14 задание ДЗ
14.1 - 14.10 Докажите, что сечение или грань является (пункт а)
14.1


14.2



14.3


14.4



14.5 - 14.7 -
14.8





14.9



14.10 -
14.11 - 14.12 Докажите, что плоскость проходит через конкретную точку (пункт а)
14.11


14.12




14.13 - 14.14 Докажите, что пирамида - правильный тетраэдр или что пирамида правильная (пункт а)
14.13


14.14 -
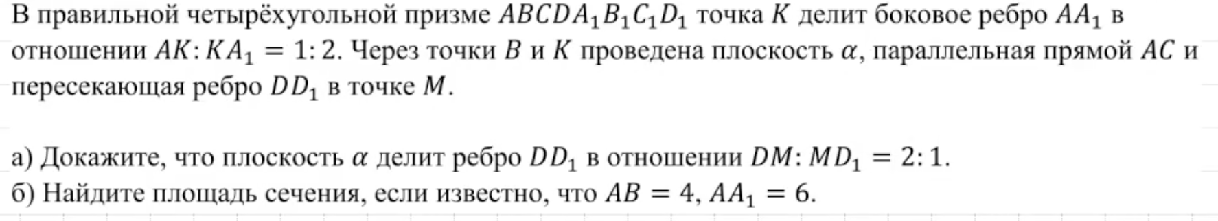
14.15 - 14.38 Отношение отрезков (пункт а)
14.15


14.16 - 14.18 -
14.19


14.20 - 14.21 -
14.22



14.23


14.24 -
14.25



14.26


14.27




14.28 - 14.30 -
14.31



14.32 - 14.36 -
14.37




14.38 -
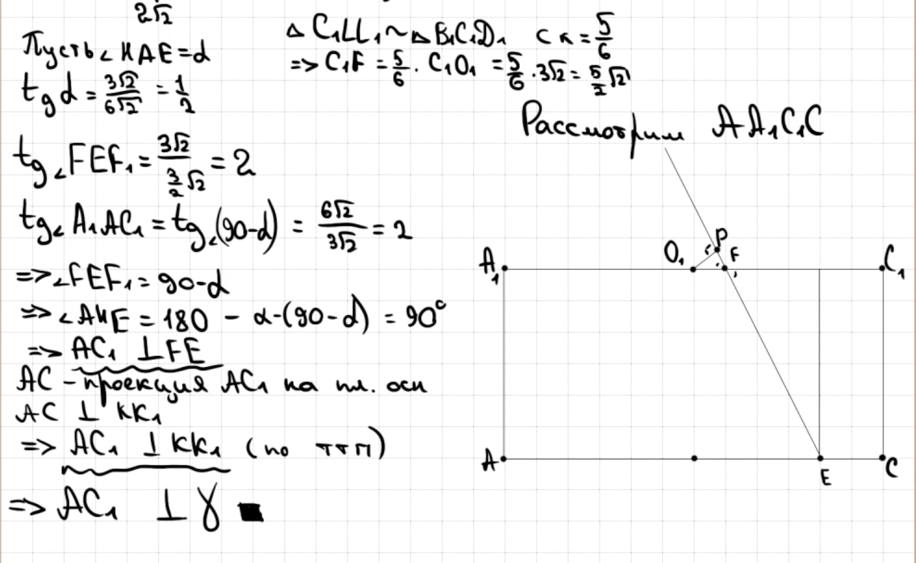
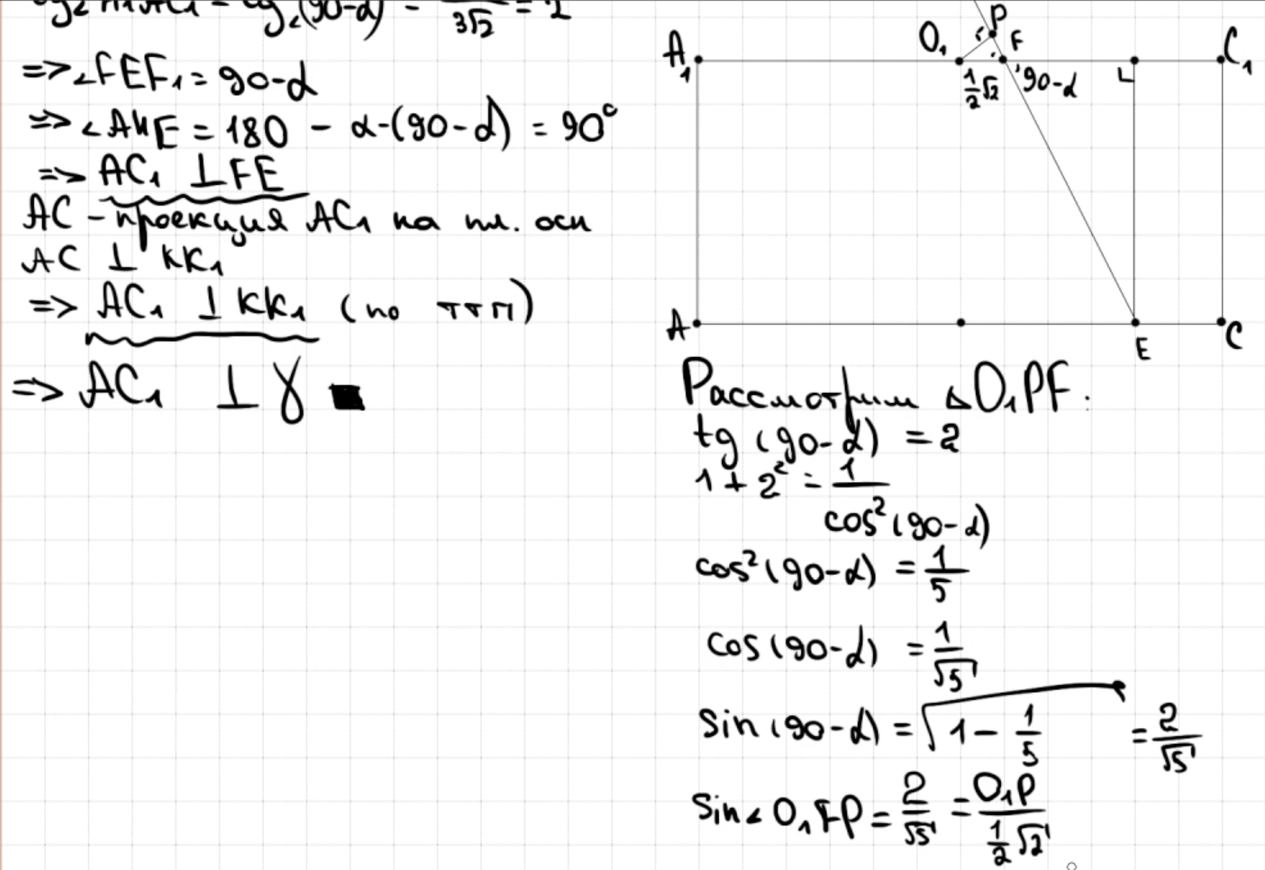
14.39 - 14.57 Угол между прямыми (пункты а и б)
14.39 - 14.40 -
14.41



