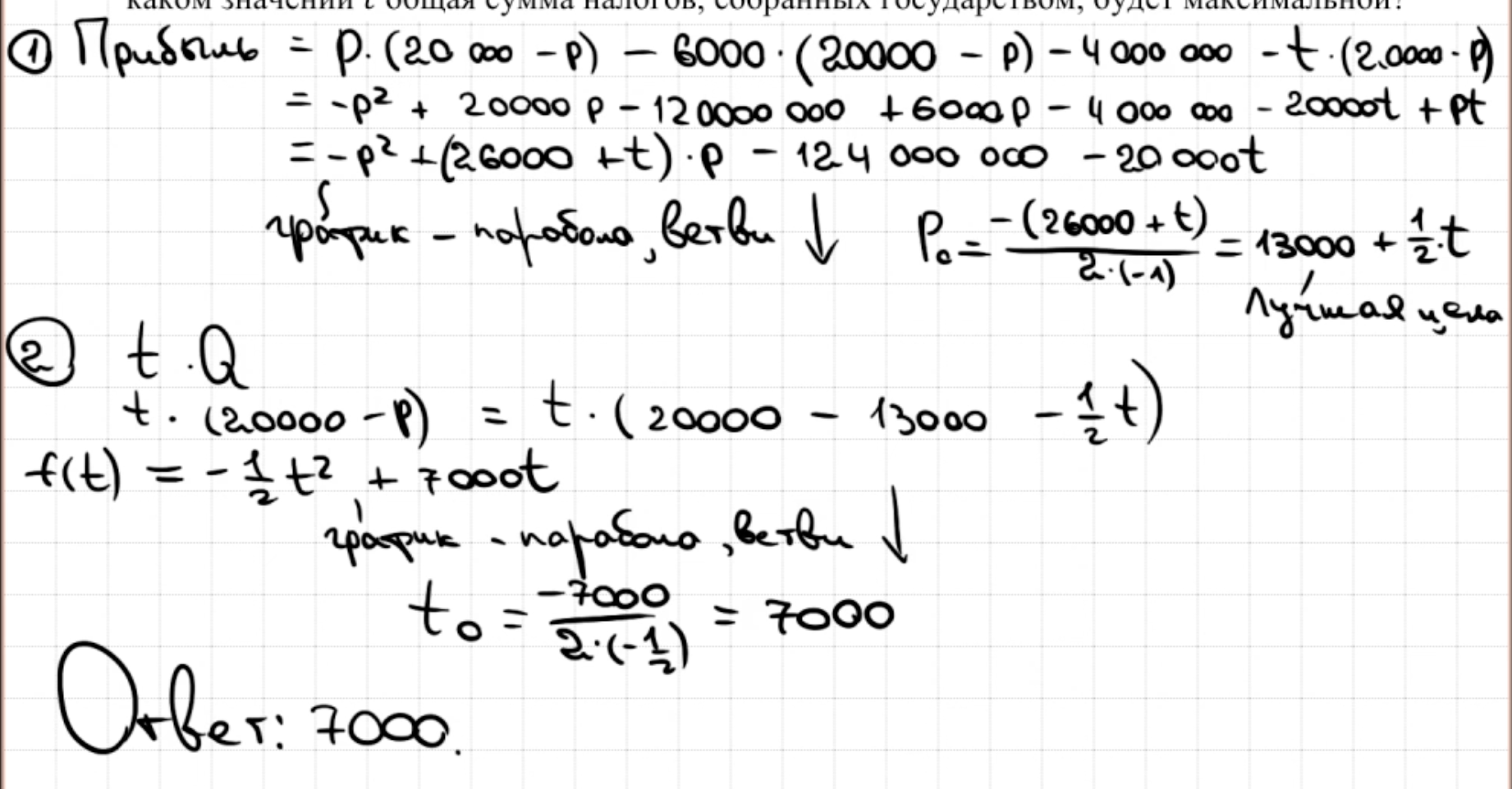
16.82


16.83 - 16.85 -
16.86


16.87 - 16.88 -
16.89