14.42 - 14.43 -
14.44


14.45 - 14.46 -
14.47




14.48 -
14.49



14.50 - 14.52 -
14.53



14.54 - 14.57 -
14.58 - 14.65 Угол между прямой и плоскостью (пункты а и б)
14.58


14.59 -
14.60



14.61


14.62




14.63





14.64 -
14.65




14.66 - 14.78 Угол между плоскостями (пункты а и б)
14.66 - 14.68 -
14.69


14.70 -
14.71



14.72



14.73 -
14.74




14.75





14.76 -
14.77




14.78




14.79 - 14.88 Расстояние от точки до плоскости (пункты а и б)
14.79



14.80 -
14.81




14.82


14.83 -
14.84




14.85 - 14.86 -
14.87





14.88






14.89 - 14.92 Расстояние между прямыми (пункт б)
14.89 -
14.90




14.91 - 14.92 -
14.93 - 14.98 Найти отрезок (пункт б)
14.93 -
14.94



14.95


14.96 - 14.98 -
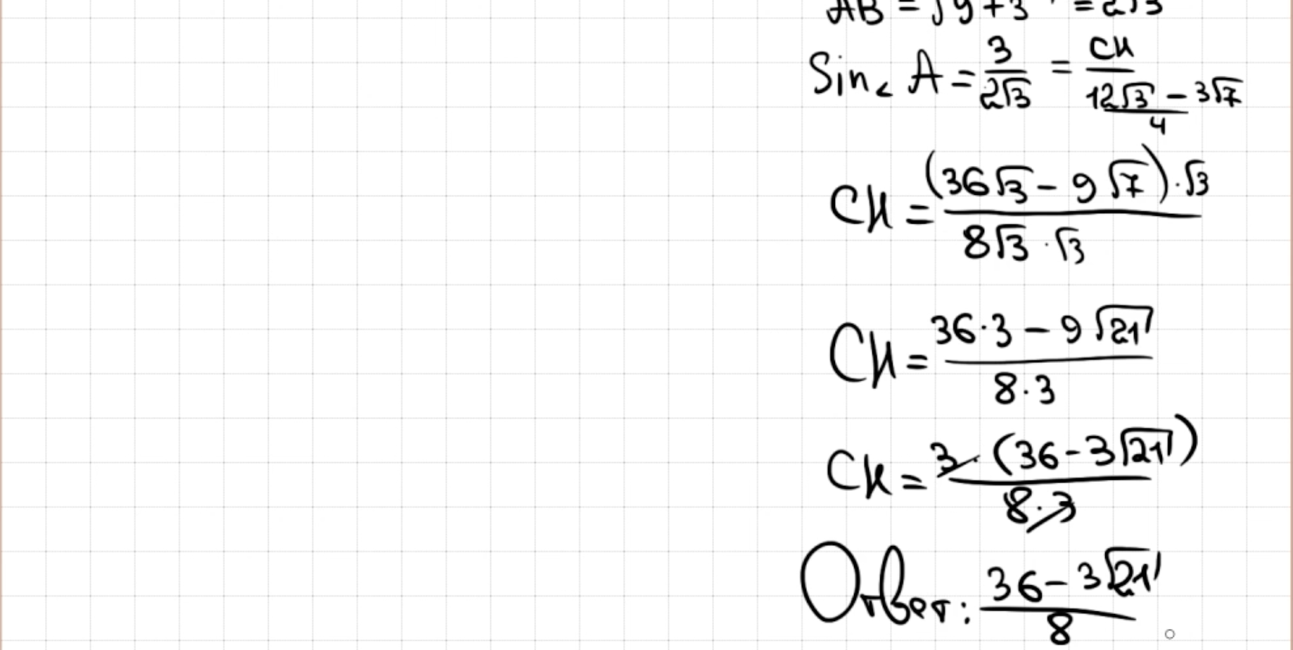
14.99 - 14.115 Периметр или площадь (пункт б)
14.99


14.100


14.101 -
14.102



14.103



14.104 -
14.105


14.106 - 14.108 -
14.109


14.110 -
14.111


14.112



14.113 - 14.115 -
14.116 - 14.127 Объём (пункт б)
14.116 - 14.117 -
14.118


14.119


14.120


14.121


14.122



14.123 - 14.124 -
14.125



14.126






14.127



